土木在线论坛 \ 建筑结构 \ 结构资料库 \ 基于钢筋锈蚀的混凝土结构耐久性评定

基于钢筋锈蚀的混凝土结构耐久性评定

发布于:2022-12-06 10:13:06 来自:建筑结构/结构资料库 [复制转发]

罗大明1,2   牛荻涛1,2

(1. 西安建筑科技大学西部绿色建筑国家重点实验室, 西安 710055; 2. 西安建筑科技大学土木工程学院, 西安 710055)



摘  要

侵蚀性环境中的混凝土结构常因钢筋锈蚀导致其耐久性劣化而提前退役,对混凝土结构耐久性态进行诊断,准确预测其剩余使用年限,科学评估其服役能力是结构后续安全耐久运维的基础。研究从结构全寿命周期性能劣化过程出发,充分考虑了结构服役环境的复杂性以及钢筋锈蚀对结构性能的影响,提出了基于钢筋锈蚀的混凝土结构耐久性极限状态,根据实际工程结构钢筋锈蚀的概率分析结果,明确了混凝土结构耐久性分级标准,给出了基于钢筋锈蚀的混凝土结构耐久性评定标准,实现了以钢筋锈蚀进程为依据的混凝土结构耐久性科学评定。研究可为一般大气环境、氯盐环境中以钢筋锈蚀为主要劣化形式的混凝土结构提供耐久性评定依据,并对结构后期维护与性能提升具有较好的指导意义。


0

引言

我国既有建筑规模已超过 860 亿 m 2 ,其中 60% ~ 70%为钢筋混凝土结构。受服役环境酸性气体、氯盐等介质侵蚀作用,大量既有钢筋混凝土结构在未达到设计服役年限便出现一系列耐久性问题,由此产生巨额修复维护费用,经济损失、资源浪费严重。腐蚀引起的耐久性问题是制约混凝土结构长期服役的关键因素之一。据统计,我国每年因腐蚀造成的经济损失约占国民生产总值的 5%,远大于火灾、水 灾、风灾等损失的总和 [1] 。因此,为保证既有混凝土结构在服役过程中的安全与耐久,需准确把握在役混凝土结构耐久性态,合理预测结构剩余使用年限,科学评定其耐久性,以便挖掘结构潜力,延长其服役寿命。
为了准确评定混凝土结构安全性与适用性,国际上广泛采用 ISO 13822: 2010 《 Bases for DESIGN of Structures-Assessment of Existing Structures》 [2] 基于结构可靠性和失效后果对既有结构进行评估。我国 GB 50292—2015《民用建筑可靠性鉴定标准》 [3] 、 GB 50144—2019《 工业建筑可靠性鉴定标准》 [4] 的颁布实施,一定程度上解决了既有混凝土结构可靠性鉴定无章可循的问题,为混凝土结构长寿命提供了有力保障。然而,上述标准主要从可靠性的角度对结构进行诊断,缺乏混凝土结构耐久性评定指标与方法,更无法量化结构耐久性等级并对混凝土结构的剩余使用年限做出科学预测。
混凝土结构耐久性影响因素众多,耐久性劣化通常是环境与荷载等多种因素共同作用的结果,对于一般大气环境和氯盐侵蚀环境,钢筋锈蚀程度往往决定了结构构件承载力及剩余服役寿命。为保证上述环境中混凝土结构在目标使用年限内的安全和正常使用,需要准确把握结构全寿命周期钢筋锈蚀进程,依据结构服役环境和耐久性态对其评定,或对结构下一阶段仍能满足各项使用功能要求的时间做出预测。
本研究将以近年来的混凝土结构耐久性评估理论、工程经验以及最新研究成果为基础,着眼于钢筋锈蚀全过程,提出基于概率理论的既有混凝土结构耐久性评定原则和方法,建立基于钢筋锈蚀的一般大气环境和氯盐环境既有混凝土结构耐久性评价理论,为混凝土结构的后期运维提供决策依据。


