乘坐火车经过弯道时我们会感受到火车降速、车体倾斜,今天就带大家走进我国弯道最急铁路线,探究轨道车辆在经过弯道时的相关知识。

列车缓缓经过孔庄站
太焦铁路有段区间的线路依山而建,多为“U”字形,孔庄站就坐落于一个大“U”字的底部,被称为我国弯道最大的铁路线。这里三面环山一面临河谷,是中国铁路郑州局集团有限公司下属的四等车站。站区旁边有个孔庄村,车站的名字便来源于此。

孔庄
作为一条晋煤外运的重要通道,这里每天行驶的都是5000吨的运煤火车,一天有70多对,铁路养护人每天的任务就是对管辖的设备检查养护,保证铁道上直线地段的钢轨处于平直状态,弯道地段的钢轨圆顺,标准以毫米计算,为在铁路上行驶的火车提供平坦畅通的大道。
孔庄养护人养护的铁路有17公里,这17公里铁路基本上都是弯道,直线地段只有1.6公里,而且坡大,几千吨的火车在弯弯曲曲的铁道上蛇形,钻洞过桥,铁道上面的钢轨、枕木损坏程度极快,几何尺寸变化快。一旦超出标准,就会影响到火车行驶安全。
在修筑铁路时,常常因地理环境和工程造价等因素的影响,在线路中设置铁路弯道,但弯道设置中,需要应用力学知识对弯道的几何参数进行分析,如果设计不当,会对行车安全产生影响,甚至带来严重的后果。
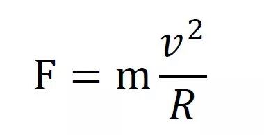
机车车辆在曲线上行驶时,由于惯性离心力作用,将机车车辆推向外股钢轨,加大了外轨钢轨的压力,存在脱轨的可能。
质量为m的列车以速度v沿半径R的圆曲线运行时,产生的离心力:

因此离心力的大小与车辆质量m、行车速度v和铁路曲线半径R密切相关。
为了平衡列车曲线行驶中所产生的离心力,需要把曲线外轨适当抬高,使机车车辆的自身重力产生一个向心的水平分力,以抵消离心惯性力,达到内外两股钢轨受力均匀和垂直磨耗均匀等,满足旅客舒适感,提高线路的稳定性和安全性。

列车曲线通过受力图示
外轨超高是指曲线外轨顶面与内轨顶面水平高度之差。在设置外轨超高时,主要有外轨提高法和线路中心高度不变法两种方法。外轨提高法是保持内轨标高不变而只抬高外轨的方法。线路中心高度不变法是内外轨分别各降低和抬高超高值一半而保证线路中心标高不变的方法。
曲线超高的大小由列车通过时离心力的大小确定。由于离心力与行车速度的平方成正比,与曲线半径大小成反比,因此曲线半径越小,行车速度越高,则离心力越大,所需设置的超高就越大。
为了保证列车的行驶安全,在铁路的设计和建造时,国家《修建性详细规划》对不同速度等级的铁路规定了车辆可以安全通过的圆曲线的最小半径,高速铁路和平原地区干线铁路一般比较平直,用较大的曲线半径;山区铁路、工厂支线、车辆段道岔的咽喉区、编组站、城市地铁等受地形的制约较大的地段,只能使用较小的曲线半径,列车必须限速通过。
火车从直道进入弯道时,为了行车安全,必须经过一段缓冲轨道,使得曲率连续地增加,以保证火车的向心加速度不发生跳跃性的突变,所以缓和曲线在弯道设计中必不可少。在缓和曲线范围内,外轨超高由零递增到或递减到圆曲线上或直线的超高量,使向心力逐渐增加或减少与离心力的增减相配合。

缓和曲线
铁路曲线选型由于受到地形、特殊地物的影响,采用半径小于300米的曲线来绕避障碍,这类曲线在日常工作中称为小半径曲线。
在小半径曲线,为使列车顺利通过曲线而不致被楔住或挤开轨道,减小轮轨间的横向作用力,以减少轮轨磨耗,轨距要适当加宽。列车行进在曲线上时,由于前后轮距限制,当前轮在受外轨向内侧的挤压力后,车轮会沿着外侧轨道进行行进,此时列车纵轴线与曲线中心线不在一条线上,而列车转向架是一个整体,不会随着线路的弯曲而变形,因此需要轨道加宽后,后轮在轨道才有一定的活动量,跟随着前轮前进。
加宽轨距是将曲线轨道内轨向曲线中心方向移动,曲线外轨的位置则保持与轨道中心半个轨距的距离不变。曲线轨道的加宽值与机车车辆转向架在曲线上的几何位置有关。

小曲线半径轨距加宽
《铁路线路维修规则》规定:新建、改建及线路大修或成段更换轨枕地段按下表规定的标准进行曲线轨距加宽。
曲线轨距加宽表
曲线半径 |
加宽值mm |
轨距mm |
R≥350m |
0 |
1435 |
350>R≥300m |
5 |
1440 |
R<300m |
15 |
1450 |
3.列车通过弯道时的舒适度标准
对实际曲线来说,曲线实际超高h是根据速度v得到的,曲线实际超高一旦设置即为固定值,而通过曲线的各种列车速度是不相同的,或大于平均速度,或小于平均速度,即不可能使所有列车产生的离心力完全得到平衡,因此车体仍承受一部分未被平衡的离心力,车内有质量的人和物就会产生未被平衡的离心力。当超高h形成的重力分量不足以平衡车辆系统受到的离心力时称为欠超高,当超高h形成的重力分量大于离心力时称为过超过。
我国《轨道机车动力学性能试验鉴定方法及评定标准》(TB/T 2360-93)及《高速试验列车动力车强度及动力学性能规范》(95J 01-L)中规定,机车以线路的不同限制速度通过不同半径的曲线区段时,车体未被平衡的离心力加速度应符合

为了降低列车在曲线上运行时产生未被均衡的离心加速度,并在不影响乘坐舒适性的前提下提高通过曲线的速度,意大利、瑞典、西班牙等国家相继开发了摆式列车。
内容源于网络,旨在分享,如有侵权,请联系删除
相关资料推荐:
https://ziliao.co188.com/d62772166.html
知识点:探究我国弯道最急铁路线及弯道知识
0人已收藏
0人已打赏
免费1人已点赞
分享
铁路工程
返回版块6.76 万条内容 · 130 人订阅
阅读下一篇
什么是道岔?这个解释又美又浪漫……什么是道岔? 学术派是这样解释的 道岔( Switch and crossing)是一种使机车车辆从一股道转入另一股道的线路连接设备,通常在车站、编组站大量铺设。有了道岔,可以充分发挥线路的通过能力。 上述道岔示意图有一个会动的红色部分(尖轨)。当尖轨和基本轨留有缝隙的时候,列车轮缘就可以从缝隙中穿过,按照外侧轨道引导的方向行进。当两根轨道密贴时,轮缘就被引导到靠内侧的轨道方向行进。操纵转辙机械使尖轨移动位置,就可以对列车运行方向做控制。
回帖成功
经验值 +10
全部回复(0 )
只看楼主 我来说两句抢沙发