土木在线论坛 \ 建筑结构 \ 结构资料库 \ 索穹顶主动索的张拉影响系数

索穹顶主动索的张拉影响系数

发布于:2022-12-06 11:30:06 来自:建筑结构/结构资料库 [复制转发]

索穹顶主动索的张拉影响系数

秦卫红1,2  王书良1,2  惠卓1,2  解鹏1,2  李云杰1,2

1. 东南大学混凝土及预应力混凝土结构教育部重点实验室

2. 东南大学国家预应力工程技术研究中心

摘 要:碳纤维材料具有轻质高强、耐腐蚀及高耐久性方面的优点,碳纤维索穹顶结构可实现比钢索穹顶结构更大的跨度。索穹顶的预应力水平对结构受力和刚度的影响非常显著,因此需确保张拉完成后构件有效预应力的建立。提出了用于计算索穹顶结构主动索张拉值的张拉影响系数,分别从变形协调条件和虚功原理两个角度推导了索穹顶结构张拉影响系数的表达式,并利用碳纤维索穹顶模型试验及有限元分析对该张拉影响系数的准确性加以验证。此外,对 3 种张拉方案下预应力发展规律及节点的竖向位移进行了分析和探讨,进而建议了主动索的选取原则。


关键词:碳纤维索穹顶结构; 张拉影响系数; 预应力水平; 张拉方案


索穹顶结构是由拉索和压杆构成的空间铰接体系,它依靠拉索和压杆的预应力提供刚度,是空间结构的一种重要结构形式。作为一种柔性结构,索穹顶结构的刚度来源于自身的预应力。施工过程中,预应力的施加是分阶段逐步施加的,每步张拉过程索穹顶结构都会进行自平衡调整,包括内力和位置的调整。欲使最终内力和节点位置达到设计状态,需要掌握施工过程中结构的内力和位置的变化规律,从而为施工方案的确定和评估提供根据。

索穹顶结构的理论分析和施工技术都有较大的难度。Calladine 等对预应力铰接空间杆系结构的静力、运动特性进行了研究[1],求解得到了给定结构的自应力模态、机构位移模态,并据此总结了多自应力模态结构体系的几何稳定性判据。袁行飞等提出了索穹顶结构整体可行预应力概念,通过求解单位整体可行预应力,解决了多自应力模态下该体系稳定性判定问题[2]。姜正荣等通过研究具有多个整体自应力模态的 Kiewitt 型索穹顶结构,改进了单整体自应力模态索穹顶结构找力分析的比值更新法,提出一种新的找力分析方法,并通过算例验证了该新方法具有更高的精度[3]。Ye 等提出了一种动力松弛法用于索穹顶结构的找形分析,通过设计直径为 4.8 m 的索穹顶模型并张拉斜索进行结构找形试验[4],证明提出的动力松弛法是可行的。Castro 等通过使用力密法和平衡矩阵法,提出一种用于索穹顶结构找形的数值方法[5]。Chen 等以索穹顶张拉结构为例,分析了结构鲁棒性与设计参数和制造误差之间的关系,得出结构鲁棒性随初始预应力水平提高、单元截面增大以及结构跨度减小等参数变化而增强的结论,同时表明单元长度误差和支撑结点位置误差在有限范围内对结构鲁棒性影响不大[6]。Zhu 等以 Levy 型索穹顶为例,利用向量式有限元( VFIFE) 方法对索的松弛和断裂两种失效模型进行了模拟分析,得出索穹顶在部分拉索松弛后仍能继续承受荷载,而在部分环向拉索断裂后将会破 坏的结论[7]。Yamaguchi 对直径 9 m 的 Geiger 型索穹顶模型进行了施工张拉试验和竖向荷载试验,证明索穹顶结构即使在谷索和脊索张力为零时也能表现稳定状态[8]。Gasparini 等设计了 1:50 的缩尺索穹顶模型,对不同预应力水平和不同荷载作用下结构的静力性能和动力性能测试,得出外多边形环索受到不同预张力时,其不考虑扭转模态的基本动力模态是反对称的结论[9]。郭佳民等提出了弦支穹顶结构的正向施工模拟计算方法,通过缩尺试验设计跨度为 8 m 的模型进行单根斜索逐根张拉成型研究,得出张拉理论计算值与实测值吻合较好,正向施工模拟计算法可准确模拟实际结构施工的结论[10]。陈志华等以天津理工大学体育馆索穹顶为背景,对 1:15 的缩尺模型进行试验和模拟分析,以此验证塔架顶升安装施工方法的优越性[11]。董石麟等提出了 7 种预应力张拉施工方法,将其应用于跨度为 122 m 的索穹顶结构中,并根据动力松弛法对各种预应力张拉施工方法进行模拟分析,结果表明 7 种预应力张拉施工方法得出的最终结果均相同[12]。陈联盟等通过采用整体可行预应力概念,从预应力、截面和形状三个方面对索穹顶结构进行了优化设计[13]。张爱林等设计了 1:10 的缩尺肋梁索穹顶模型,研究了模型结构张拉成形后在设计荷载作用下的静力性能,并用 ANSYS 数值模拟结果对试验进行了验证,结果表明: 在外荷载作用下,索穹顶结构的脊索容易产生应力减小现象,且索穹顶对非对称荷载作用十分敏感[14]。罗斌等设计制作了直径为 6 m 的三铰拉梁式肋环型索穹顶结构,研究了在张拉成型过程中及不同荷载工况下的结构静力性能,得出: 预应力设计和位移控制的关键在于拉梁中铰局部变形的结论,同时三铰拉梁式肋环型索穹顶对非对称荷载作用较为敏感[15]。向新岸等提出预载 回弹法用于确定索穹顶结构初始预应力分布,并通过算例证明该方法具有精度较高和收敛速度较快等优点[16]。1986 年,Geiger 型索穹顶结构首次运用于韩国首尔奥运会体操馆和击剑馆。