1

混凝土结构耐久性劣化过程与极限状态 

1.1 钢筋锈蚀导致混凝土结构耐久性劣化

结构的耐久性是指结构在正常设计、正常施工、正常使用和正常维护条件下,在规定的时间内,由于结构构件性能随时间的劣化,但仍能满足预定功能 的能力[5] 。混凝土内部孔隙为环境中的酸性气体、 水分、氧气、离子等侵入提供了通道。一般大气环境中的二氧化碳、氮氧化物等酸性气体和酸雨侵入混凝土时,会降低混凝土的 pH 值,使混凝土中性化,诱发钢筋锈蚀。化工车间、海工结构、腐蚀性土壤以及使用除冰盐的道路桥梁结构中,侵蚀性离子是导致混凝土腐蚀与钢筋锈蚀的主要原因。自然电化学腐蚀、杂散电流腐蚀、应力腐蚀和氢脆腐蚀等普遍存在,极大缩短了结构使用寿命[5] 。

钢筋锈蚀导致的混凝土结构耐久性劣化可以分为三个阶段[6] (图 1) : 

图片


1)钢筋开始锈蚀。从结构新建到钢筋表面钝化膜破坏,即钢筋脱钝这段时间,用 t0 表示。2) 混凝土保护层锈胀开裂。从钢筋脱钝锈蚀到混凝土保护层因锈蚀产物膨胀而出现裂缝的时间,用 t1 表示。3)结构承载性能劣化。从混凝土保护层锈胀开裂到构件局部破坏或承载力下降,影响结构服役安全的时间,用 t2 表示。

1.2  耐久性极限状态 

 GB 50068—2018《建筑结构可靠性设计统一标准》 (以下简称《统一标准》) 将使用年限定义为“设计规定的结构或结构构件不需进行大修即可按预定目的使用的年限”并要求在设计使用年限内的结构或构件“在正常维护下具有足够的耐久性能”  [7] 。《统一标准》将耐久性能归属于适用性要求,正是考虑到在多数情况下影响正常使用的适用性失效(如已出现沿筋的锈胀裂缝) 总是先于承载力失效。在适用性失效时,结构就应当进行修复。
钢筋混凝土构件由于耐久性不足达到承载力极限状态称为安全耐久性极限状态,因耐久性不足以达到正常使用要求的极限状态,称适用耐久性极限状态。依据钢筋锈蚀进程及对混凝土结构安全性或适用性的影响,混凝土结构耐久性极限状态可定义为:1) 钢筋开始锈蚀极限状态;2) 混凝土保护层锈胀开裂极限状态;3) 混凝土表面出现不可接受外观损伤极限状态。


2

基于钢筋锈蚀的混凝土结构耐久性评定理论

2.1  理论基础

混凝土结构耐久性劣化过程是其材料、构件和结构性能在时间轴上的反映,各类环境侵蚀作用下材料和结构性能劣化理论是耐久性评定的基础。近年来,诸多学者考虑不同服役环境和耐久性影响因素,从环境、材料、构件、结构 4 个层次,围绕混凝土性能劣化和钢筋锈蚀进行了系统的研究[8] ,揭示了混凝土结构在单因素及多因素耦合条件下耐久性劣化机理[ 9-11] ,混凝土中钢筋锈蚀速率和锈蚀量计算模型[12-15] ,提出了多种混凝土结构耐久性寿命预测方法[ 6,16-17] ,这些成果为混凝土结构耐久性评定奠定了理论基础。

2.2 结构耐久性裕度

为保证结构或构件具有足够的安全储备,对于重要程度较高,目标使用年限较长,可修复性较差的结构或构件,在耐久性评定时应适当提高其耐久性裕度。耐久性裕度常通过耐久性裕度系数来表征。基于现有研究成果,对于因钢筋锈蚀引起的结构耐久性问题,考虑结构服役环境、耐久性态及其重要性,可按剩余使用年限计算其耐久性裕度系数:

图片

式中:ξ为结构耐久性裕度系数;te 和 tre 分别为结构目标使用年限和剩余使用年限;γ0 为耐久重要性系数,对重要结构及一般结构,γ0 取 1.1,对次要结 构,γ0 取 1.0,对一般结构和次要结构,当构件容易修复、替换时,γ0 取 0.9。 

2.3 耐久性评定标准

随服役环境条件、混凝土材料、保护层厚度不同,混凝土结构耐久性损伤及钢筋锈蚀具有较大的离散性。为方便业主宏观把握结构耐久性状况,更好地运维现有建筑,可根据结构(或构件) 在目标使用年限内是否达到耐久性要求,将其划分为 A(a) 、 B(b) 、C(c)三个耐久性等级。混凝土结构“两层次三等级”耐久性评定框架如图 2 所示。

