目前,国内外烟气余热同收装置,有回转式换热器、焊接板
(
管
)
式换热器、热管换热器、热媒式换热器,同时还有有效吹灰或加装程控吹灰装置、加装低压省煤器等,其中以热媒式和热管式为主。热媒式换热器由于运转设备多,设备维护和运转费用高,对系统的要求十分苛刻,在国内应用较少。热管是一种新型、高效的传热元件,其内部是靠工质循环实现热量传递,它的当量热导率可达金属的
103—104
倍。以热管为传热元件的热管换热器较其他型式换热器具有独特的优点,在利用热能、回收废热、节约原料、降低成本等方面,特别适用于中低温的余热回收,广泛应用于锅炉余热回收,取得了明显的节能效果。
热管是一个封闭系统,由管壳、吸液芯和工质组成
(
如图
1
所示
)
。管壳通常由金属制成,两端焊有端盖,管壳内壁装有一层由多孔性物质构成的管芯
(
若为重力式热管则无管芯
)
,管内抽真空后注入某种工质,然后密封。热管利用工质相变的物理过程,以潜热的形式传递热量。当热管的蒸发段被加热时,管内的工质吸收潜热被蒸发,变成蒸汽,压力增大后沿中间通道流向另端,蒸汽在冷凝段接触到冷的吸热芯表面,冷凝成液体并放出潜热;工质在蒸发段蒸发时,其汽液交界面下凹,形成许多弯月形液面,产生毛细压力,液态工质在管芯毛细压力和重力等的同流动力作用下义返同蒸发段,继续吸热蒸发,如此循环往复,工质的蒸发和冷凝便把热最不断地从热端传递到冷端。


