在施工现场存在大量的方木、工字钢连梁在沿截面高度、宽度两个方向被施工人员随意错位搁置的现象。这些看似影响不大的举动,有时却会造成不小的质量及安全隐患。
1 方木不同搁置方向对挠度的影响
方木是施工现场常用的周转材料,其规格有很多种,以前常用的规格是60mm×80mm, 50mm×80mm,现在比较多见的是40mm×80mm, 50mm×100mm等,比较以前的常用规格要更加扁平一些。在模板施工方案的计算书中,方木截面的几何特性是按竖向选定取值的。但是由于目前方木长宽比较大、截面扁平,操作工人为图方便,很多时候将方木横向搁置。
公司技术部门在检查各个项目期间,发现不少混凝土梁存在如下现象:梁底呈波浪形曲线,波长等于立杆纵距。这个现象说明,立杆间距满足要求,稳定性满足要求,但梁底方木刚度不够,挠度超出允许值(图1)。

图1??混凝土底梁呈波浪形
查看这些工程的支模架,发现问题出在方木的搁置方向上。模板施工方案中,梁底方木都是按竖向搁置的,但现场却是横向搁置的(图2)。

图2??梁底方木横向搁置
从结构力学、材料力学的基本公式入手进行推敲方木横向和竖向搁置的本质区别以及对挠度的影响(图3)。

图3??简支梁挠度计算简图
根据力学知识,简支梁在均布荷载作用下,其挠度计算公式为 :

式中:q为均布荷载;l为梁的跨度;E为材料的弹性模量;I为截面惯性矩。
上式是简支梁的挠度计算公式,通过查询《建筑结构静力计算实用手册》可知,无论是简支梁还是连续梁,在均布荷载、跨度、材料确定的情况下,其跨中最大挠度与截面惯性矩成反比。
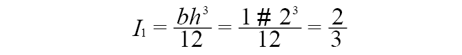
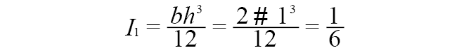
以50mm×100mm的方木为例,研究方木横放和竖放对截面惯性矩的影响。为简化计算,只计算两种搁置方式惯性矩的比值,故截面尺寸可设为单位长度1和2。
由材料力学知识可知,矩形截面材料的截面惯性矩计算公式如下:

式中:b为截面宽度;h为截面高度。
方木竖向搁置时,其惯性矩计算如图4所示。


图4??方木竖向搁置计算简图
方木横向搁置时,其惯性矩计算如图5所示。

图5??方木横向搁置计算简图

方木竖放和横放时惯性矩之比为4:1,所以根据公式(1)在相同荷载和跨度情况下,竖放和横放时方木的挠度之比为1∶4。
工人操作不当,项目部管理人员疏忽,认为竖放、横放影响不大,未要求工人及时整改,但方木挠度已相差4倍,混凝土大梁底面的挠度已受较大影响。
2 工字钢不同搁置方向对挠度的影响
工字钢作为外脚手架悬挑型钢,是工地常用的周转材料。在工程实践中,当悬挑型钢主梁遇到框架柱、转角墙等部位不便摆放时,常采用搭设型钢连梁的方式对这些部位进行跨越。部分外架班组在搁置型钢连梁时,为方便操作,会将工字钢横向放置(图6、图7)。

图6??工字钢连梁水平搁置

图7??工字钢连梁跨中挠度过大
图7中,可以明显看到跨越两个纵距的型钢连梁挠度过大,跨中已下垂。
型钢连梁摆放方向对挠度的影响可根据数据进行分析。
以16号工字钢为例,根据型钢的截面特性,知其两个方向的惯性矩分别为:Ix=1130cm4,Iy=93cm4, Ix∶Iy=12∶1。根据公式(1)可知,其挠度比为1∶12。所以在悬挑架施工方案中,竖放的型钢连梁挠度验算能满足规范要求,但如将其横向搁置,将导致其挠度增大到之前的12倍,超出规范允许值。
3 结束语
方木被横向搁置的现象有愈来愈普遍的趋势,究其原因,首先当然是部分项目管理人员及操作工人按方案施工意识不强,但最根本的原因还是项目部采购的方木截面高宽比过大,截面过于扁平,不利于现场施工时竖向搁置。所以今后施工单位应从源头抓起,杜绝截面过于扁平的方木进入施工现场。
工字钢连梁被横向搁置的情况偶有发生,究其原因还是工人操作不当、项目管理人员相关力学概念不清晰,疏于管控。
转自:建筑技术杂志社
推荐资料(点击文字跳转):
知识点:周转材料不同搁置方向对挠度的影响
0人已收藏
0人已打赏
免费1人已点赞
分享
建筑施工
返回版块66.02 万条内容 · 1639 人订阅
阅读下一篇
外架连墙件与立杆连接,且与内外立杆同时连接吗?图1为某地建设主管部门的《房建市政工程建筑施工生产安全事故典型案例巡讲》课件中的规范施工示例,要求外架连墙件要与立杆连接并且与内外立杆同时连接。图1规范施工示例由图1可看出,连墙件是平楼面设置,拉在内外立杆处,距主节点超过300?mm,不仅将安全网捅了个洞,还挡在外架通道上,妨碍通行。JGJ 130—2011《建筑施工扣件式钢管脚手架安全技术规范》中第6.4.3条连墙件的布置应符合以下规定:
回帖成功
经验值 +10
全部回复(0 )
只看楼主 我来说两句抢沙发