轻质高强的碳纤维材料的使用使得索穹顶结构的质量进一步下降,且可实现比钢穹顶更大的跨度以及更好的防腐蚀、耐久性能。因此本研究采用碳纤维筋替代钢材作索穹顶拉索,空心碳纤维管替代索穹顶的钢压杆。

通过碳纤维索穹顶结构的模型试验,分别从变形协调条件和虚功原理两个角度,提出并推导用于确定索穹顶结构主动索张拉值的张拉影响系数 η 的表达式。利用张拉影响系数,对碳纤维索穹顶的张拉成型过程进行数值模拟分析,比较不同张拉方案的优劣,并与试验结果进行对比。


01

 张拉影响系数

对索施加预应力的过程是索穹顶结构施工过程的重要组成部分,是构件逐渐从机构状态到结构状态的转变。由于结构构件众多,不可能对所有索进行张拉施工,而是通过张拉部分选定的索——主动索完成。实际张拉过程则转换为改变主动索长度的过程。因此需要确定每步张拉值的大小,从而使得每次张拉完成后各索( 含主动索和被动索) 能够达到目标索力。仅根据目标状态力进行张拉,即主动索仅根据其自身的预应力和伸长值进行张拉,不能达到预期的应力和位移状态。因此,引入张拉影响系数 η 的概念,以分析张拉某根索对结构整体内力的影响。

1.1 推导过程

对于图 1 所示由 8 个单元组成的对称结构体系,假定初始状态时,它们承受一组互相平衡的内力。假定外圈( 内圈) 4 根索参数完全相同,它们的截面面积、索长、弹性模量以及预应力分别为 A1(A2) ,L1(L2) ,E1(E2) 和 F1(F2) 。各索内力和其他参数见图 1a。由对称可知: αβ = 45°。


图片

a—初始平衡状态; b—张拉变形状态。 


图 1 受力分析 

Fig.1 The force analysis diagram


由点 A 处力平衡条件可得:

图片

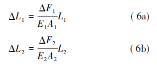
假定外周 4 根索为主动索,内部 4 根索为被动索。由图 1b 可知,当主动索张拉套筒进行张拉后,主动索和被动索分别产生相应的伸长量。令主动索和被动索的张拉力、伸长量分别为 ΔF1、ΔL1 和 ΔF2、ΔL2,则有:

图片

根据 A 处几何关系,可得:

图片

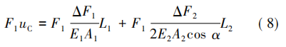
将式(3) 代入式(2) ,可得:

图片

可见主动索张拉行程 uC 与主动索自身变形 ΔL1 之间的差距较大,将两者的比值定义为张拉影响系数 η,则:

图片

各杆件的伸长量与其内力变化之间的关系为:

图片

将式(6) 代入式(4) ,得:

图片

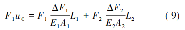
式(7) 两侧同时乘以 F1,得:

图片

将式(1) 代入式(8) ,得:

图片

式(9) 也可利用虚功原理推出,具体如下: 

将主动索 AC 在张拉产生的行程 uC 视为虚位移,则主动索张拉力做的外力虚功为 F1uC。内力虚功计算过程如下: 

