一

一
道路设计的基本步骤
1、道路是三维空间的实体,路线是道路中线的空间位置
路线平面:路线在水平方向的投影
路线的纵断面:沿道路中线竖直剖切再行展开
中线上任意一点法向切面是道路在该点的横断面
2、道路设计过程中,先确定平面的线形,再进行纵断面和横断面设计
平面线形由直线、圆曲线、缓和曲线三个要素组成
3、线性设计
公路平面线形设计
直线—缓和曲线—圆曲线—缓和曲线—直线
城市道路平面线形设计
直线—圆曲线—直线

4、道路平面线形要素
行驶中汽车的导向轮与车身纵轴之间的关系→汽车行驶轨迹
角度为零→曲率为零→直线
角度为常数→曲率为常数→圆曲线
角度为变数→曲率为变数→缓和曲线
现代道路平面线形正是由上述三种基本线形构成的,称为平面线形三要素。
二
直线
优点
线形直捷,布设方便,行车视距良好,行车平稳
缺点
不能适应地形变化,不便于避让障碍,直线过长容易使驾驶员产生麻痹而放松警惕,发生行车事故,夜间行车时,对向行车灯光眩目不利安全。

01
直线运用
1、直线的最大长度
在城镇及附近或其它景色有变化的地点,大于20V是可以接受的,在景色单调的地点最好控在在20V以内
2、直线的最小长度
当V≥60km/h时,同向曲线的直线最小长度为6V,反向曲线的最小长度不小于2V
3、注意的问题
长直线或长下坡尽头的平曲线 ,必须采取设置标志、增加路面抗滑能力等安全措施
长直线上坡不宜过长 ,直线上的纵坡一般应小于3%
长直线应与大半径凹曲线配合为宜

02
采用长直线线形应注意的问题
1、长直线宜与大半径凹竖曲线组合使用

2、避免“断背曲线”

三
圆曲线
优点
布设方便,能很好地适应地形,避让障碍,与地形配合得当可获得圆滑、舒顺、美观的路线,又能降低工程造价
使行车景观不断变化,使驾驶员保持适度的警惕,增加行车安全性,也可起到诱导行车视线的作用
注意问题
半径不可过小而影响行车安全


01
圆曲线的平面布设
1、圆曲线上技术代号
JD—交点(转角点)
ZY—直圆(圆曲线起点)
QZ—曲中(圆曲线中点)
YZ—圆直(圆曲线终点)

02
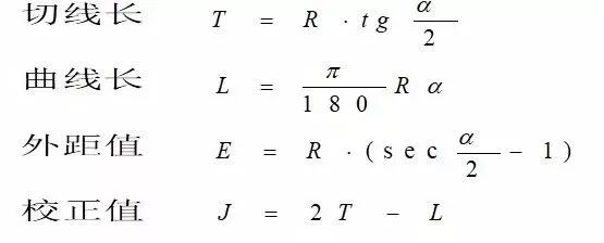
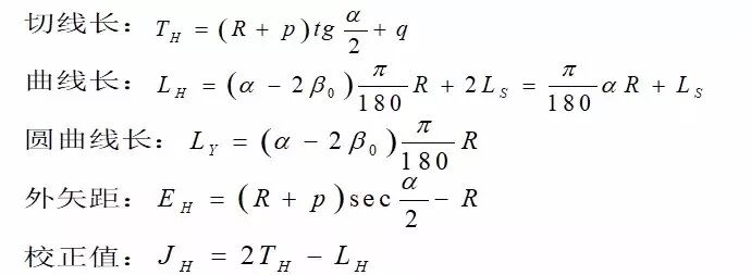
圆曲线的几何要素及主点桩号里程计算
1、几何要素

2、曲线主点桩号里程计算

3、曲线主点桩计算校核

03
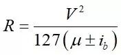
圆曲线半径
1、汽车在圆曲线路段行驶时会产生离心力F

2、曲线半径指标

04
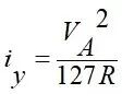
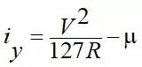
横向力系数μ的取值
1、意义
横向力系数表示单位车重所受到的横向力(离心力)
其值越大对行车越不利
2、取值大小的决定因素
行车安全:确保行车不产生横向滑移
操作方便、行车经济
行车平稳、舒适
3、取值
一般取
为控制值
05
公路圆曲线最小半径
1、三种平曲线最小半径
一般最小半径:通常情况下推荐采用的最小半径值
极限最小半径
能保证按设计速度行驶的车辆安全行驶的最小半径
不设超高最小半径
当路线的半径大到一定值时,即使汽车在曲线的外侧时,也能获得足够的安全性和很好的舒适性

