一
研究意义
自20世纪末以来,我国在深水大跨度桥梁建设领域有了长足的发展,桥梁形式逐渐多样化,跨度不断增加,功能也由单一的公路运输向公铁两用运输转变。随着桥梁建设的发展,桥址区域的海洋环境也将变得越来越复杂。在使用过程当中,桥梁可能会受到台风、波浪、洋流、地震、潮汐等各种外部荷载的影响,导致结构损坏,因此对桥上荷载或位移等参数进行预测,并在超出限值前预先发出警告对跨海桥梁的防护具有重要意义。时间序列预测是一种回归预测方法,通过利用已有的数据进行统计分析和数据处理,从而预测目标未来的变化。近年来,很多学者在桥梁沉降,极限应力,养护成本等领域应用了时间序列预测技术,并获得了较为准确的预测结果。本文采用ARIMA(Autoregressive Integrated Moving Average Model),XGBoost(Extreme Gradient Boosting)及LSTM(Long Short-Term Memory Networks)三种具有代表性的时间序列预测模型分别对规则波浪作用下的桥面波浪荷载、风浪耦合作用下的结构位移、台风/飓风逼近时的波高变化这三个典型状况进行了预测,对比展示了三种模型的预测性能,研究结果可以为解决有时间序列预测需求的工程问题提供指导。
二
研究内容
1
三种模型的运行原理
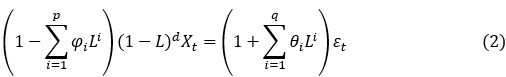
其中p’是自回归阶数,是q移动平均阶数,Li是滞后因子,Xt是t时刻数据的实际值,αi和θi分别是与自回归及移动平均相关的参数,εi是误差部分。
有一个d重的单位根,则上面这个公式可以被转化为:

其中p=p'-d、φi是与自回归部分相关的参数。
XGBoost模型在时间序列预测当中是由多棵回归树所组成的,其中第i棵回归树的运算如下:
其中
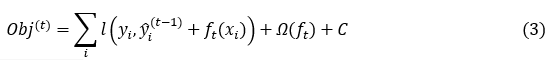
是损失函数,уi是预测目标值,
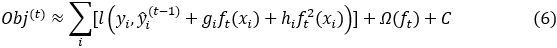
是第i-1棵树的预测值,fi(xi)是第i棵树的预测值,Ω(ft)是正则项,C是常数。对上式使用泰勒公式进行展开,并定义gi和hi两个参数:
可以将式(3)转换为如下形式:
在XGBoost模型中,第i棵树的预测目标是前i-1棵树预测值之和与真实值之间的残差,在计算完成后,将所有回归树的预测值进行加和,即可以得到预测结果。
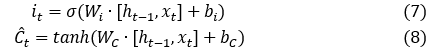
LSTM模型可以被分解成许多个重复的模块,每一个模块都由遗忘门,输入门和输出门依次构成。在每一个门中,可以通过添加权重矩阵,偏置向量和激活函数的方式来选择记忆和遗忘的内容。例如在输入门中,输入的数据可以由以下方式来进行处理:
2
对桥面波浪力的预测
在卡特里娜飓风过后,墨西哥湾的许多桥梁都遭受了严重的损害。经灾后研究发现,桥梁损坏主因是桥下净空较低,飓风所引起的波浪淹没了桥面,导致了桥梁上部结构的移位。西南交通大学的黄博使用水槽试验对这一现象进行了研究,得到了桥梁淹没状态下的横向波浪力变化时程。对这一组时程数据使用不同的机器学习模型进行学习和预测,得到的结果如图1和表1所示。

图 1 桥面波浪力预测结果
表 1 桥面波浪力预测误差

通过对比预测结果可以发现,三种模型均具有较好的准确性。其中,在跨越多个时间步的预测上,XGBoost模型的预测结果要略优于LSTM。ARIMA模型在训练集规模较小的情况下就可以达到较高的预测精度,但是预测的时间跨度较小,预报发出后留给工程人员的反应时间较短。
3
桥梁位移时程预测
对于处在复杂自然环境条件的大跨海洋桥梁,风浪耦合作用带来的振动会变得更加明显。房忱等人对某跨海桥梁在风浪耦合作用下的振动状况进行了数值分析,得到塔顶、跨中、塔身与主梁连接处三个关键位置250秒长的振动位移时程。在使用原始数据进行预测时,跨中位移由于振动频率较为单一,预测结果较好,但塔顶和塔梁连接处的位移由于频率成分复杂导致XGBoost和LSTM模型的多时间步预测结果不理想。为解决这一问题,文章采用预处理方法,对振动的主要频率成分进行提取和分析,得到了较为准确的结果,如图2所示。
(b) 塔顶
图 2 进行数据预处理的时间序列预测结果
4
台风/飓风逼近时的波浪高度预测
台风/飓风通过沿海时,所引起的波浪会对桥梁安全造成严重威胁,因此有必要对于波浪高度进行预警。但是相比前两节中的预测对象,台风来临时的波高预测有一定难度。一方面模型无法预先收集数据进行训练,且台风过境时间较短,数据收集量较少。另一方面,波浪高度随着台风逼近会呈现逐步上升的趋势。针对这两个问题,文章对三种模型进行了改进,采用滚动预测的方式,从小样本开始同步进行收集数据和模型训练,以提升模型在小样本条件下的预测精度,预测结果如图3和表2所示。由于缺乏台风下波浪的具体观测数据,本文采用具有一定变化趋势的公开数据集进行论证。
图 3 波浪高度的滚动预测结果
表 2 波浪高度预测误差

从预测结果可以看出,LSTM模型的预测结果最好,XGBoost模型和ARIMA模型的预测结果偏差较大,且数据出现了一定的滞后性。
三
研究结论
本文采用了三种机器学习技术,应用在三种具有不同特性的数据集预测当中,并且通过预处理方法和滚动预测方法对预测过程进行了改进,使结果更加精确。通过对比模型可以预测的时间跨度和数据精度,可以得到如下结论:
1. 对于具有明显周期性的数据集,三种机器学习模型在时间序列预测中都表现出了较好的性能。XGBoost模型和LSTM模型都可以提前多个时间步进行预测,且XGBoost模型预测精度要更高一些。ARIMA模型可以在小训练集上得到较好的预测精度,但能够预测的时间较短。
2. 对于波动值在一定范围内且频率分布复杂的数据集,直接使用ARIMA模型在短期的预测当中仍然可以获得较好结果。XGBoost模型和LSTM模型所进行的多时间步预测在使用原始数据时效果欠佳,需要采用预处理方法来提升预测精度。
3.在对波浪高度的预测当中,滚动预测,K折验证和数据预处理方法可以在一定程度上克服数据缺乏的问题,达到较好的预测结果。但XGBoost和ARIMA模型预测结果会出现精度低和相位滞后现象,精度需要进一步提升。
内容源于网络,旨在分享,如有侵权,请联系删除
相关资料推荐:
https://ziliao.co188.com/p62306062.html
知识点:时间序列预测技术在跨海桥梁工程中的应用
0人已收藏
0人已打赏
免费0人已点赞
分享
桥梁工程
返回版块19.44 万条内容 · 655 人订阅
回帖成功
经验值 +10
全部回复(0 )
只看楼主 我来说两句抢沙发