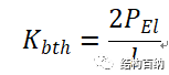
图下图所示一个柱子,承受轴力P,柱子的截面抗弯刚度为EI,长度为L=2l,图中弹簧刚度为Kb。图5.12的柱子,如果没有支撑,则它的承载力为PEL=π^2EI/L^2。有了侧向支撑后,压杆的承载力的增加取决于支撑的刚度。如果刚度很大,则压杆的失稳模式中在侧向支撑点处无侧移,压杆的承载力与长度为l的两端铰接柱子完全相同,即PEl=π^2EI/l^2

如果支撑刚度小,压杆的失稳模式中在侧向支撑点处有侧移,压杆的承载力的增加量完全正比于支撑的刚度:


水平支撑相当于一个弹性支座。如果它的弹簧刚度很弱,则所起的作用不大,不能把Ny提高很多。因此,必须对支撑应具有的刚度作出分析,使之能起刚性支座的作用。当支撑刚度足够而杆屈曲时,杆轴线呈一个全波,如(a)图中的虚线所示,在计算时则取(d)图的简图,设弹簧支座有无穷小的压缩量d,杆件在弹性支座处的反弯点相当于一个铰。对此铰取矩,可得
由于所有设计规范或手册都规定柱子平面外的计算长度取侧向支承点之间的距离,也即要求柱子按照支撑点处无侧移的模式失稳,则支撑的刚度必须达到上式的最小要求。

上述分析是针对完善直杆作出的,还必须对有缺陷杆进行考察。对于完善直杆来说,支撑在压杆屈曲前并不受力,但有缺陷杆的情况有所不同。如图6.69所示,杆件有初始挠度do,在承受荷载N后,挠度在do的基础上增加d,弹簧支座受力k1d。当荷载达临界值Nl时,杆呈两个半波而屈曲。仍对中点取矩,得
要求弹簧刚度不小于

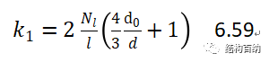
比较6.55和6.51两式可见,从受力平衡条件出发,有缺陷杆要求的支撑刚度k1为无缺陷杆所要求的k的(do/d+1)倍。这里,d是屈曲前因荷载而产生的挠度。如果不计及缺陷影响而取弹簧刚度k1=k,则由式6.57可知撑杆内力将达到无限大。显然,从工程使用角度,d值宜小不宜大,可以考虑取d=do。这样,中央有一道撑杆的压杆,支撑刚度应至少为
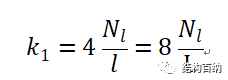
亦即至少为完善直杆所需k的二倍。然而,压杆中点在产生附加挠度d后弯矩并不是零。把此弯矩考虑在内,并假设初始挠曲线为正弦曲线,则式6.55应修改为
这样,d=do时所需的撑杆刚度比式6.57还要增加16.7%,即
取顶支撑内力需要取适当的do值。根据制造规范,do的限制是L/1000,但考虑柱安装时可能略有倾斜,且荷载作用点也可能存在偏差,do取为L/500比价合适。这样,由式6.56并考虑式6.59,可得
即压杆临界力的1.9%。有些国家的规范规定,用于压杆计算长度的支撑应能承受所撑压杆内力的2.5%。我国规范GB50017规定,按照
计算,相当于压杆内力的1.67%。
《钢结构设计原理 第三版》 陈绍蕃
《钢结构设计规范》专题指南
设有支撑的框架属于双重抗侧力体系。88规范在5.2.2条的注中规定:支撑架(剪力墙、电梯井)抗侧移刚度等于或大于框架抗侧移刚度5倍属于无侧移框架,支撑未达到这一指标者属于有侧移框架。
根据理论分析和大量计算,设置支撑后临界荷载提高的幅度可以偏安全地认为和支撑的抗侧力刚度成正比,即:

即强支撑框架的判定准则必须将支撑架的刚度与柱子无侧移失稳和有侧移失稳的承载力之差联系起来,因为支撑是整个结构的支撑,所以必须对所有柱子求和。

规范规定,当满足下式时,框架柱的计算长度按无侧移框架确定:
式中的系数1.2是考虑柱子发生无侧移和有侧移失稳时柱子内部二阶效应(即扣除侧移的p-△效应后柱子内部p-δ效应)的区别而引进的系数。
考虑实际结构中存在的缺陷影响,根据国内外对支撑问题的研究,系数取3.0.
对于剪切型支撑,基本不存在层与层之间的相互作用。对于弯曲型支撑,存在着层与层的相互作用,问题要复杂得多。
《钢结构设计规范》应用讲解
来源:结构百川
知识点:柱间支撑刚度要求
0人已收藏
0人已打赏
免费1人已点赞
分享
钢结构工程
返回版块46.53 万条内容 · 1213 人订阅
阅读下一篇
插入式柱脚杯壁、杯顶钢筋计算插入式柱脚杯壁、杯顶内配筋应按下式验算 式中: M、N、V-基础顶面处柱的弯矩、轴力、剪力的设计值; hc-柱截面长边尺寸; Asj、Asv、AS-杯壁顶层钢筋网、横向箍筋、纵向钢筋截面面积 fyj、fyv、fy-杯壁顶层钢筋网、横向箍筋、纵向构造筋的设计强度 zj、zvi、zwi-杯壁顶层钢筋网、横向箍筋、纵向
回帖成功
经验值 +10
全部回复(0 )
只看楼主 我来说两句抢沙发