四
缓和曲线
定义
在直线与圆曲线、圆曲线与圆曲线之间设置的曲率连续变化的曲线
特点
易于适应地形,能很好地与汽车行驶轨迹相适应,使线形连续、美观,但缓和曲线计算、布设较繁琐

01
缓和曲线的性质
路线设计符合汽车转弯时的行驶轨迹,插入缓和曲线,使整条曲线的曲率形成一个连续变化的过程。
汽车以等速转弯时,行驶轨迹曲线上任意一点所对应的曲率半径与行驶的距离(弧长)成反比,这一行驶轨迹特性正好与数学上回旋线方程性质相同。
回旋线作为缓和曲线

02
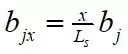
带缓和曲线的平曲线平面布设
缓和曲线中心角

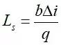
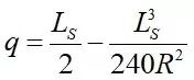
曲线内移值

曲线切线增长值


03
设有缓和曲线的平曲线主点桩技术代号
JD—交点(转角点)
ZH—直缓(第一缓和曲线起点)
HY—缓圆(第一缓和曲线终点)
QZ—曲中(曲线中点)
YH—圆缓(第二缓和曲线起点)
HZ—缓直(第二缓和曲线终点)
04
平曲线几何要素计算

05
平曲线主点桩里程计算
曲线主点桩里程计算

曲线主点桩里程校核

五
曲线超高
定义
为抵消车辆在平曲线路段上行驶时所产生的离心力,而在该路段横断面上设置的外侧高于内侧的单向横坡
作用
用车重产生的向内水平分力来抵消部分离心力,以利于行车安全与稳定
设置要求
当曲线半径小于表2-20或表2-23中规定的不设超高最小半径时,均应设置超高
01
平面曲线实例
1、超高横坡度计算

2、车速的调整
设计车速与实际车速之间的调整
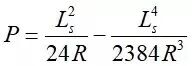
3、超高值计算式

4、超高计算值取值要求
任意半径超高横坡度不得大于极限超高横坡度 图
,又不得小于路拱横坡度图

02
全超高横坡度
公路最大超高横坡度

城市道路最大超高横坡度

03
超高的过渡
平曲线路段超高缓和段的布置

当圆曲线上超高值和缓和段长度一定后,超高缓和应在全长上布设
在设计中应根据超高变化情况,计算出任意断面上路肩两侧边缘及路中点对原设计标高(未加宽前路肩边缘标高)的相对高差,为施工放样提供依据。
04
公路超高设置方式
无中间带的公路
1、超高横坡等于路拱横坡
外侧车道绕路中线旋转,直至超高横坡
2、超高横坡大于路拱横坡
第一种:绕车道内侧边轴旋转
第二种:绕中轴旋转
第三种:绕车道外侧边轴旋转

有中间带的公路超高设置方式
1、绕中间带的中心线旋转

2、绕中央分隔带边缘旋转

3、绕各自行车道中线旋转

05
城市道路超高布置方式
城市道路超高方式应根据地形状况、车道数、超高横坡值、横断面形式、便于排水、路容美观等因素决定
单幅路及三幅路机动车道宜绕中轴旋转;双辐路及四幅路机动车道宜绕中央分隔带边缘旋转,使两侧车行道各自成为独立的超高横断面

六
曲线加宽
加宽值确定
汽车轮迹需要
汽车行驶摆动需要
加宽值计算

加宽值选用规定
当圆曲线半径大于250m时,可不设加宽
曲线路段加宽宜布置在弯道内侧
各级公路的路面加宽后,路基也应相应加宽

01
公路规范对加宽类别选用
高速公路、一级公路、二级公路及设计速度为40km/h的三级公路应采用第三类加宽值。
对不经常通行集装箱、半挂车的公路,可采用第二类加宽值。
四级公路和设计速度30km/h的三级公路可采用第一类加宽值。

02
城市道路加宽值

03
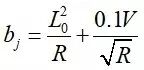
加宽缓和段
1、加宽缓和段的长度
加宽所需要的最小长度
在不设缓和曲线或超高缓和段时,加宽缓和段长度应 按渐变率1:15且不小于20米的要求设置
设置缓和曲线或超高缓和段时,加宽缓和段长度采用与缓和曲线或超高缓和段长度相同的数值
不设缓和曲线,加宽缓和段长度取超高缓和段长度,渐变率不小于1:15,且长度不小于10米
2、加宽过度方式
按直线比列加宽