图片


《统一标准》按照结构构件损伤的可逆程度,将结构适用性可靠性指标取为 0~1.5。混凝土结构构件的耐久性损伤通常是不可逆的,课题组依据工程结构耐久性损伤调查结果发现,耐久性裕度系数 ξd = 1.8 时,可靠指标 β = 0.77~1.06,此时保证率为 78% ~ 86%。考虑到《统一标准》 对结构适用性的要求,取 ξd = 1.8 为 A(a) 级的下限较为合理,此时结构(或构件)耐久性符合现行国家标准的要求,不需采取措施;当 ξd = 1.0 时,可靠指标 β = 0,结构或构件只满足均值意义的耐久性要求,保证率约为 50%,取为 B(b)级下限,即在均值意义上,目标使用年限结束时构件即损坏,可不采取或部分采取修复、防护或其他提高耐久性的措施;当超过 50%的结构 (或构件)不能满足耐久性要求时,取为 C(c) 级,此时需及时采取修复、防护或其他提高耐久性的措施。耐久性等级划分如表 1 所示。

图片


3

基于钢筋锈蚀的混凝土结构耐久性评定 

3.1  评定内容

既有混凝土结构耐久性评定涉及结构耐久性检测、结构耐久性评定等内容。

混凝土结构耐久性检测,包括外观损伤检测,环境条件调查及各项耐久性参数的测定,这些是进行结构耐久性评估的依据。外观损伤检测包括外观尺寸检查,混凝土表面有无结晶物析出,有无锈斑、露筋,有无起鼓、酥松剥落现象,构件开裂位置、形态、裂缝走向等;对服役环境条件的调查包括环境温湿度、空气中腐蚀性气体含量以及服役环境中的侵蚀性离子等;混凝土结构检测可通过力学检测法、物理检测法、化学检测法,测定混凝土和钢筋的耐久性参数以推定材料损伤程度和结构构件的耐久性。

耐久性评定应根据结构失效后的严重性、结构物所处环境的类别、结构损伤状况和目标使用年限要求确定耐久性等级。对于一般大气环境和氯盐环境,现有研究已经初步建立了半理论半经验的劣化模型,可依据钢筋锈蚀进程较为准确地预测结构剩 余使用年限。此时,耐久性裕度系数 ξd 可采用下述公式计算:

图片

式中:t为结构建成至耐久性评定时的时间,a;te 为目标使用年限,a;t 为结构达到耐久性极限状态时的耐久年限,a,包括钢筋开始锈蚀耐久年限 ti、混凝土保护层锈胀开裂耐久年限 tcr 和混凝土保护层锈胀裂缝宽度限值耐久年限 td 。

3.2 一般大气环境

3.2.1 大气环境下混凝土碳化模型

课题组收集了 64 组国内外长期暴露试验与实际工程调查碳化数据(图 3) ,建立了以混凝土抗压强度为参数的碳化深度实用计算模型[11,18] 

图片
图片
式中: x c( t)为混凝土碳化深度,mm; 为碳化系数; K CO2 为 CO 2 浓度影响系数,取 图片 ;C CO 2  为 CO 2  浓度,%; K kl  为考虑构件角区和非角区的位置影响系数; K kt  为浇注面影响系数; K ks  为考虑应力状态的影响系数; K F  为粉煤灰取代量对碳化作用的影响系数; T  为环境温度,℃ ; RH  为环境相对湿度; f cu,e  为混凝土抗压强度推定值,MPa,不应大于 50 MPa。
GB 51355—2019《既有混凝土结构耐久性评定标准》 (以下简称《评定标准》)给出了上述系数建议取值,方便工程人员查用 [19] 
图片