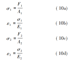
对主动索和被动索,在拉力 F1 和 F2 的作用下,其应力和应变分别为:

图片

其中,主动索 AC 的应力 σ1 在其虚应变 Δε1 上做的单位体积虚功( 即应变能密度) 为 σ1Δε1。应变能密度乘以索的体积 A1L1 之后,得主动索 AC 的内力虚功为 σ1Δε1A1L1。同理,被动索 AB 或 AD 的内力虚功为 σ2Δε2A2L2。 

根据虚功原理可知,在一个处于平衡力系的结构中,外力在虚位移上做的虚功等于应力在虚应变上做的内力虚功的积分,对图 1 中的 4 根主动索和 4 根被动索,则有:

图片

将式(10) 代入式(11) ,即可推出式(9) 。 

将式(6) 和式(9) 代入张拉影线系数的定义式 (5) ,可得:

图片

考虑到对称性,式(12) 也可写成如下形式:

图片

式中: Fi、ΔFiEiAi和 Li分别为第 i 根主动索初始内力、张拉后的内力变化量、弹性模量、截面面积和拉索原长; Fj、ΔFjEjAj 和 Lj 分别为第 j 根被动索初始内力、张拉后的内力变化量、弹性模量、截面面积和拉索原长。

影响系数 η 用于确定主动索的张拉伸长值,按照影响系数法确定的主动索张拉伸长量进行张拉,能使张拉完成后结构各索( 含主动索本身) 索力达到预期索力。张拉影响系数 η 始终大于 1,即需要对主动索施加比目标预应力大的张拉伸长值进行张拉,才能使得结构中各索达到目标预应力。

1.2 适用范围

式(13) 是由图 1 所示具有两个互相垂直对称轴的结构推导而来,但是垂直对称轴条件并不是必要的。事实上,如图 2 所示的一般旋转对称结构均满足式(13) 的要求,并且使用上述的虚功原理容易证明,证明过程在此从略。具有圆形平面的各种索穹顶均为旋转对称结构,也适用于式(13) 。因此,主要针对 Geiger 型索穹顶结构展开研究。


图片

图 2 旋转对称结构 

Fig.2 Rotationally symmetric structures


02

 张拉影响系数的应用

2.1  索穹顶结构的试验模型

为验证式(13) 的有效性和可行性,设计一直径为 5.4 m 的 Geiger 型碳纤维索穹顶模型,如图 3 所 示。索采用碳纤维材料,除中环索直径为 5 mm 外,其余索直径均为 7 mm; 各构件的尺寸及弹性模量见表 1; 结构矢跨比为 0.154,斜索与水平面的夹角为 21°。选取以斜索为主动索的张拉方案,以设计索力的 80%为目标索力,对张拉过程进行数值模拟。所谓设计索力是指结构张拉成型后不承受荷载时的各索索力。


表 1 模型各构件基本信息 

Table 1 Basic information of members of the model

图片

首先采用 ANSYS 软件模拟张拉过程。在有限元模型中,各索之间及各索与外围钢环梁采用铰接。索采用 Link 10 单元模拟,压杆采用 Link 8 单元模拟。初始索力施加采用初应变,张拉过程采用施加温度,将张拉量换算为对应温度并施加至结构进行模拟分析。

2.2 算式的验证及计算

通过采用平衡矩阵理论编制的 MATLAB 程序对结构进行找力分析,得到设计索力时结构的预应力分布 P0 如表 2 所示。现假定 0.8 P0 为初始预应力,P1P1 = 0.64P0 ) 为目标预应力,根据表 2,将初始预应力和目标预应力代入式(13) 可计算得到张拉影响系数和各索张拉值。其中单主动索指仅选取外斜索为主动索,而两组主动索则选取外斜索、中斜索两种为主动索。单主动索时,张拉影响系数 η = 9.683,两组主动索时,张拉影响系数 η = 7.247,从 表 2 中所示两种方案张拉结果和误差可以看出,按以上方法分析得到的两种张拉方案所得结果误差均小于 1%,故该方法用于施工分析是可行的。


