土木在线论坛 \ 建筑结构 \ 混凝土结构 \ 砌体结构局部混凝土梁托墙验算

砌体结构局部混凝土梁托墙验算

发布于:2023-01-20 11:49:20 来自:建筑结构/混凝土结构 [复制转发]

某5层砌体,4层顶设置240*800反梁托5层墙体。

建模方式:结构体系-底框结构、底框层数-4。

图片

图片

墙梁顶层恒荷载

板厚120mm

墙梁顶层活荷载

图片

图片

0.24*22*3.3+10*2.92/2+0.12*25*2.92/2=36.404kN/m ≈37.49

0.24*22*3.3+10*5.84/2+0.12*25*5.84/2=55.384kN/m≈56.26

3*2.92/2=4.38kN/m

3*5.84/2=8.76kN/m

图片

托梁本层恒+托梁自重

板厚120,240*800

托梁本层活荷载

图片

图片

0.10*25*4.88/2+2*4.88/2+0.24*0.8*25=15.78kN/m

0.10*25*3.88/2+2*3.88/2+0.24*0.8*25=13.53kN/m

2*4.88/2=4.88kN/m

2*3.88/2=3.88kN/m

恒载弯矩

活载弯矩

图片

图片

1/8*3.63^2*(15.78+1*37.49)=87.74

1/8*3.63^2*(13.53+1*56.26)=114.95

1/8*3.63^2*(4.38+4.88)=15.25

1/8*3.63^2*(8.76+3.88)=20.82

图片

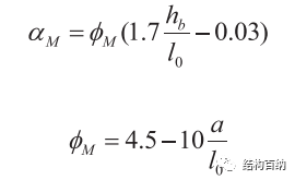
a=0


hb=0.8


l0=min(3.63,1.1*(3.63-0.24))

   =3.63


1.0*(1.7*0.85/3.63-0.03)

=0.368

软件未考虑,原因未知

图片

图片

总结:

(1)砌体结构局部混凝土梁托上部砌体墙,需定义为“底框结构”方能正确计算;

(2)软件未考虑托梁跨中截面弯矩系数折减,偏保守。


来源:结构百纳

知识点:砌体结构局部混凝土梁托墙验算

混凝土及砌体结构

全部回复(0 )

只看楼主 我来说两句抢沙发
这个家伙什么也没有留下。。。

混凝土结构

返回版块

140.17 万条内容 · 2213 人订阅

猜你喜欢

阅读下一篇

地脚锚栓长度计算

《混凝土结构构造手册》 地脚螺栓锚固长度的计算可根据《混凝土结构设计规范》GB50010-2002 提供的公式(第114页): la=α*fy /ft *d                (1) 式中:la——锚栓的锚固长度;           fy——锚栓的抗拉强度设计值

回帖成功

经验值 +10