3.2.2 钢筋开始锈蚀耐久年限

一般大气环境中的 CO 2 或者酸雨会引起混凝土碱度降低,当混凝土的 pH 值低于 11.5 时,钢筋表面难以生成完整稳定的钝化膜;脱钝钢筋表面存在电化学反应所需氧气和水时,钢筋即发生锈蚀。对于严格禁止钢筋锈蚀或预应力混凝土构件,应采用钢筋开始锈蚀极限状态进行耐久性评定。
由于混凝土完全碳化区前沿存在一个不完全碳化区(部分碳化区) ,其 pH 值为 8.5~12.5,使处于部分碳化区内的钢筋钝化膜有了脱钝的条件。因此,课题组提出采用“碳化残量”间接反映混凝土部分碳化区长度、钢筋脱钝速度及混凝土碳化速度之间关系。通过实验室快速碳化试验及实际环境现场暴露试验,分析了西北、华东、西南、中南、华北、东北 18 个城市和地区 120 余个构件的工程检测资料,给出了以下碳化残量计算公式 [9,11- 12] :
图片
式中: k 为碳化系数,(mm/a) 0.5 ; d c 为系数,当  c≤28且 k≥0.8 时, d c= c,当  c≤28 且  k<0.8 时, d cc-0.16/ k,当  c> 28 且  k>1.0 (  k>3.3 时,取  k=3.3) , d cc+0.066( c-28) 0.47k,当  c>28 且 k≤1.0 时, d cc-0.389(  c-28) (0.16/k) 1.5c 为保护层厚度,mm;  为局部环境影响系数,根据环境湿度变化及恶劣状况,进一步反映脱钝速度的影响。
在混凝土碳化模型和碳化残量研究的基础上,钢筋开始锈蚀耐久年限  t i 可按下述模型计算 [13] :
图片

《评定标准》依据课题组工程调查和试验结果,建议 ti 按下式确定[16,19] :

图片

式中:Kk 、Kc 和 K分别为碳化系数、混凝土保护层厚度和局部环境作用对 ti 的影响系数,这些系数可在《评定标准》中查询。

3.2.3  混凝土保护层锈胀开裂耐久年限

钢筋锈蚀初期,锈蚀产物分布相对均匀,体积是原钢材的 2~4 倍,因而对钢筋周围混凝土产生膨胀压力,导致保护层混凝土产生拉应力,当拉应力大于混凝土抗拉强度时,即出现顺筋裂缝。普通混凝土 结构构件宜采用混凝土保护层锈胀开裂极限状态进行耐久性评定。
为了便于工程应用,选择环境温湿度、混凝土保护层厚度、混凝土抗压强度为主要参数,给出混凝土保护层锈胀开裂前钢筋锈蚀速度计算公式如下 [14] :
图片

式中:λ0 为钢筋锈蚀速度,mm/a;Kcl 为钢筋位置影响系数(角部钢筋 Kcl=1.6,非角部钢筋 Kcl = 1.0) ; 为局部环境影响系数;T 为年平均温度,℃ ;RH 为年平均相对湿度,%,当 RH> 80% 时,取 RH = 80%;c 为混凝土保护层厚度,mm;fcu,e 为混凝土抗压强度推定值,MPa。

课题组依据实验室快速锈蚀试验和实际工程检测结果,给出混凝土保护层锈胀开裂时钢筋锈蚀深度 δcr 的计算公式[15] :

图片

式中:δcr 定义为锈胀裂缝宽度 wf = 0.1 mm 时的钢筋锈蚀深度;c 为混凝土保护层厚度,mm;为钢筋直径,mm。

在对大气环境混凝土保护层开裂前钢筋锈蚀速度和保护层胀裂临界锈蚀深度研究的基础上,得出大气环境下保护层锈胀开裂耐久年限 tcr

图片

式中:t为钢筋开始锈蚀耐久年限,按式(5) 计算;tc 为钢筋开始锈蚀至混凝土保护层锈胀开裂所需的时 间,a。《评定标准》依据课题组工程调研结果,考虑各影响因素的概率分布,建议采用下式确定 tc :

图片

式中:Hc 、HfHd 、HT 、HRH 和 Hm 分别为混凝土保护层厚度、混凝土强度、钢筋直径、环境温度、环境湿度以及局部环境等因素对混凝土保护层锈胀开裂耐久年限的影响系数,这些系数均可在《评定标准》中查询得到;tr 为上述影响系数均为 1.0 时自钢筋开始锈蚀到混凝土保护层锈胀开裂的时间,a。

3.2.4 混凝土保护层锈胀裂缝宽度限值耐久年限

混凝土表观裂缝为介质的侵入提供了快速通道,开裂后混凝土保护作用降低,钢筋锈蚀速度加快,结构耐久性能急剧下降。对于外观要求不高的混凝土构件,可采用混凝土保护层锈胀裂缝宽度限值耐久年限进行评定,其剩余使用年限可用锈胀裂缝宽度扩展至 2~3 mm 所用的时间来确定。

课题组结合工程实测资料与实验室加速试验结果,给出了混凝土保护层开裂后钢筋锈蚀速度计算模型[22]

