土木在线论坛 \ 建筑结构 \ 结构施工图 \ 高铁站桥墩上立柱屈曲分析及计算长度确定

高铁站桥墩上立柱屈曲分析及计算长度确定

发布于:2023-01-20 14:33:20 来自:建筑结构/结构施工图 [复制转发]
结构失稳(屈曲)是指在外力作用下结构的平衡状态开始丧失,稍有扰动变形便迅速增大,最后使结构发生破坏。结构失稳时相应的荷载称为屈曲荷载。

1.1  穿层柱屈曲分析的依据

《超限高层建筑工程抗震设防专项审查技术要点》(建质[2015]67号)将局部穿层柱作为判断结构是否超限的一个不规则项。
图片
《混凝土结构设计规范》(GB50010-2010)6.2.20条第二款规定了现浇混凝土柱的相关计算长度系数。
一般多层房屋中梁柱为刚接的框架结构,各层柱的计算长度l0可按表6.2.20—2取用。

图片
在工程项目设计中,各主要框架柱构件所采用的计算长度确定方法基本按照规范规定取用。但对于跨层柱且在所跨楼层受有限约束或不受约束的情形,则需要特别予以关注。如果仅按跨层柱上下端有完整锚固层的高度来确定其计算长度而不考虑中间部分约束,则该计算长度通常比较长。若此时该计算长度偏长,其计算结果可能不经济。当然也存在按柱上下完整锚固端确定的计算长度偏小的可能,带来不安全的结果。因此,需要对该类柱作专门分析以确定其计算长度。根据有关规范的规定及已有的工程实例,可以利用屈曲分析来求跨层柱的计算长度。

1.2  穿层柱计算长度确定方法

穿层柱的计算长度确定方法主要利用屈曲分析来实现。目前对整体结构或局部构件进行屈曲分析的方法有多种,包括整体法、独立杆系构件分析法以及有限元分析法等几种方法。在实际工程设计中,对于特别重要的跨层柱,除了进行严格的构造加强外,应分别采用上述屈曲分析方法对比分析结构构件的计算长度,从计算上保证这类构件的稳定性和可靠性。
由于跨层柱节点无论平动还是转动都受到弹性约束作用,对此,不能简单采用外框柱在楼板间铰接,即取用两铰接节点间长度的方法,而跨层柱中间也有框架梁的约束,对柱的稳定性有利,因此需要寻求其他方法来确定计算长度。从计算理论方法上,钢结构规范GB 50017的附录D及钢管混凝土结构设计与施工规程CECS 28: 2012的附录一中求框架柱计算长度系数时采用的方法,为确定跨层柱的计算长度提供了较为可靠的计算理论依据。通过欧拉公式提供的条件,一旦确定构件的临界承载力Pcr,即可反推出构件的等效计算长度Le。
欧拉承载力公式:
图片



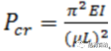
长度计算公式:
图片
式中,I为构件在屈曲方向的惯性矩。只要得到关于构件稳定的临界荷载Pcr,就可以按照上式反算计算长度系数。
对于一般工程项目,主要目标就是采用整体法来求解构件的欧拉临界力。
通过整体屈曲分析确定跨层柱计算长度的方法是将该柱放在整体模型中,进行屈曲模态分析,从而得到欧拉临界力和屈曲系数的方法。分析工况的加载模式有多种,一般情况可以取作用于全楼的重力荷载代表值。
整体模型的屈曲分析具有较为直观的屈曲模态,可以直接看到结构整体的屈曲变形,通过判断各阶屈曲模态对应的变形来判断具体结构构件是否发生屈曲,从而得到其对应的屈曲临界力Pcr。根据欧拉公式反推出该构件的屈曲模态。
整体法根据加载模式不同而计算效率、分析结果略有差异。通常情况下可以将单位力施加到需要进行屈曲分析的构件两端,对整体模型进行该单位力对应工况的屈曲分析,从而能有效直观地得到相应构件的屈曲模态。由于该方法未考虑整体受力,其屈曲模态被认为有一定误差,对比模型分析误差并不显著。此外还有按照结构整体荷载定义屈曲分析工况的加载方法,但该方法需要计算较多结构屈曲模态从而甄别相关构件所对应的屈曲模态,较难判断具体构件应对应的屈曲模态,通过适当的处理措施,如对被分析构件进行细分可以较好地得到该构件的屈曲模态。因此在整体屈曲分析法中将采用针对需要分析构件施加单位力进行屈曲分析的方法。整体法得到的构件屈曲模态相对比较接近其实际模态而受到广泛认可与应用。

1.3  Midas中的Linear Buckling原理

Midas通过对求解特征值方程来确定结构屈曲时的极限荷载和破坏形态。
程序的屈曲特征方程为:

图片
式中,K为刚度矩阵,为荷载向量r作用下的几何刚度矩阵,λ为特征值对角矩阵,为对应的特征向量矩阵。
求解特征方程,得到特征值和对应的特征向量,用以确定屈曲荷载和对应的变形形态。 每一组“特征值-特征向量”称为结构的一个屈曲模式,程序按照找到这些模式的顺序从数字1到n为各模式命名。
分析结果中每一组特征值和特征向量对应分析结果中的屈曲因子和屈服模态。

1.4. 清河站桥墩上立柱屈曲分析

清河站桥墩上立柱分析,

图片

图1桥墩上立柱模型


图片
图1桥墩上立柱屈曲分析模态
Midas屈曲分析特征值:

图片
恒载在轴力=5439.4KN、活载在轴力=2107.0KN
Pcr=5439.4+454.008*2107.0=962034.256KN
反算有效计算长度系数:

图片 图片
=3.14/12*(8642739828889720*10^(-9)/962034.256)^0.5=0.784
则可以按照0.78的计算长度系数代入设计软件进行计算。

知识点:高铁站桥墩上立柱屈曲分析及计算长度确定

阶形桥墩的计算长度分析

全部回复(0 )

只看楼主 我来说两句抢沙发
这个家伙什么也没有留下。。。

结构施工图

返回版块

57.56 万条内容 · 1092 人订阅

猜你喜欢

阅读下一篇

围墙结构设计统一技术措施

1适用条件 砖砌体永久围墙一般适用于以下情况: (1)厂区内单独设置的独立围墙; (2)与一体化开发结构结合设置的砌体围墙; (3)砌体围墙高度不大于 3.0m,高度大于 3.0m 时应另行考虑。 2设计条件 (1)设计标准 1)结构设计使用年限:50 年; 2)结构安全等级:二级;

回帖成功

经验值 +10