土木在线论坛 \ 建筑结构 \ 地下室设计 \ 地下室外墙的裂缝控制

地下室外墙的裂缝控制

发布于:2023-01-29 09:43:29 来自:建筑结构/地下室设计 [复制转发]
一般情况下,在截面合理和经济配筋率范围内,对于荷载类别相同的荷载组合,以标准组合进行受弯裂缝验算(裂缝限值0.2mm),基本组合进行受弯强度验算,则裂缝计算需要的钢筋比强度计算通常要高20%30%

关于裂缝计算,目前工程界存在着较大的争议,对规范裂缝公式的准确性和适用性,许多专家提出了质疑。但不管怎么样,在没有更准确的裂缝公式得到认可以前,作为施工图设计,按照现行规范以及各地工程的设计审查要求,对构件裂缝验算仍按混凝土规范裂缝公式进行。
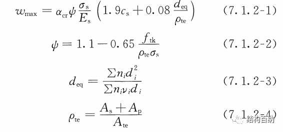
1.裂缝计算公式
裂缝计算公式,根据《混凝土结构设计规范》GB 50010-20107.1.2条: 
图片

该公式的基本思路是:在荷载作用下钢筋产生的应变乘以构件的平均裂缝间距得到钢筋的伸长量,混凝土协同变形保持相应的伸长量即得到混凝土裂缝。同时公式还考虑了裂缝的不均匀性(ψ),荷载短期作用、长期作用下混凝土收缩、应力松弛、徐变等因素(αcr) 对裂缝宽度加以修正。

2.裂缝宽度影响因素
裂缝公式由四个部分组成,
第一部分为钢筋的应变,
图片
由该部分公式可以看出,由于钢筋各个不同钢号(HRB400HRB335)之间的弹性模量几乎没什么差别,因此当混凝土钢筋由裂缝控制时,一般不用三级钢筋(HRB400),因为钢筋应力远未达到300N/mm2时砼裂缝就超过了规范限值。若不存在批量订货问题,可使用HRB335钢筋即可。
第二部分为裂缝平均间距
图片
由本部分公式可以看出,在配筋面积相同情况下(即ρte相同),钢筋越是细而密,裂缝计算宽度越小;另外,混凝土保护层厚度c对裂缝宽度也有直接影响。开裂前混凝土和钢筋协同变形,由平截面假定,钢筋应变与混凝土边缘的裂缝宽度呈线性关系,即砼保护层c越大裂缝也越大。但从工程宏观角度看,控制裂缝其中一个重要的原因是为了保护钢筋不锈蚀,应该是保护层越厚对钢筋保护越好,为此规范规定当c>65时取c=65。但是还是没有很好的解释这一矛盾,在实际的工程计算中,设计为了在计算上凑够最大裂缝宽度小于规范限值,有时减小保护层厚度c比增加截面高度更有效。如 天津于家堡的抗拔桩裂缝验算,在华东院、北京院、建设部院、天津市院、天津华汇以及中冶京诚 共同参加的技术会议中,经过讨论,在桩身裂缝验算时混凝土保护层c取为30mm,而实际施工要求桩纵筋保护层不小于50mm。南京中低价房项目设计中,当地特别要求地下室外墙作法为:外墙在外侧布设细钢筋网片,在采取这一措施前提下,裂缝宽度计算时保护层厚度可取为30mm
第三部分考虑钢筋应变不均匀系数
图片
第四部分考虑荷载的短期、长期效应的综合系数
αcr=τl×τs×αc×β ,
τl为长期荷载作用下的裂缝扩大系数,即长期荷载作用下混凝土进一步收缩以及受拉混凝土的应力松弛和滑移徐变等因素导致混凝土不断退出工作,系数大小根据东南大学两批长期加载简支梁的试验结果并参照使用经验确定τl=1.5;由此延伸,有业内设计者认为,消防车荷载属于短期荷载作用,按规范7.1.2条计算构件裂缝时可不考虑消防车荷载或对消防车荷载进行较大程度折减。
τs为考虑短期荷载作用的裂缝扩大系数,对于偏心受压及受弯构件τs1.6,而轴心受拉构件τs1.9
αc反映裂缝间混凝土伸长对裂缝宽度的影响,根据试验结果并进行数据回归处理αc0.85
β对于轴拉构件取1.1,其他受力构件取1.0
以上公式计算出的裂缝宽度,为荷载标准组合或准永久组合作用下的最大裂缝宽度,公式中的混凝土抗力取抗拉强度标准值ftk而不是设计值ft,计算裂缝时的考虑因素及放大系数如上所述。计算得出的裂缝宽度并不就是绝对最大值,而是具有95%保证率的相对最大裂缝宽度。
由于规范裂缝计算中许多因子是建立在简支梁试验基础上的,对于双向受弯构件,其受力及应变特性有较大不同。因此,对于双向受弯构件的裂缝计算,工程界也有较大争议。北京市建筑设计院对于混凝土双向板均不考虑裂缝计算,并且采用塑性板算法。

来源: 地下室外墙的设计 - 北京京诚华宇建筑设计研究院


知识点:地下室外墙的裂缝控制

超长结构地下室外墙混凝土裂缝的控制

全部回复(0 )

只看楼主 我来说两句抢沙发
这个家伙什么也没有留下。。。

地下室设计

返回版块

4.69 万条内容 · 405 人订阅

猜你喜欢

阅读下一篇

铅芯橡胶支座水平刚度计算

隔震支座样本一 等效刚度=203/(1*184)+2.08=3.18 等效刚度=106/(1*148)+1.67=2.39 等效刚度=40/(1*92)+1.05=1.48 等效刚度=40/(2.5*92)+1.05=1.22

回帖成功

经验值 +10