图片

式中:λ1 为开裂后钢筋年锈蚀深度,mm/a。

混凝土表面出现可接受最大外观损伤时,构件角部钢筋相应的锈蚀深度 δd 可根据下式求得[12] 。

图片

对非角部配筋的墙板类构件,当前尚缺乏成熟的裂缝宽度与锈蚀量关系的计算公式,因此近似取 δd = 0.3。

因此,结构建成至保护层锈胀裂缝宽度达到限值耐久年限 td 可按下式估算:

图片

《评定标准》考虑工程应用的方便,建议 t按下式确定,并给出了公式中的系数[19] :

图片

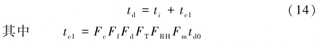
式中:tcl 为钢筋开始锈蚀至混凝土保护层锈胀裂缝宽度达到限值所需时间,a;Fc 、FfFd 、FT 、FRH 和 Fm 分别为混凝土保护层厚度、混凝土强度、钢筋直径、环境温度、环境湿度以及局部环境等因素对混凝土保护层锈胀裂缝宽度限值耐久年限的影响系数,这些系数可从《评定标准》中查得;td0 为上述影响系数均为 1.0 时钢筋开始锈蚀至混凝土保护层锈胀裂缝宽度达到限值的时间,a。

3.3 氯盐侵蚀环境

近沿海环境、盐湖环境及除冰盐环境中,氯离子侵蚀是引起钢筋锈蚀的重要因素。氯离子穿透力极强,可快速侵入混凝土中,当其在钢筋附近积累到一定浓度,会破坏钢筋表面钝化膜引发钢筋锈蚀。在混凝土保护层开裂前,钢筋锈蚀相对均匀,锈蚀速率相对较慢,对于目标使用年限内不允许钢筋锈蚀的构件(如预应力混凝土构件) ,宜将钢筋开始锈蚀作为其耐久性极限状态。保护层开裂后,氯离子侵蚀速度加快,钢筋锈蚀速率大大增加。由于氯盐环境 混凝土保护层锈胀开裂至裂缝宽度达到限值所需时间较短,对于普通混凝土构件及目标使用年限内不允许出现锈胀裂缝的构件,可将混凝土保护层锈胀开裂作为其耐久性寿命终结的标志。为了确定钢筋开始锈蚀耐久年限和混凝土保护层锈胀开裂耐久年限,必须先确定三个关键参数。

3.3.1 氯盐环境混凝土耐久性评定关键参数

1) 临界氯离子浓度 Ccr。引起混凝土中钢筋锈蚀的临界氯离子浓度受混凝土孔隙溶液中[Cl-]/[OH-]比值大小、环境条件等诸多因素影响。根据中国惠州港、湛江港、赤湾港、日照港等港工结构检测数据,对于水灰比为 0.4~0.6 的混凝土结构,其氯离子有效扩散系数为 0.428×10-4 ~5.361×10-4 m2/a、表面氯离子含量为 3.84~12.97 kg/m3 、保护层厚度为 13~69 mm。以全部氯离子占胶凝材料质量百分数计,氯离子浓度临界值变动范围在 0.17%~2.5%。对处于浪溅区及室内环境数十个构件的验算结果表明,在均值意义上,C30 以下混凝土临界浓度取 1.3 kg/m3(0.35%) ,C40及以上混凝土临界浓度取 1.7 kg/m3( 0.45%) 是合理的。位于水位变动区的混凝土常处于饱水状态,氯离子临界浓度值大大提高,甚至可达胶凝材料质量的 1.0%,位于大气区的混凝土相对干燥,电阻率大大提高,离子迁移相对困难,因此将水位变动区、大气区氯离子临界浓度取为 0.55%或 2.10 kg/m3 。表 2 给出了氯离子临界 浓度的建议取值。

图片

2) 混凝土表面氯离子浓度 Cs。混凝土表面氯离子浓度与其所处环境含盐量、构件位置以及混凝土配合比、孔结构、密实性等因素有关。调查表明,英国海岸浪溅区混凝土表面氯离子浓度通常在混凝土质量的 0.3%~0.8%;潮汐区暴露 3 年的试件,其表面氯离子浓度占混凝土质量的 0.4%(9.2 kg/m3)~0.7% (16.1 kg/m3)。在实验室用海水喷雾经 1 200~2 000 个循环,表面氯离子浓度可达到混凝土质量的 0.6%~1.0%。中国港口浪溅区使用 9~16 年的混凝土结构,其表面氯离子浓度为混凝土重量的 0.07%(1.61 kg/m3)~0.56% (13 kg/m3),其中水灰比 w/c = 0.39 的混凝土构件平均表面氯离子浓度为0.16%(3.65 kg/m3),水灰比 w/c = 0.55 的混凝土构件平均为 0.36% (8.2 kg/m3)。同在浪溅区,构件所处的位置、朝向、相对最高潮位不同,表面氯离子浓度也不同,因此,建议潮汐区、浪溅区混凝土表面氯离子浓度 Cs 采用调查值或实测数据推算值;当缺乏有效的实测数据时,可按表 3 取用。