利用热管能够方便地在热源与冷源问实现热传递,把若干支路热管组装成一体,中间用隔板把热管的蒸发段和凝结段隔开,形成冷、热介质的流道,把热源中的热量源源不断地传给冷源,这种热管元件的组装体就是热管换热器。
典型的热管换热器,其外形一般为长方体,主要部件为热管管束、外壳、隔板。热管的蒸发段和凝结段被隔板隔开。热管管束、外壳、隔板组成了冷、热流体的流道。隔饭对热管管束起部分支排作用,其主要功能是密封流道,以防止两种流体的相互渗透热管元件的蒸发段和凝结段外壁均加装翅片,其目的是强化整个传热过程;两侧流体均为乖直横掠流动,提高了传热系数。为防止烟气秘尘堵塞,烟气侧翅片间距较大;在空气侧,气流较清洁,为获得较高的翅化系数,肋片间距可取小些。热管管束一般为错列布置,这样可使放热系数提高。热管管束安装位置有水平、倾斜和垂直三种。
从热管换热器结构型式来看,可分为整体式、分离式、凹转式和组合式。
热管换热器与其他形式的换热器比较起来有许多的优点,但最本质的和最独特的有以下几点:
(1)传热性能好:
热管换热器优良传热性能的获得,首先是在两流体侧均方便地实现了翅化,增大了冷热流体的热交换面积,大大减小了两侧的对流热阻,因而强化了整个传热过程;其次,把传统的换热器的交叉流型改为纯逆流流动,在不改变冷热流体人口温度的条件下,增大了该传热过程中冷热流体换热的平均温压;再次,把一侧气体的管内流动改为垂直外掠流动。这三方面的原因可使热管换热器较其他形式的换热器,特别是常规管壳式换热器的传热性能好得多。
(2)冷、热流体两侧的传热面可以自由布置:
热管换热器的传热元件是热管,其蒸发段、冷凝段长度及翅化比按给定的传热量、流体温度、流量以及各流体的性质及清洁程度等各侧独立决定,两侧互不牵连。这就从结构上确保热管换热器能适用于温度、流量及清洁程度相差悬殊的两种流体间的传热,这一特点,其他形式的换热器
(
管壳式、板式、
转式等
)
均不具有。
(3)传热面局部破坏时,能确保两流体彼此不掺混:
热管换热器杜绝流体间掺混现象。在这种换热器中,当一热管元件某一端壳壁损坏时,造成的影响仅仅是该元件失效而停止传热,两种流体仍被元件另一端的壳壁隔开,通过元件壳壁的泄露不会发生
(
除非同一元件的加热段、冷却段壳壁同时损坏,这种情况极其少见
)
,因而能确保流体的品质不致变坏。再加上单根热管元件损坏后更换方便,并不影响换热器整体。因而在流体品质要求严格,冷热流体不能相互污染的情况下进行热交换时,热管换热器自然是理想的换热设备。
(4)热管换热器有较高的防积灰堵灰能力:
热管是烟气在管外壁流动横掠换热,烟气的扰动性加强。再加上热管壁温高,管壁壁温高,管外始终呈干燥状态,因此,也就不会结焦不易粘附烟灰,因而它就能有效地防止堵塞。
(5)热管换热器有较高的抗低温腐蚀的能力:
烟气进人
低温受热面后,其中的水蒸汽可能由于烟温降低或在接触温度较低的受热面时发生凝结。烟气中水蒸汽开始凝结的温度称为水露点。水露点一般比较低,所以一般不在低温受热面发生结露,但如果凝结时可能使受热面金属产生氧腐蚀。
当燃用含硫燃料时,硫燃烧后形成二氧化硫,其中一部分会进一步氧化成三氧化硫。三氧化硫与烟气中水蒸汽结合成硫酸蒸汽。烟气中硫酸蒸汽的凝结温度称为酸露点。它比水露点要高很多。烟气中三氧化硫含量愈多,酸露点就愈高。烟气中硫酸蒸汽本身对受热面的工作影响不大。但当它在壁温低于酸露点的受热面上凝结下来时,就会对受热面金属产生严重腐蚀作用。这种由于金属壁低于酸露点而引起的腐蚀称为低温腐蚀。强烈的低温腐蚀通常发生在低温级空气预热器中空气和烟气温度最低的区域。烟气对受热面低温腐蚀常用酸露点的高低来表示。露点愈高,腐蚀范围愈广,腐蚀也愈严重。其腐蚀速度与金属壁面温度有很大关系,如图
3
所示。

由图
3
可见,随着金属壁面温度的降低,出现了两个严重腐蚀区和两个相对安全区。对于一定的煤种及运行方式,腐蚀曲线也是一定的。对于一般的管式空气预热器采用诸如提高排烟温度和热风再循环以及暖风机提高入口风温等措施,可以避开第一个严重腐蚀区,但是,第一个严重腐蚀区是难以避免的。而对于热管空气预热器,在设计中,可根据锅炉工况特点调整热管加热段和冷凝段的长度,以及调整低温处热管冷、热两段翅片的间距、数量等办法来调整烟气侧与空气侧的热阻比,从而达到控制热管壁温。使烟气侧壁温高于运行工况酸露点温度,而避开硫酸蒸汽的结露。
1)减少换热面积F,缩小换热器的体积。
2)增加换热器的传输热量Q。
3)提高校加热流体的出口温度,这意味替换热器两传热介质之间平均温度差△Tm的减少。
4)降低流体的压力损失△p及减少流体输送功率N,对于F、Q、△Tm及△p(或功率消耗N)等四项日标中,在另外三项一定时即可得出该项目标函数的性能评判准则。
为了使问题简化,对热管换热器进行熵分析,忽略体系对外界的散热。设热流体、冷流体进出热管换热器的温度分别为
t1
′、
t1
″,和
t2
′、
t2
″,传热量为
Q
,比热容为定值。
由热力学第一定律可知:
δq=dh-vdp
由于
δq =Tds
,所以
Tds = dh-vdp
式中:
?ST
为由于温差不可逆传热引起的系统熵增;
?SP
为由于压差不可逆流动引起的系统熵增。
由于热管内工作液体的蒸发温度
Ts
和蒸汽凝结温度
Tc
基本相等,工作液体的汽化潜热和蒸汽的凝结热相等,因而工作液体的蒸发量和蒸汽的凝结量也相等,则工作液体吸收烟气热量使熵的增加和工作蒸汽凝结放热使熵的减少相互抵消,所以△
ST
由以下两部分组成


