疑问
如何利用屈曲分析得到压弯构件的计算长度系数?
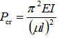
,长度计算公式:

内容源于网络,仅作分享使用,如有侵权,请联系删除
相关资料推荐:
知识点:屈曲分析
0人已收藏
0人已打赏
免费4人已点赞
分享
结构资料库
返回版块41.29 万条内容 · 424 人订阅
阅读下一篇
基于钢筋锈蚀的混凝土结构耐久性评定罗大明1,2 牛荻涛1,2 (1. 西安建筑科技大学西部绿色建筑国家重点实验室, 西安 710055; 2. 西安建筑科技大学土木工程学院, 西安 710055) 摘 要 侵蚀性环境中的混凝土结构常因钢筋锈蚀导致其耐久性劣化而提前退役,对混凝土结构耐久性态进行诊断,准确预测其剩余使用年限,科学评估其服役能力是结构后续安全耐久运维的基础。研究从结构全寿命周期性能劣化过程出发,充分考虑了结构服役环境的复杂性以及钢筋锈蚀对结构性能的影响,提出了基于钢筋锈蚀的混凝土结构耐久性极限状态,根据实际工程结构钢筋锈蚀的概率分析结果,明确了混凝土结构耐久性分级标准,给出了基于钢筋锈蚀的混凝土结构耐久性评定标准,实现了以钢筋锈蚀进程为依据的混凝土结构耐久性科学评定。研究可为一般大气环境、氯盐环境中以钢筋锈蚀为主要劣化形式的混凝土结构提供耐久性评定依据,并对结构后期维护与性能提升具有较好的指导意义。
回帖成功
经验值 +10
全部回复(0 )
只看楼主 我来说两句抢沙发