图片

近海大气区盐雾中的氯离子会沉降于混凝土表面,尤其是在无遮挡、海风直吹的部位,直至混凝土表面氯离子浓度达到稳定值,达到稳定值所需的时间与离海岸距离有关,通常大于水位变动区、浪溅区的混凝土构件。近海大气区混凝土表面氯离子浓度应结合实测数据,按下列公式确定:

图片

式中:ks 为混凝土表面氯离子聚集系数;t1 为混凝土表面氯离子浓度达到稳定值所需的时间,a,按表 4 取用;t0 为结构建成至检测时的时间,a,t0 >t时,取t0t1 ;Cse 为实测的混凝土表面氯离子浓度,kg/m3 。

图片

3) 氯离子扩散系数 Dcl。氯离子扩散系数是氯盐腐蚀环境结构服役寿命预测的重要参数。氯离子扩散系数受混凝土含水量、孔隙率、孔结构以及环境温湿度等多种因素的影响。减小混凝土水胶比,增加混凝土密实度,可有效减小混凝土氯离子扩散系数。实际工程中,氯离子扩散系数应根据混凝土中氯离子分布测试结果,由下式推算:

图片

式中:D0 为氯离子有效扩散系数,m2/a;x 为氯离子在混凝土中的扩散深度,mm;t0 为结构建成至检测时的时间,a;Cx,t0 ) 为检测时 x 深度处氯离子浓度,kg/m3 ;Cs 为混凝土表面氯离子浓度,kg/m3 。

当需要考虑氯离子扩散系数的时间依赖性时, 可按下式估算:

图片

式中:α 为掺和料对混凝土氯离子扩散系数时间依赖性的影响系数,宜用每隔 2~3 年实测数据得到的 D 值推算;不能实测时,可按下式确定:

图片

式中:Fb 为粉煤灰占胶凝材料的百分比,%;Sb 为矿渣占胶凝材料的百分比,%。

无实测数据时,对普通硅酸盐混凝土,D0 可采用龄期为 5 a 的混凝土氯离子扩散系数估算:

图片

式中:D0 为龄期 5 a 混凝土氯离子扩散系数,m2/a;w/c 为混凝土水灰比;T 为环境年平均温度,℃。当考虑冻融循环作用对混凝土氯离子传输的影响时,上述公式得到的 D0 可乘以放大系数,放大系数可按表 5 取用。

图片

3.3.2 氯盐环境混凝土中钢筋开始锈蚀耐久年限

考虑混凝土表面氯离子沉积过程和混凝土中氯离子的扩散过程,氯盐环境混凝土中钢筋开始锈蚀耐久年限可按下述公式计算,对于近海大气区混凝土构件,其表面氯离子浓度聚集到稳定值所需的时间大于水位变动区、浪溅区的混凝土构件。因此,近海大气与轻度盐雾区混凝土中钢筋开始锈蚀时间加上 0.2t1的修正值。

图片
式中: t 为钢筋开始锈蚀耐久年限,a; c 为混凝土保护层厚度,mm; 为氯离子侵蚀系数,m/ 图片 D  为氯离子扩散系数,m 2 /a,可基于 Fick 第二定律确定;erf 为误差函数; t 1  为混凝土表面氯离子浓度达到稳定值的时间,a; C cr  为钢筋锈蚀临界氯离子浓度,kg/m 3 C s  为混凝土表面氯离子浓度,kg/m 3 ,考虑工程检测人员操作方便, C cr  和  C 均以总氯离子浓度计。
对于近海大气区混凝土构件,其表面氯离子浓度聚集到稳定值所需的时间大于水位变动区、浪溅区的混凝土构件。因此,在式(20a) 钢筋开始锈蚀时间中增加了 0.2t的修正值。

