知识点:柔性直流输电
柔性直流换流站与交流系统之间的高频振荡问题已经在国内外多个柔性直流输电工程中出现,例如法西联网工程的1.6kHz振荡;鲁西工程出现的1270Hz高频振荡;渝鄂工程南通道施州换流站调试期间,湖北侧和重庆侧分别出现的1810Hz和700Hz左右高频振荡;张北直流电网工程交流侧出现的1510Hz高频振荡等。高频振荡激发交流系统产生幅值较大的谐波,严重畸变交流电压和交流电流,增加系统的运行损耗,更有可能击穿一次设备使得系统闭锁停运。因此,研究柔性直流高频振荡机理及其抑制方法对提高工程安全性、稳定性和可靠性具有重大促进作用。
图1为柔性直流输电系统主电路示意图,其中柔性直流换流站经换流变压器接入交流线路及其等效电网。图2为工程应用时的柔性直流换流站控制系统架构。

图1 柔性直流输电系统主电路示意图

图2 柔性直流换流站控制系统架构
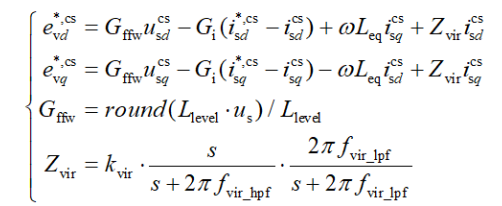
首先,文章针对柔性直流输电系统高频振荡问题,基于同步旋转dq坐标系和动态相量建模方法,构建了高频振荡理论分析模型;其次,采用根轨迹方法,分析了内环、链路延时、电压前馈、环流抑制、外环等因素对高频振荡的影响;再次,从电压前馈环节和虚拟串联阻抗有源阻尼控制两个方面提出了高频振荡抑制方案;最后,研究了有源控制器关键参数对换流站阻抗的影响,并进行了仿真验证。

图3 不同电压前馈环节的输出值

图4 高频振荡抑制方案


图5 高频振荡抑制仿真波形
论文分析和探讨了以下4方面问题:
论文针对柔性直流输电系统因链路延时导致的高频振荡问题,揭示了高频振荡是由交流系统和换流站共同作用产生的机理,开展了电压前馈环节策略优化和虚拟串联阻抗有源阻尼控制策略研究。由于高频振荡抑制方案参数对柔性直流换流站阻抗相位的影响呈现出“此消彼长”的特点,其抑制难点在于需要协调交流系统多个容性频率范围内换流站阻抗的相位特性,并且振荡抑制方案参数还需具有应对交流系统运行方式变化的能力。因此,单一改变控制系统架构和参数难以全方位彻底解决高频振荡问题,相关有源和无源协调抑制方案及其参数解析计算方法的研究还需要进一步开展。
相关推荐链接:
0人已收藏
0人已打赏
免费1人已点赞
分享
电气工程原创版块
返回版块2.2 万条内容 · 596 人订阅
阅读下一篇
智能光伏直流汇流箱的设计与运用知识点:直流汇流箱 近年来,随着环境问题的日益突出,绿色能源发展理念已经逐渐深入人心,全球经济发展的风向标已然转向低碳经济。太阳能产业越来越受到世界各个国家的重视。光伏电站的建设作为国家“十二五”计划的重要指标近年来也出现了蓬勃的发展。本文就光伏汇流箱的设计、应用等方面进行了详细的阐述。分布式发电与传统的集中式光伏电站相比,具有投资较少、发电方式灵活、发电效能高、环保性能好等优点,具有广阔的发展前景。
回帖成功
经验值 +10
全部回复(0 )
只看楼主 我来说两句抢沙发