表 2 各索张拉预应力值 

Table 2 Prestress values of different cables under tension

图片


03

碳纤维索穹顶结构不同张拉方案的比较

3.1  张拉方案

索穹顶施工张拉方案的选择包括对主动张拉索的选择和对选定的 2 种及 2 种以上的主动索张拉顺序的选择。主动张拉索的选择包括: 1) 张拉斜索; 2) 张拉外脊索; 3) 张拉环索; 4) 调节压杆。根据对选定的主动张拉索的张拉顺序又可形成更多张拉方案。因此索穹顶的张拉成型方案很多,需要根据张拉过程的模拟分析结果并考虑实际施工条件进行选择。当 η 值较大时,会造成张拉时需要较大的张拉位移,不利施工,因此需要选取合理的张拉方案以使得 η 取值在合理范围内。分析式(13) 可知,可以通过增加主动索的数量,也可以通过将索力较大的索作为主动索,以减小影响系数 η

选取 3 种张拉方案进行分析,张拉方案如表 3 所示。假定索穹顶已组装连接到位,仅未施加预应力,索穹顶结构的预应力分多步逐步施加至结构,每种方案都分 3 个阶段进行张拉。阶段 1~3 分别为总内值的 40%,80%,100%。方案 1 以外斜索和中斜索为主动张拉索,先张拉外斜索后张拉中斜索; 方案 2 在方案 1 基础上加入外环索作为主动张拉索,先张拉外斜索,再张拉外环索,最后张拉中斜索; 方案 3 以中、外环索为主动张拉索,先张拉中环索后张拉外环索。表中百分数指对应张拉步下主动索张拉的张拉值占总张拉值的百分比,分别取 40%,80%,100%。以方案 1 为例,第 1 步按外索目标内力的 40%张拉外斜索,第 2 步按中斜索目标张拉伸长量的 40%张拉中斜索; 其余张拉步依此类推。根据式 (13) 计算影响系数 η,确定各方案中主动索的总张拉伸长量。通过 ANSYS 单点重启动方式,在上步分析的基础上进行再分析。实际运用算式时采取反分析法,即将结构的内力从较大的预应力降至较小的目标力。将松弛量换算成对应温度,然后在 ANSYS 中用升温方式施加至结构。


表 3 3 种张拉方案 

Table 3 Three tensioning schemes %

图片


3.2  张拉过程分析

3.2.1 各构件预应力变化分析

图 4a~4c 分别为 3 种张拉方案中各索的内力随着张拉步的变化趋势。可见: 张拉完成后各索的内力一致,但在不同张拉方案下,各索的内力增长规律有较大差异。对比方案 1 和 2 可以发现在增加外环索做主动索时,张拉外环索时索内力的增长量非常显著,这是由于种类不同的索( 如环索和斜索) 对张拉过程的结构内力增长的影响程度存在差异。张拉环索相比张拉斜索结构的内力增长较快。阶段 1 和阶段 2 张拉过程一致,内力的增长量也基本一致,反映出结构最终的应力状态对结构的内力增长过程 的依赖程度并不显著。


图片
图片


图 5 为不同张拉方案时位于外圈的脊索、斜索和环索的内力随着张拉步的变化趋势。可见: 不同张拉方案下,同一根索的每一步张拉的内力变化规律是基本一致的,这说明在张拉过程中,各索之间的内力比例关系并未出现明显改变; 张拉外环索和外斜索时,结构中各索的内力增长迅速; 从方案 2 中呈现近平直段可以看出,在张拉完外圈的主动索后再张拉中圈斜索对构件的总内力的影响较小。


图片
图片


图 6 所示为外圈、中圈和内圈结点在 3 种张拉方案下的竖向坐标变化情况。图中所示的竖向位移 Z 以设计形态的结点位置为起始零点。从图中可以看出: 1) 不同的张拉方案,结构的起始位置不同,不同结点的差异程度也不同。对比不同张拉方案,与方案 1、3 相比,方案 2 外圈下结点的起始位置低较多,中圈下结点稍低,内圈下结点则稍高。从不同位置结点起始位置的差异看,方案 2 外圈下结点差异最大,内圈下结点差异最小; 张拉过程中结构的竖向总位移量较小。


图片
图片


图 7 为在 3 种张拉方案下不同位置结点竖向位移变化趋势的对比。同一结点的位置变化在不同张拉方案下的差异比较明显。可见: 方案 1、3 中,只张拉斜索或者只张拉环索,各结点位移曲线偏离较大,反映出张拉过程中结点的位移变化差异较大; 方案 2 中,各结点位移曲线偏离较小,反映出张拉过程中各结点的位移变化差异较小。各圈结点位移的变化规律基本相同,主要原因是同时选择不同类型的索进行张拉( 例如同时张拉斜索和环索) ,将使各圈结点的位置同步抬升。