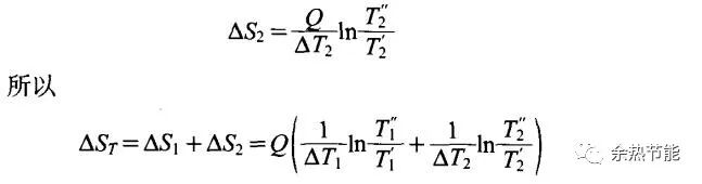
把烟气看作理想气体,把烟气在热管外的流动过程看作多变过程,由状态参数之间的关系可得




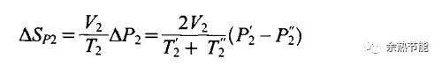
由于蒸汽在热管内的上升过程和凝结液在热管内的下降过程中两者的熵增代数和为零,所以压差流动使系统的熵增为

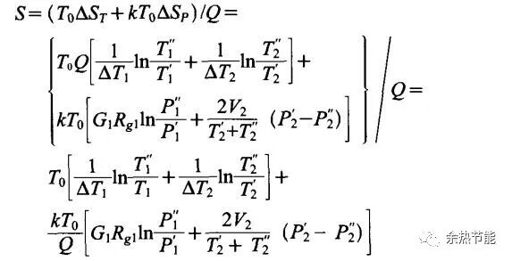
考查一个换热器的传热性能时,经常要看它的经济性。热管换热器的经济性是指其付出一定代价所获得的益,热管换热器的收益是冷流体水所获得的热量
Q(
即节约的热能
)
,付出的代价是消耗在摩擦阻力中和温差传热损失的可用能,即
T0?ST+kT0?ST
。其中:
T0
是环境温度;
k
为流动阻力损失与温差传热损失的折算系数。
设热管换热器总的熵增率为
S
,也就是热管换热器每传递单位热量所消耗的可用能
热管换热器总的熵增率为
S
,其值越小,热管换热器的热经济性越好。因此,可以把系统总的熵增率作为不同形式的热管换热器在不同情况下的经济性评价指标。
热管换热器应用较多的场合是:工业锅炉或工业窑炉用来加热空气的热管式空气预热器及用来加热给水的热管热水器;电站锅炉中用来代替蒸汽暖风器的前置式热管空气预热器及空调制冷中用来回收余热的热管式换热器、热管锅炉、热管蒸发器等。

热管空气预热器是气—气换热器的一个典型代表,它利用锅炉、加热炉等排烟余热、预热进入炉内的助燃空气,不仅可提高炉子的热效率,还可以减轻对环境的污染,因此,热管空气预热器在余热回收利用中得到了非常广泛的应用。
热管空气预热器外形一般为长方体,主要部件为热管管束、壳体和隔板。隔板、壳体内壁和热管束外壁问的空间即为热、冷流体流道,隔板对热管束起部分支撑作用,其主要功能是密封流道,以阻止两种流体相互掺混。
热管元件的蒸发段和凝结段外壁均加装翅片,其目的是强化整个气一气传热过程;两侧气体均为垂直横掠流动,提高了传热系数。但热管空气预热器的管外翅片存在积灰和增大阻力降的问题,目前热管空气预热器的结构较简单,导致其冷热流体问的换热并不充分。

