知识点:排烟口个数与挡烟垂壁高度的关系
来源:网络,如有侵权,请联系删除

单个排烟口的最大允许排烟量Vmax按下式计算
其中,
Vmax为排烟口最大允许排烟量,m?/s;
γ为排烟位置系统,当风口中心点到最近墙体的距离不小于2倍的排烟口当量直径时取γ=1.0,反之取γ= 0.5; 当排烟口位于侧墙上时,取γ=0.5;
db为排烟口中心距离储烟仓底部的烟气层厚度,m;
T为烟层的平均绝对温度,K;
T0为环境的绝对温度,一般取293.15K。
式(1)中T-T0按下式计算
其中,
K为烟气中对流放热量因子,当采用机械排烟时,取K=1.0;
Cρ为空气的定压比热,一般取Cρ=1.01kJ/(kg·K) ;
QC为热释放速率的对流部分,一般取值为QC=0.7QkW,热释放速率Q按新规范表4.6.7进行选取;
Mρ为烟羽流质量流量,kg/s。
式(2)中烟羽流分为轴对称型、烟台溢出型及窗口型三种,根据新规范条文解释,一般情况下房间的烟羽流可以按照轴对称型烟羽流考虑,因此本文仅研究探讨了轴对称型烟羽流。
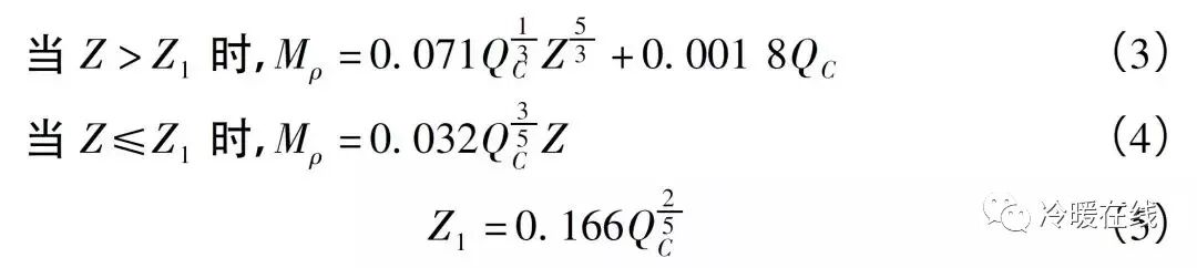
轴对称型烟羽流质量流量Mp按下式计算
其中,Z为燃料面到烟层底部的高度,m( 取值应不小于最小清晰高度与燃料面高度之差) ; 本文为了便于计算,直接取Z=最小清晰高度( 走道、室内净高不大于3m 的区域,最小清晰高度不小于净高的1/2) ; Z1为火焰极限高度,m。
当走道、室内空间的净高大于3m时,最小清晰高度Hq按式(6)计算:
其中,H'为对于单层空间,取排烟空间的建筑净高度,m; 对于多层空间,取最高楼层疏散楼层的层高,m。
通过分析上述计算公式不难发现,在实际工程中挡烟垂壁的设置高度直接决定了烟气层的厚度( 即储烟仓的高度) 和最小清晰高度,进而影响了单个排烟口的最大允许排烟量。因此本文采用上述计算理论对办公、商场及酒店建筑进行了计算研究探讨。

本文针对典型办公、商场、酒店建筑在不同净高( 考虑室内空间及走道一般做封闭式吊顶,排烟口设置在顶棚) 的条件下进行了计算。根据现有的工程实践,本文仅列举了几种常见净高下的计算结果( 计算结果基于排烟风口中心点到最近墙体的距离不小于2倍排烟口的当量直径) ,计算结果见表1,表2,表3。
(1)分析表1~表3的计算结果,不管是什么类型的建筑,在走道或室内空间净高已定的情况下,吊顶下方的挡烟垂壁的高度越高,设置在顶棚的排烟口的单个排烟口允许的最大排烟量越大,每个防烟分区需设置的排烟口个数就越少。
比如,对于净高为2.6m的办公建筑的走道,其挡烟垂壁的高度H与Vmax及排烟口个数N(个) 的关系曲线如图1所示。
从图1中不难看出,挡烟垂壁的高度每增加0.1m,Vmax增长的速度越来越快,当H=0.5m时,N至少需要6个,当H=0.6m时,N至少需要4个,当H=0.7m时,N至少需要3个。由于走道的安装空间有限,因此按照以往设置挡烟垂壁的高度0.5m来设计是行不通的,这时需要增加挡烟垂壁的高度来合理设置排烟口的个数。