3.3.3 氯盐环境混凝土保护层锈胀开裂耐久年限

根据现有国内外研究成果、工程实测及试验资料,可确定氯盐侵蚀环境混凝土保护层开裂前后的钢筋锈蚀速度计算模型,进而确定氯腐蚀环境下混凝土保护层开裂时间。

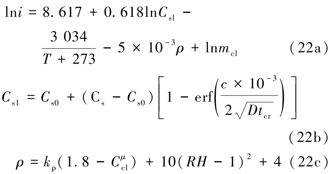
1) 掺入型氯盐环境保护层开裂前钢筋腐蚀速度。基于自然暴露(干湿交替) 环境试验研究结果,非大掺量氯盐混凝土中氯离子初始浓度 C0 大于临界氯离子浓度 Ccr 时,钢筋腐蚀电流密度 i 可按下述模型计算:

图片
图片

式中:Cs1 为钢筋表面氯离子浓度,kg/m3 ;t 为钢筋锈蚀时间,迭代计算时可设 等于 tc,0 ,tc,0 为未考虑锈蚀产物渗透迁移及锈坑位置修正的钢筋开始锈蚀至混凝土保护层锈胀开裂的时间,a。

 2) 渗入型氯盐环境保护层开裂前钢筋腐蚀速度。通过氯盐环境混凝土中钢筋锈蚀速度的研究,考虑局部环境的影响,渗入型氯盐环境钢筋腐蚀电流计算模型为:

图片

式中:mcl 为局部环境系数,室外干湿交替环境及浪溅区取 4.5~5.5,南方湿热地区取 4.0~4.5,非干湿交替环境取 2.0~2.5;T 为钢筋表面温度,℃ ,可采用环境温度;ρ 为混凝土电阻率,kΩ·cm,宜按实测值取用,也可按式( 22c) 计算;kρ 为系数,混凝土水灰比 0.3~0.4 或强度等级 C40~C50 时,kρ取 11.1,混凝土水灰比 0.5~0.6 或强度等级 C20~C30 时,kρ 取 5.6;Cμcl 为混凝土保护层氯离子浓度平均值,kg/m3,当 Cμcl 大于 3.6 时,取 3.6;RH 为环境相对湿度;C为混凝土表面氯离子浓度,kg/m3C0 为混凝土制备时掺入的氯离子浓度,kg/m3。 

3) 氯盐腐蚀环境下混凝土保护层锈胀开裂时间。法拉第定理,保护层开裂前钢筋年平均锈蚀速率 λcl 可表示为:

图片

对于氯盐环境钢筋混凝土构件,钢筋锈蚀形态以坑蚀为主,锈蚀产物向锈坑两侧无锈蚀区域的钢筋-混凝土界面过渡区迁移及向混凝土孔隙及微裂缝中渗透会降低锈胀力,推迟裂缝的产生。因此引入系数 β1 、β对氯盐环境混凝土保护层开裂时间予以修正:

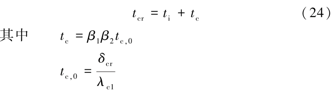
图片

式中:tcr 为混凝土保护层锈胀开裂耐久年限,a;ti 为钢筋开始锈蚀耐久年限,a;tc 为钢筋开始锈蚀至混凝土保护层锈胀开裂所需的时间,a;tc,0 为未考虑锈蚀产物渗透迁移及锈坑位置修正的钢筋开始锈蚀至混凝土保护层锈胀开裂的时间,a;δcr 为保护层开裂时的钢筋临界锈蚀深度,mm,按式(8) 确定;i 为钢筋腐蚀电流密度,μA/cm2 ;β1 为考虑锈蚀产物向锈坑周围迁移及向混凝土孔隙扩散对混凝土保护层锈胀开裂时间的修正系数;β2 为考虑多个锈坑及分布对混凝土保护层开裂时间的修正系数,这些系数在《评定标准》中都给出了建议取值。

3.4 结构耐久性综合评定

结构不同部位的服役环境不同,耐久性劣化的原因和损伤程度也可能不同。如果按整个建筑物进行耐久性评定,评定结果不能准确反映结构实际耐久性状况。因此,为了科学评定结构耐久性,可先将结构按构件、评定单元两个层次进行划分,通过评定单元的评定结果给出结构的评定结果。与现行国家标准 GB 50292—2015《民用建筑可靠性鉴定标准》、 GB 50144—2019《 工业建筑可靠性鉴定标准》 的评定单元划分标准不同的是,耐久性评定单元的划分尚应考虑服役环境的差异,不同环境类型应设置不同的评定单元。

