土木在线论坛 \ 电气工程 \ 电气工程原创版块 \ 如何确定消能减震结构消能器的附加阻尼比?

如何确定消能减震结构消能器的附加阻尼比?

发布于:2022-12-19 11:02:19 来自:电气工程/电气工程原创版块 [复制转发]

知识点:消能器

左中括号
附加有效阻尼比计算公式

左中括号

消能器附加给主体结构的有效阻尼比,计算方法通常有如下两种:

1) 规范一周能量比法(《建筑结构抗震规范》第12.3.4条及《建筑消能减震技术规程》第6.3.2条):

图片 (1)
其中:

图片—第j个消能部件在结构预期层间位图片下往复循环一周所消耗的能量;

图片—设置消能部件的结构在预期位移下的总应变能。

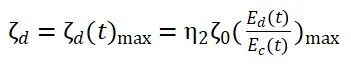
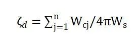
2) 时程累积耗能比法:
图片 (2)
其中:

图片—消能减震结构消能器时程累积耗能;

图片—消能减震结构主体结构初始阻尼累积耗能;

图片—消能减震结构主体结构初始阻尼比。

对于两种附加阻尼比计算方法,SAUSAGE非线性往期文章都已经进行了详细的讨论,这里不再赘述,现将基本结论罗列如下:

图片
可见,两种附加 有效阻尼比的 计算 公式 都存在一定 问题。如何将附加 有效阻尼比的计算结果 更加 准确的用于 主体结构 设计 ,是工程师 需要 考虑 的问题。

左中括号
结构设计中的“实际”阻尼比
左中括号

在实际减震设计中,不仅应考虑理论计算公式与实际情况间存在问题,还考虑真实结构与计算模型等效之间存在的误差。

《云南省建筑消能减震设计与审查技术导则》第4.1.9条中指出,“设计中应考虑消能器性能偏差连接安全缺陷等的不利影响,附加阻尼比取用时应留有安全储备。在进行主结构设计时,实际采用的附加阻尼比不宜高于计算值的80%

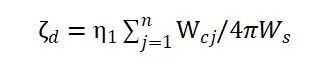
最近 发布的 上海 建筑 消能减震及隔震技术 标准 6.3.2条中, 同时考虑了附加有效 阻尼比 公式存在的问题 实际结构 装配 的影响, 分别 对规范 算法 和时程累积耗能比法进行了修正。
图片 (3)

其中:

图片 —有效阻尼比折减系数,一般取 0.7

图片(4)


其中:

图片—有效阻尼比折减系数,一般取0.9

图片 —消能减震结构附加有效阻尼比时程最大值,宜在输入时程峰值较大的有效持续时间段内选取,即在 图片 时程增长激烈的时段内考察。

可见将根据公式得到的消能器附加有效阻尼比应用到主体结构设计计算结果进行适当的折减减震设计中不可或缺的一步


左中括号
SAUSAGE中附加阻尼比
左中括号
SAUSAGE软件提供了两种消能器附加阻尼比算法:基于非线性时程结果的规范算法和累积耗能比算法。
图片

用户可以根据软件提供的计算结果,通过适当的折减得到最终用于设计的附加有效阻尼比。需要注意的是,SAUSAGE根据时程累积耗能比计算附加阻尼比,默认采用最终时刻能量进行比较,具体选取原则可在我们往期文章讨论中得到。当然SAUSAGE支持导出能量曲线,因此可以到任何时刻的基于累积耗能比的附加阻尼比时程曲线


相关推荐链接:

1、异步电机软运行机理探究

2、同步发电机运行技术与实践


全部回复(0 )

只看楼主 我来说两句抢沙发
这个家伙什么也没有留下。。。

电气工程原创版块

返回版块

2.2 万条内容 · 598 人订阅

猜你喜欢

阅读下一篇

消声降噪技术:10 静压箱(室式)消声器的消声性能

知识点:消声器 我们曾在“消声降噪技术 — 6 阻性消声器的常见类型和应用”对室式消声器(Plenum Chamber Silencer, 暖通空调中也常称之为消声静压箱)的消声性能做过简单介绍。考虑到室式消声器的形式在通风空调系统中使用得比较多,并且很多通风隔声窗系统就是一种特殊形式下的室式消声器,因此,本次我们对室式消声器的消声性能的特征和预测计算方法,做一个较为深入的介绍。 室式或者消声静压箱通常配备在通风空调系统的风机出口与通风管路之间,主要起到两方面的作用:1) 平缓风机出口的湍流,使得出口气流均匀平稳;2) 降低来自风扇的噪声。从声学的角度来说,消声静压箱可以看成有一个进风口和一个出风口的小房间。如果小房间内壁面贴上吸声材料,那消声静压箱就相当于扩张式阻抗复合消声器;如果房间内壁面没有贴上吸声材料,那消声静压箱就是一个单纯的扩张式抗性消声器。

回帖成功

经验值 +10