本人认为挡烟垂壁的设置高度只要满足最小清晰高度且不影响人员的正常疏散,就可以适当加高挡烟垂壁来减少排烟口的设置个数。根据我国的国民平均身高,本人认为挡烟垂壁底部净高不小于1.9m即可满足人员的正常疏散要求及最小清晰高度的要求,此时排烟口的个数可以减少为3个。对于其他不同净高的走道或室内空间,可以按此进行分析计算。
(2)当走道或室内空间净高及其挡烟垂壁的设置高度相同时,热释放速率越大的场所,Vmax越大,因此在工程实践中,排烟口的个数及挡烟垂壁的设置高度要根据建筑的类型来进行合理设计,不能想当然的照搬。
(3)对于同样的场所,同样的挡烟垂壁高度,走道或室内空间净高越高,Vmax越小,因此在工程实践中,排烟口的个数及挡烟垂壁的设置高度要根据走道或室内空间的净高进行合理设计,不能想当然的照搬。
(4)当走道或室内空间净高较低,比如净高低于2.5m时,此时应该和建筑专业及业主方商讨吊顶的型式,可以考虑做开敞式吊顶,将排烟口设置在吊顶里面来合理设置排烟口的个数及挡烟垂壁的高度。
(5)当机械排烟场所能天然形成一个防烟分区,无需另设挡烟垂壁时,排烟口的Vmax基本上能满足规范要求,此时该场所设置一个排烟口即可。即使如此,当排烟风口中心点到最近墙体的距离小于2倍排烟口的当量直径时,需要根据房间净高来核实单个排烟口的Vmax是否满足规范要求。
在进行实际的工程设计时,对不同的建筑类型,不同的机械排烟场所,不同的走道或室内空间净高,要进行准确的分析计算,才能合理的设置排烟口个数及挡烟垂壁高度来满足新规范及使用要求。
当由于建筑层高的原因,导致室内做封闭式吊顶时净高较低,此时为了满足人员疏散要求,挡烟垂壁的设置高度有限,这样会导致排烟口的个数较多,在空间上无法布置,这种情况下可以考虑做开敞式吊顶,将排烟口设置在吊顶里面来减少排烟口的个数。
当房间无需设置挡烟垂壁时,若排烟风口中心点到最近墙体的距离不小于2倍排烟口的当量直径,一般情况下排烟口只需设置一个即可满足规范要求。
推荐资料:
https://ziliao.co188.com/d62325719.html
0人已收藏
0人已打赏
免费0人已点赞
分享
通风排烟
返回版块13.91 万条内容 · 627 人订阅
阅读下一篇
支吊架安装要求知识点:支吊架安装要求 来源:网络,如有侵权,请联系删除 (1)风管与部件支吊架的预埋件、膨胀螺栓位置应正确无误,用膨胀螺栓固定支吊架时应符合技术条件的规定。砖墙上后期预埋支架,根据风管标高算出支架上表面离地距离,找到正确位置打好洞后将支架埋入洞内用1:2的水泥砂吊架嵌入槽中,用水泥砂浆将槽填平。 (2)支吊架的固定采用以下几种方法:①膨胀螺栓法。本方法适用于规格较小的风管支吊架的固定。本工程支吊架固定大多数采用此法,通过在楼板、梁柱上打膨胀螺栓固定支吊架。②焊接法。本方法适用于风管规格大,使用膨胀螺栓固定不能满足强度时,采用预埋件焊接固定支吊架。支架固定形式见下图。
回帖成功
经验值 +10
全部回复(0 )
只看楼主 我来说两句抢沙发