对于基坑工程而言,为保证基坑工程施工的安全和质量,保护好周边环境,必须进行基坑工程监测工作[1,2]。而根据基坑工程的特点和工程的需要,其监测的项目繁多[1,2],主要包含有支护结构的位移( 水平和竖向) 监测、支护结构构件的内力和应变的监测,以及基坑周边环境影响( 建筑物沉降、地表变形、周边道路和管线变形) 等的监测。
从基坑监测的项目和内容看,可以分为几何性监测和物理性( 力学) 监测。几何性监测所采用的仪器,一般为全站仪( 经纬仪) 、电子测距仪、水准仪和量测的器具( 小钢尺或卡尺) 等测量仪具。而物理性( 力学) 监测所采用的仪器,多为电子测量仪器( 如电阻应变仪器、电子感应仪器等) 。而对于基坑工程的变形监测而言,其常规的( 主要的) 监测项目,仍以几何性的形变( 位移和沉降)为主要或应测的项目[1,2]。
1 几种常用监测方法的精度
众所周知,对于基坑工程水平位移监测而言,其监测目的是为了保证基坑工程施工过程的安全。因此,监测时关心的仅是沿基坑边线垂直于基坑边线方向的水平位移及其变化量,而其他方向的位移,则是无关紧要的。因此,在文献[4] 所规定的指标为位移监测点的坐标中误差,以及在基坑工程设计的报警值的主要指标,有位移变化( 量) 速率,依此来考量是合适的。
1. 1 视准( 轴) 线法
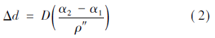
该法无需测角,只需要在视准( 轴) 线的一端的基点上安置全站仪( 电子经纬仪) ,在轴线的另一端基点上设置固定的照准目标,形成视准轴线,然后将轴线逐一投射到各监测点附近,量取各监测点偏离轴线的偏距d,前后两次( 期) 量取的偏距之差值Δd,即为该监测点的水平位移变化量( 邻期) ,其精度估算式为:

式( 1) 中: m对中为仪器对中误差; m照为照准目标的中误差; m投为视准轴线投射误差;m偏心为照准目标点时的偏心误差; m量为偏距量取时估读误差。
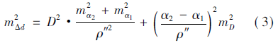
1. 2 小角法
具体作业详见文献[4],而其两期( 邻期)的偏距d 之差( 位移变化量) Δd 为:

依误差传播律便有:

由于( α2 - α1) 是很小值,因此式( 3) 中的第二项远小于第一项,其量值对位移变化值Δd 精度的影响可忽略不计。由于mα2 = mα2 = mα,故依式( 3) 可写出位移变化量中误差为:

式( 4) 中,mα为测角中误差,估算时顾及本文中的式( 23) 。
1. 3 极坐标法
众所周知,按极坐标法有:

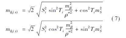
式( 5) 中: XA,YA为设站点的坐标; Si 为设站点至第i 个监测点的距离; Ti 为在设站点至第i 个监测点方向的方位角。
这样微分式( 5) 便可写出坐标增量的微分式,再将微分转化为变化量,则可写出第i 个监测点的第j 期与第 j - 1 期的邻期位移变化量的计算式为:

利用误差传播律,将微分转化为中误差,由于
有
有
,于是便可写出第i 个监测点当( 邻) 期水平位移变化量中误差计算式为:

式( 7) 中: mβ为测角中误差,估算时顾及本文中的式( 23) ; ms为测距中误差,依仪器的标称精度
( n 为测回数) 。
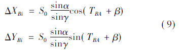
1.4 测角前方交会法
对于采用测角前方交会法进行监测时( 见图1) ,这时假定以A 点作为场地工作坐标系的原点,沿着A→B ( 自左至右) 方向设定为Y 轴,而垂直于
方向的便为X 轴。于是,其第i 个监测点的坐标计算式为:


图1 前方交会略图
而
式( 9) 中: S0为工作基线( 点) A,B 之间的距离,亦称交会基线; γ 为监测点上的交会角; α 和β分别为在A 和B 点上观测的交会角; TBA为工作基点B 上
边的坐标方位角;TAi 和TBi 分别为
边和
边的坐标方位角。
从图1 中有关系式:

全微分式( 9) ,经整理后可得监测点i 的坐标增量的微分式,再利用式( 10) 的关系,经变换整理,便可写出测角前方交会法观测的当( 邻) 期水平位移变化量计算式为:

式( 11) 中:
S1和S2分别为
边和
边的距离; ρ″ = 206265 ( 这里i 为监测点号,j 为周期序号) 。
从式( 12) 有:

这里mβ为α、β 角的测角中误差,估算时应顾及本文中的式( 23) ;mβ = 仪器标称精度/
回数,以秒计。
从图1 有:

将式( 11) 的变化量( 即微分式) 转换为中误差,利用式( 13) 和式( 14) ,经整理变换便可写出用测角前方交会法观测的监测点当( 邻) 期水平位移变化量的中误差估算式为:

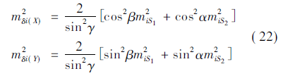
1. 5 测边前方交会法
鉴于目前工程监测单位多已普及应用全站仪,因此在基坑工程监测中,测边前方交会法,亦得到应用。现就测边前方交会法分析如下:
这里同样依图1 所示,对于采用测边交会法进行监测时,则在工作基线
= S0 两端的A 和B 点上,观测了
= S1和
= S2两条边。这时仍采用图1 的场地工作坐标系,便可写出第i 个监测点的坐标计算式为:

依测边交会原理,经数学变换可写出坐标增量的微分式为:

式( 17) 中:

依图1,将前述关系式( 10) 代入式( 17) ,再将微分转化为位移变化量( 增量) ,便可写出第i个监测点的当( 邻) 期水平位移变化量计算式为:

式( 19) 中: α,β,γ 分别按式( 18) 计算。
由于
于是便有:

而i,j 符号意义同前。
同样,依误差传播律将式( 19) 的位移变化量( 微分) 转化为中误差,便可写出用测边前方交会法观测的监测点当( 邻) 期水平位移变化量的中误差计算式为:

式中: miS1 和miS2 分别为自设站点A 和B 至监测点i 观测的边长,其mS = 仪器标称精度/
( n 为测回数) 。
2 关于测角中误差mβ 的估算
对于基坑工程监测而言,根据其作业所选择的方法不同,当采用全站仪( 电子或光学经纬仪) 进行独立测角时,其观测的角度β 的中误差mβ,应视为由仪器对中误差m对中影响部分的m1,和仪器本身误差及其他因素影响部分的m2 的两部分构成的[6,7],即:

这里
( S 为仪器至目标点的距离,以毫米计,此为最不利的情形) ; m2为角度测量一测回的测角中误差,若仪器标称值是一测回方向中误差则应乘以
。
因此,如前述,对于采用小角法,极坐标法和测角交会法进行监测时,在其水平位移中误差的估算中,应顾及式( 23) 的关系进行mβ 的估算。对于仪器标称一测回方向中误差为1″ 的全站( 经纬)仪,其测角中误差mβ 的估值见表1。

表1 一测回方向中误差为1″级全站( 经纬) 仪的mβ 估值
这里应该指明,在工程监测中,当采用独立( 直接) 测角的方法进行监测时( 如小角法、角度交会法、极坐标法等) ,其测角中误差mβ的估值应采用式( 23) 进行估算。对于组成网形( 三角网、导线网) 的角度观测结果,其相应的测角中误差mβ ,则按其观测的角度闭合差,依相应的计算式进行计算。
这里还应指明,关于仪器对中误差对测角的影响,不仅与仪器对中点处于设站( 基准) 点的部位有关,还与所测角度的大小,设站点与监测点之间的距离有关。当采用角度交会法时,还与工作基点( 两设站点之间) 的长度有关。因此,在基坑监测时,其设站点以设置观测墩( 强制对中) 为佳。
3 几种监测方法的精度预估与分析
3. 1 视准轴线法
依公式( 1) ,当议定m对中≤ ± 1. 0mm ( 光学对中) ,若强制对中则m对中= 0; m投≈ ± 0. 2mm;m偏心≈ ± 0. 2mm; m量≈ ± 0. 1mm 时,而照准目标中误差可以估算:

式( 24) 中: υ 为望远镜放大倍率,对于现代全站仪一般υ = 30x ; S 为仪器至监测点的距离; ρ″ = 206265。
这样,视准( 轴) 线法监测的各监测点水平位移变化量误差预估值见表2。
表2 视准( 轴) 线法监测点水平位移变化量误差估值表

从表2 可以看出,采用视准轴线法监测时,一般都能满足规定的要求。当视准轴线超过200m 时,为保证监测精度,建议采用在视准线两端设站进行监测为宜,更以采用强制对中为佳。
3. 2 小角法
从式( 4) 可知,当采用小角法监测时,其监测点邻期水平位移变化量Δd 的精度,与测角精度和设站点至监测点的距离成正比。现以采用一测回方向中误差为1″ 的全站仪作业,依表1 的mβ 值,对mΔd 进行预估,见表3。
表3 用小角法监测的监测点水平位移变化量误差估算表

同样,从表3 可以看出,采用小角法监测时,一般都能满足规定的要求。当基坑长侧边超过200m 时,建议采用两端设站进行监测为宜,若采用强制对中则更佳,这时亦能满足规定的要求。
3. 3 极坐标法
为讨论方便,现以长宽比为1 ∶ 0. 5,其长为300m,宽为150m,挖深为10m 的基坑( 见图2)为例,依式( 7) 对各监测点水平位移变化量误差进行预估,见表4。