结构形式复杂时,可根据结构布置将评定单元划分为若干子单元再进行评定;结构形式简单时,如单体建筑或烟囱、水塔等高耸构筑物,评定单元则不再划分为子单元。子单元的划分可以有不同的方案:对多高层的框架、剪力墙、框剪结构等可按层划分子单元,对排架结构等可按榀划分子单元,或根据工程经验和实际需要划分。评定单元中各子单元的环境条件相近时,为简化计算,评定单元的耐久性裕度系数取子单元耐久性裕度系数的算术平均值,环境条件差异较大时,取子单元耐久性裕度系数的较小值。

子单元耐久性裕度系数应根据构件耐久性裕度系数确定,构件耐久性裕度系数应取各环境类别耐久性裕度系数的最小值 ξd,min 。当 ξd,min > 0. 85图片时,各受检构件耐久性裕度系数的变异性较小,可不考虑变异性的影响,取各构件耐久性裕度系数的算术平均值图片作为子单元的耐久性裕度系数。当 ξd,min ≤ 0. 85图片时,受检构件耐久性裕度系数的变异性较大, 宜考虑变异性的影响,引入折减系数 κ 对各构件耐久性裕度系数的算术平均值进行修正,作为子单元的耐久性裕度系数[19]。即:

图片

式中:ξd,min 为受检构件耐久性裕度系数的最小值;图片为受检构件耐久性裕度系数的算术平均值;ξd,u 为子单元的耐久性裕度系数;κ 为折减系数,由正态随机变量均值的小样本推断方法确定,取样本函数

图片


4

结束语

钢筋锈蚀是引起混凝土结构耐久性劣化的主要原因,科学评定既有钢筋混凝土结构耐久性,有助于准确把握结构耐久性,挖掘结构潜力,延长其使用寿命,符合国民经济可持续发展和国家“碳达峰、碳中和”的重大战略决策。

研究从结构全寿命周期的角度,充分考虑了混凝土结构服役环境的复杂性,分析了钢筋锈蚀引起的混凝土结构劣化过程;结合现行国家标准和国内外研究成果,界定了混凝土结构耐久性失效标准,明确了以钢筋锈蚀过程关键时间节点为基础的耐久性极限状态;在混凝土结构耐久性评估理论与方法及工程实践经验的基础上,提出了构件、单元两层次,A(a) 、B(b) 、C(c) 三个等级;以及采用混凝土结构剩余耐久年限计算耐久性裕度系数并进行评定的原 则与方法。

通过将前沿较成熟的科研成果与工程实践有机结合,对科学评估一般环境、氯盐环境中既有混凝土结构的耐久性能,准确预测既有混凝土结构的剩余使用寿命,制定合理的耐久性维护、加固对策具有重要的指导意义,也可为新建混凝土结构耐久性设计提供依据。然而,论文提及的耐久性评定方法是建立在现 有成熟的理论之上,计算模型多为半理论半经验模型,现有研究成果难以精确描述钢筋混凝土结构在实际复杂环境中的劣化过程,混凝土耐久性研究还任重道远,混凝土结构耐久性评定理论还需不断完善。

内容源于网络,仅作分享使用,如有侵权,请联系删除 

相关资料推荐:

钢筋锈蚀与混凝土结构的耐久性

混凝土结构钢筋锈蚀耐久性损伤评估及寿命预测方法

知识点:基于钢筋锈蚀的混凝土结构耐久性评定

全部回复(0 )

只看楼主 我来说两句抢沙发
这个家伙什么也没有留下。。。

结构资料库

返回版块

41.29 万条内容 · 424 人订阅

猜你喜欢

阅读下一篇

梁柱节点计算选“常用设计法”还是“精确设计法”?

疑问 梁柱节点连接计算时选择“常用设计法”还是“精确设计法”? 对梁翼缘与柱的连接,“常用设计法”偏于安全。对梁腹板与柱的连接,“常用设计法”偏于不安全。“精确设计法”相对更为准确。应根据梁翼缘和全截面塑性抵抗矩之间的比值来选择。  当该比值小于0.7时,可认为翼缘较弱,弯矩需由一部分腹板来传递,应采用“精确设计法”。而该值不小于0.7时,则可认为翼缘连接有足够的能力传递所有弯矩,应采用“常用设计法”。但是0.7的界限也并非绝对,一般计算软件会允许设计人根据实际情况灵活选择设计方法。如下图所示:

回帖成功

经验值 +10