高次抛物线加宽


七
缓和段设置
缓和段
为了使行车能够安全、平稳、顺利地由直线向曲线、由大半径曲线向小半径曲线行驶所设置的过渡段
设置目的
为消除行车转弯时曲率突变,使行车能从容、顺适地进行曲率变化而设置的曲线缓和过渡段为缓和曲线
为使行车平稳、顺适地进行横坡变化而设置的超高变化过渡段为超高缓和曲线
为适应行车轨迹,顺适地进行宽度变化而设置的加宽过渡段为加宽缓和段
类型
缓和曲线、超高缓和段、加宽缓和段
01
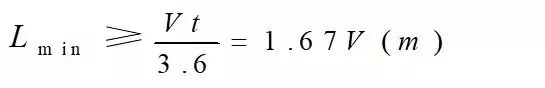
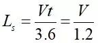
缓和段长度
1、离心加速度变化的缓和长度

2、操纵时间要求缓和段长度

3、超高变化要求缓和段长度

一般根据三方面缓和段长度的计算结果,取其中最长的并按5倍数取整后作为缓和段长度


八
平曲线长度
平曲线最小长度计算
取一般驾驶员能从容操作方向的(左右转动方向)时间为6S

相关规定


◆小偏角时的平曲线长度
当道路转角小于7°时,为防止驾驶员在视觉上产生急弯错觉,而导致操纵失误,应设较长的平曲线
◆相关规定


九
平曲线形的连接
平面线形设计整体上尽可能顺直,选择曲线半径尽可能大些,应与自然地形等高线相适应为宜。
在桥梁、隧道内部与进出口路段和平面交叉口前后路段 ,应采用直线为宜。
长直线尽头不得设置小半径曲线
直线长度L<500m时,最小半径R=L
直线长度L≥500m时,最小半径R=500
一般平面线型设置的转角不宜小于 10°
十
平面视距
定义
为了行车安全,保证驾驶员能随时看到前方一定距离的道路路段,发现道路上的障碍、迎面来车,及时采取制动或避让措施,所必须的是最短路段距离
运用
在平面线形和纵断面线形设计中,都应有足够的行车视距
平面视距分类
停车视距、会车视距、超车视距
行车视距不足主要发生在下述几种场合
◆道路平面上的暗弯,即处于挖方路段的弯道和内侧有障碍物的弯道,见图a
◆纵断面上的凸型竖曲线,见图b
◆下穿式立体交叉的凹型竖曲线,见图c

视距相关规定

公路视距的运用
高速公路和一级公路满足停车视距的要求
二、三、四级公路,应满足会车视距的要求,在工程特别困难或受其他限制地段,可采用停车视距,但必须采取分道行驶措施
对向行驶的双车道公路,应根据需要并结合地形,在适当的距离内设置具有超车视距的路段
积雪冰冻地区的道路,停车视距应适当增长
以大型车为主的公路,应按货车停车视距进行检验

弯道内侧视距的保证
清除弯道内侧一定范围的障碍物
最大横净距的确定
解析法
几何法
视距包络图

开挖视距台
计算出净横距以后,按比例在各桩号的横断面图上画出视距台,以供施工放样。

十一
路线平面图绘制步骤
1、确定比例
公路工程一般山岭地区采用1:2000,丘陵平原地区采用1:5000。
2、城市道路一般采用1:1000或1:500。
3、根据直线、曲线、转角一览表,按比例绘制道路中线图。
4、在道路中线图上标注出起点、里程表桩、百米桩、曲线主点桩、桥涵与人工构造物桩号位置。
5、按比例勾绘道路中线左右各100~200m范围内的地形等高线,标注地物、地貌、建筑物与构造物位置和名称。
6、对于城市道路平面图,应在现状地形图上,绘出道路设计红线、中线、行车道与人行道的分界线,并绘出分隔带、绿化带、交通岛、沿街建筑及出入口位置与外形。
7、整理、修正(等高线、地物、建筑物、构筑物等)图纸

内容源于网络,旨在分享,如有侵权,请联系删除
相关资料推荐:
https://ziliao.co188.com/d62345805.html
知识点:道路平面设计
0人已收藏
0人已打赏
免费4人已点赞
分享
道路工程
返回版块15.09 万条内容 · 689 人订阅
回帖成功
经验值 +10
全部回复(0 )
只看楼主 我来说两句抢沙发