(1)壅水高度和长度计算
|
|
分洪运用时,最大壅水高度为 0.094m,最大壅水长度为 13.42km。
(2)风增壅水高度
|
|
GBT50181-2018洪泛区和蓄滞洪区建筑工程技术标准 |
根据以上公式,计算得到风区长度为 2.01km。
滞洪区运用时全河道平均水深为 5.41m,根据河道地形图,β=32°,计算可得XXX分洪运用时风增壅水高度为 0.011m。
(3)波浪高度、平均周期、平均波长
|
|
《洪评报告》 |
GBT50181-2018洪泛区和蓄滞洪区建筑工程技术标准 |
根据上式计算得到,某工程跨越XXX滞洪区及XXX特大桥桥位处波浪高度为 1.11m。
Hb=0.13*TANH(0.7*(10*5.41/21^2)^0.7)*TANH(0.0018*(10*2.01*1000/21^2)^0.45/(0.13*TANH(0.7*(10*5.41/21^2)^0.7)))/(10/21^2)=0.411
hb1%=0.411*2.42=0.996m
Tm=4.0*sqrt(0.411)=2.564s
|
GBT50181-2018洪泛区和蓄滞洪区建筑工程技术标准 |

平均波长lm,wa=10.25m
(4)冲刷计算
|
|
一般冲刷计算 |
|
|
|
局部冲刷计算 |
|
(5)计算风速
|
GBT50181-2018洪泛区和蓄滞洪区建筑工程技术标准 |
Vw=(35-0.6*5)*sqrt(0.55)=23.73m/s
Vw=(35-0.6*15)*sqrt(0.55)=19.28m/s
H=0.996m
d=5.41m
lm,wa=10.25m
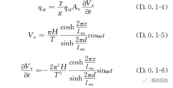
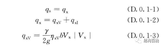
(6)透空式房屋波浪荷载计算方法
|
|
GBT50181-2018洪泛区和蓄滞洪区建筑工程技术标准 |
|
JTS145-2015 港口与航道水文规范 |

(7)半透空式房屋波浪荷载计算方法
|
|
GBT50181-2018洪泛区和蓄滞洪区建筑工程技术标准 |

(8)混凝土框架结构注意事项
6.1.1 钢筋混凝土框架房屋宜按透空式房屋设计
|
GBT50181-2018洪泛区和蓄滞洪区建筑工程技术标准 |
总结:墙体与主体结构之间采用柔性连接,详10SG614-2 砌体填充墙构造详图(二)(与主体结构柔性连接)。和地震工况不同时考虑。 |
知识点:蓄滞洪区建筑结构设计总结
0人已收藏
0人已打赏
免费1人已点赞
分享
混凝土结构
返回版块140.17 万条内容 · 2213 人订阅
回帖成功
经验值 +10
全部回复(1 )
只看楼主 我来说两句 抢板凳可以,学习又,收益不是,点赞。
回复 举报