图2 基坑各监测点示意图( 长宽比1∶ 0. 5)

表4 用极坐标法各监测点水平位移变化量误差预估表
这里应予说明,监测时仪器安置在工作基线
= S0 = 330m 一端的A 点上,并设定以A→B 方向为Y 轴的场地工作坐标系。作业采用标称精度一测回方向中误差mo = 1″ 和测距精度mS = ±( 1 + 2pp·S) mm 的全站仪,测角一测回,测距2测回。当顾及m对中≈ ± 1. 0mm 时,为简化估算在表4 的计算中,其测角中误差mρ 统一采用± 1. 8″。
这里还应说明,对于基坑而言,在方形基坑的四角( 除阳角外) ,由于两侧土体的相互制约,其水平位移的变化量,相对而言是很微小的,而位移变化的大值多出现在各侧边的中部。因此在预估时,对图2 中的两个角点未予估算。
从表4 的预估值可以看出,采用极坐标法监测时,当极距( 边长) 在250 ~ 300m 以内时,其监测点的位移精度,一般都能满足规范规定的要求。若采用强制对中,其精度效果会更好。
3. 4 测角( 测边) 前方交会法
为讨论与分析比较,现仍以图2 的基坑为例,依式( 15) 和式( 22) 分别对测角和测边交会法监测时,监测点水平位移变化量的误差进行了预估,见表5。
表5 测角交会与测边交会法各监测点水平位移变化量误差预估表

这里应予说明,作业时采用的全站仪的精度和测角及测距的测回数,与极坐标法同。
从表5 的预估值可以看出,对于基坑工程监测而言,采用测角一测回或测边2 测回的前方交会法监测时,其监测点的精度,一般都能满足规范规定的要求。若采用强制对中,其测角交会法的效果会更佳。
4 实际应用中的几个问题
( 1) 对于基坑工程而言,由于基坑场地狭小,周边环境条件亦不甚好,又由于基坑工程的使用期限一般为1 ~ 2 年,而基坑工程监测主要期限较短。为便于分析,以采用沿基坑长侧边方向设置的工作基线
作为Y 轴或X 轴的场地自定义的假定坐标系,是适宜的,方便的。这样使所监测的结果( 位移) ,更能直观地反映基坑位移的实际情况。
( 2) 对于基坑工程监测而言,关注的是各监测点的位移变化,无需求算监测点的精确坐标。当以全站仪作业兼用测边交会和测角交会法监测时,其工作量不会增加多少,但产生的效果却是明显的。当两种方法兼用时,可分别求算各监测点各自的位移变化量,而取其中的大值作为监控值予以反馈,以考察其是否达到或超过设计预定的限值,在保证基坑施工过程的安全上会更有益。
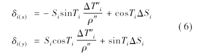
( 3) 这里应该说明,在所采用的场地假定坐标系下,对于极坐标法、测角和测边交会法所求算的位移变化量δi( x) 和δi( y) ,其中δi( x) 是表征与工作基线
平行的基坑侧边顶部的主要位移变化量,而δi( y) 则表征与工作基线
方向相垂直或大致垂直的基坑侧边,其顶部的主要位移变化量。
( 4) 本文所讨论和分析的各种监测方法,可根据基坑场地的具体条件和现状予以选用,亦可以选择其中两种方法同时兼用。
( 5) 为保证监测的精度和效果,作业时宜尽量以设置观测墩( 强制对中) 进行观测。对于大型的长侧边基坑,或监测精度要求更高的基坑,可以根据精度初估的情况,分别按需要提高测角和测距的精度( 适当增加测回数) ,或选用更高精度的仪器作业。
5 结束语
综上所述,本文根据基坑工程监测的特点和需要,对监测中常用的监测方法的精度计算进行了分类的分析与讨论,并进行了初步估算,可供实际应用时参考。
所介绍的几种常用监测方法,其直接计算的水平位移的变化量( 邻期) 及其坐标分量中误差,能直接符合基坑工程设计,对报警值指标中变化速率( 量) 的考核。
本文对基坑工程监测所使用的测量方法精度的讨论和建议,同样适用于对其他相关的工程监测工作。
内容源于网络,旨在分享,如有侵权,请联系删除
相关资料推荐:
https://ziliao.co188.com/p52164374.html
知识点:基坑工程监测常用方法精度分析
0人已收藏
0人已打赏
免费0人已点赞
分享
道路工程
返回版块15.09 万条内容 · 689 人订阅
阅读下一篇
据说资料员现在比施工员、工程师都好找工作,而且还是挑着找?该公众号已被封禁 说到资料员这个岗位,不少人认为,只要建筑行业不倒闭,资料员就会有饭吃。而且资料工作做得好的,月入上万也是有大把的人在。 怎么定义资料员这个职业呢?
回帖成功
经验值 +10
全部回复(0 )
只看楼主 我来说两句抢沙发