热管余热锅炉与常规余热锅炉相比,前者更具有明显的优越性,其体积紧凑,传热效率高,结构简单,维修方便,更重要的是如果单根热管破坏不影响设备运行,提高了设备长期运行的可靠性。不论是采用高温空气预热器方式还是采用高温热管蒸汽发生器方式,烟气温度可将至
200
℃以下,这对大型加热炉的热回收率的提高有很大意义。
国内外许多加热炉采用了热管余热锅炉和热管空气预热器相结合的流程来回收烟气的高温余热。即首先将高温烟气通过热管余热锅炉降至
500~600
℃温度范围。产生
1.9~3MPa
的蒸汽,降温后的烟气通过空气预热器将空气预热至
250
℃,烟气温度降至
300
℃以下进入热管省煤器,将
105
℃的脱氧水加热至
250
℃左右。烟气温度降至
200
℃以下,经引风机送至烟囱排放。这种流程的优越性在于,热管余热锅炉可以以较少的设备投资回收烟气高温部分的余热,所产生的蒸汽如果可以外销则在极短的时间内收回投资,空气通过预热器可以加热至
300
℃以上,一次能耗可以节约
14
%
---18
%,这是最合算的流程,如果采用蒸汽透平发电,再将背压蒸汽外销,也是一种经济效益很好的方案。热管空气预热器和热管省煤器可以在较低的条件下充分发挥其传热效率高和体积紧凑的特点。

一般工业锅炉上,带有铸铁省煤器,用排出的烟气来预热锅炉的给水。但铸铁省煤器常常会被腐蚀与堵塞。
锅炉上采用热管省煤器,有利于提高加热侧热管管壁温度,从而有利于防止腐蚀与堵塞。另外热管省煤器的体积约为铸铁省煤器的
1/3
,重量约为其
1/2
。目前主要问题是价格还比铸铁省煤器高。
热管换热器性能较好,但要想使热管换热器性能达到最佳,还有较多问题需要解决。
目前限制热管应用的制约因素之一是热管工质的选择,必须根据实际应用环境温度来选择工质,现在还没有一种适合各种工作温度的工质。如果热管换热器运行的环境温度发生变化,热管换热器的效率及可靠性会发生变化。
热管直径、热管长度、翅片的结构参数
(
间距、翅片长度、翅片厚度
)
决定翅片效率和翅化比,对热管换热器的传热及流阻性能影响较大,并涉及换热器的紧凑性、投资和运行费用。
在设计热管时所依据的都是经验,当废气的流量、温度一定时,如何确定热管的直径、翅片高、翅片厚度、翅片间距、热管管间距、热管长度等结构尺寸没有准确的依据。这也影响了热管换热器的应用。
对于灰尘较多的烟气,如其在热管换热器中流动速度过高,虽然能够提高热管的换热能力,但是会加速热管的磨损,且增大烟气流动阻力;速度较小时,热管翅片上易积灰,使热管换热能力下降,严重时堵塞换热器,使其失效。
推荐资料(点击文字跳转):
知识点:热管换热器在烟气余热回收中的应用
全部回复(1 )
只看楼主 我来说两句 抢板凳热管是一个封闭系统,由管壳、吸液芯和工质组成 ( 如图 1 所示 ) 。管壳通常由金属制成,两端焊有端盖,管壳内壁装有一层由多孔性物质构成的管芯 ( 若为重力式热管则无管芯 ) ,管内抽真空后注入某种工质,然后密封。热管利用工质相变的物理过程,以潜热的形式传递热量。当热管的蒸发段被加热时,管内的工质吸收潜热被蒸发,变成蒸汽,压力增大后沿中间通道流向另端,蒸汽在冷凝段接触到冷的吸热芯表面,冷凝成液体并放出潜热;工质在蒸发段蒸发时,其汽液交界面下凹,形成许多弯月形液面,产生毛细压力,液态工质在管芯毛细压力和重力等的同流动力作用下义返同蒸发段,继续吸热蒸发,如此循环往复,工质的蒸发和冷凝便把热最不断地从热端传递到冷端
回复 举报