当钢结构厂房已施工完毕,又没有做好前期的投入,哪么我们该如何防止钢结构厂房基础下沉,简单的来说就是加固,将所有的钢结构立柱用工字钢或槽钢圈起来,形成一个网状。此方法能防止钢结构厂房的基础下沉作用。

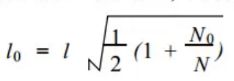
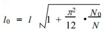
1 钢结构厂房基础的受力特点







2 基础设计的基本要求
3 基础设计的一般方法

3.1 采用偏心基础
3.2 增加基础的附加重量

3.3 采用桩基础
内容源于网络,仅作分享使用,如有侵权,请联系删除
相关资料推荐:
知识点:钢结构厂房基础下沉
0人已收藏
0人已打赏
免费4人已点赞
分享
钢结构工程
返回版块46.53 万条内容 · 1214 人订阅
阅读下一篇
屋顶厂房阻燃透明FRP玻璃钢板抗紫外线强-河南多凯采光板安装时需需要注意事项: 使用采光板可以适当的增加整个建筑行业的采光面积,促使建筑行业在采光的性能上更好,且舒适度也会更高,与此同时还降低了灯光的使用,不仅节能还非常的环保,安装时需要注意如下事项: 一、对采光板进行安装之前,首先要做好相应的设计工作,这样才能保证采光板在使用的过程中发挥好的效果。 二、对于采光板在支撑的檀条在间距上的规定,如果檀条之间的间距越高的话,那么其产品在厚度上就越厚,如果需要将采光板进行弯曲使用的话,其整个弯曲的半径和波板之间的厚度有关,正常情况下,弯曲的半径不可以小于四米;
回帖成功
经验值 +10
全部回复(0 )
只看楼主 我来说两句抢沙发