综上,选择外圈构件和环索作为主动索张拉效率高,因此仅仅按照张拉效率,主动索的选择顺序应该为外环索、中环索、外斜索。

但是,同时张拉斜索和环索造成的各圈结点位移变化差异小。因此,若按照张拉过程中各结点的竖向坐标的变化,则选择同时张拉斜索和环索为佳。


图片
图片


04

张拉方案的试验研究

试验整体模型如图 8 所示。外环索、中环索以及所有斜索设计为可调节式的,脊索和压杆的长度为不可调的。


图片

图 8 试验模型 

Fig.8 The test model


如前所述,按照张拉影响系数的表达式,可知选择内力较大的构件作为主动索的张拉效率高,因此张拉环索尤其是外环索效率较高,因为环索的内力较大。 

但是,由于环索与节点间的摩擦较大,张拉环索时会导致环索内力分布不均,而斜索对称分布,张拉斜索的方式能够更加均匀地向各索传递预应力。考虑到内斜索位置靠近内部不易实施张拉和具体试验条件的限制,试验采取对外斜索和中斜索进行张拉的方案。张拉通过转动张拉套筒完成,张拉过程获取的构件的内力变化以及节点的竖向位移数据如表 4 和表 5 所示。


表 4 所得预应力的对比 

Table 4 Comparisons of obtained prestress values

图片


表 4 反映了张拉过程中内力的变化,模拟值是采用 ANSYS 有限元软件模拟的结果。其中各主动索的张拉量是根据式(13) 所得的张拉影响系数 η 计算的; 误差是试验值相对于模拟值的结果。可以看到: 中斜索卸载时,外环索和中环索的误差较大,可能是由于此时内力变化量较小,内部摩擦力阻碍了环索内力的传递,同时伴随应变片的测量误差,导致测点处误差偏大; 外斜索卸载时误差相对有所减少,主要是因为外斜索卸载时导致各构件均有较大的内力变化,摩擦力有所减小,环索内力传递更顺利。


表 5 竖向位移的对比 

Table 5 Comparisons of vertical displacement

图片


表 5 反映了张拉过程中测点竖向位移的变化,节点下降为正,上升为负。从中可以看到,节点整体的竖向位移很小,与张拉中斜索相比,张拉外斜索的影响更为显著,外圈下节点的位移误差相对较小,主要可能是因为环索节点与环索之间的摩擦力阻碍了结构的自平衡过程。 

综上所述,张拉外斜索比张拉中斜索效率高,误差小。并且施工时,外斜索与外环梁距离近,便于张拉装置的安装和张拉过程的操作。所以,建议外斜索张拉。


05

结束语

在对碳纤维索穹顶结构施加预应力的分析过程中,推导出张拉影响系数计算式,然后通过试验和有限元分析验证该计算式的正确性,最后比较 3 种张拉方案下主要索的预应力发展规律和节点的竖向位移变化情况,得出以下结论: 

1) 分别从变形协调条件和虚功原理两个角度推导出用于计算索穹顶结构张拉伸长值的张拉影响系数 η 的计算式,并且通过试验和有限元分析验证了该计算式的有效性。 

2) 通过对比张拉方案的试验结果和模拟结果,得到较好的一致性,从而证明有限元分析的准确性。 

3) 基于试验和数值计算结果,提出外环索、中环索和外斜索作为主动索的建议。本文试验方案中,外斜索作为主动索的试验与数值分析结果吻合较好。

内容源于网络,仅作分享使用,如有侵权,请联系删除 

相关资料推荐:

一种新型大跨空间结构_张拉整体索穹顶.pdf



索穹顶“ω”形整体提升安装张拉成形施工工法

知识点:索穹顶主动索的张拉影响系数

全部回复(0 )

只看楼主 我来说两句抢沙发
这个家伙什么也没有留下。。。

结构资料库

返回版块

41.29 万条内容 · 424 人订阅

猜你喜欢

阅读下一篇

隔震建筑抗震性能设计的思考

对《建筑隔震设计标准》GB∕T51408-2021附录A隔震建筑抗震性能设计的思考 一、《建筑隔震设计标准》(以下简称隔标)附录A表A.0.1,结构抗震性能目标如下: 二、设防地震作用下性能水准2的具体要求如下: 上述公式与《隔标》第4.4.6条内容一致,只是效应符号不同。 【提醒1】采用附录A的公式时,设防地震作用下的效应均应乘以相应的增大系数、调整系数,这与《建筑抗震设计规范》和《高层建筑混凝土结构技术规程》的性能设计有较大区别。

回帖成功

经验值 +10