平均自由程
知识点:房间吸声量
为便于分析研究,通常把房间内的声场分解成两部分:从声源直接到达受声点的直达声形成的声场叫直达声场;经过房间壁面一次或多次反射后到达受声点的反射声形成的声场叫混响声场。声音不断从声源发出,又经过壁面及空气的不断吸收,当声源在单位时间内发出的声能等于被吸收的声能,房间的总声能就保持一定。若这时候房间内声能密度处处相同,而且在任一受声点上,声波在各个传播方向作无规分布的声场叫扩散声场。
一些大的厅堂里欣赏音乐,常产生有“余音绕梁,三日不绝”的感受,这就是混响造成的效果。

由房间壁面反射引起的混响声场

室内直接和间接声波的复合
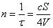
平均自由程
设混响声场是理想的扩散声场。在室内声场中,声波每相邻两次反射所经过的路程称作自由程。室内自由程的平均值称为平均自由程:

式中:V为房间容积;S为房间内表面积。当声速为c时,声波传播一个自由程所需时间τ为:

故单位时间平均反射次数n为:

平均吸声系数
当声波在室内碰到壁面(包括天花板与地板)时,如果壁面并非刚性,它对声波具有一定的吸声能力,那么一部分入射声波就要被壁面吸收,被壁面所吸收的能量与入射能量的比值称为壁面的吸声系数αi。
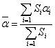
设对应于某吸声表面积Si的吸声系数为αi,如果对室内所有的吸声表面的吸声系数进行平均,则可得到室内平均吸声系数为:

吸声量
吸声系数反映房间壁面单位面积的吸声能力,材料实际吸收声能的多少,除了与材料的吸声系数有关外,还与材料表面积大小有关。吸声材料的实际吸声量按下式计算,单位是m?:

房间中的其他物体如家具、人等,也会吸收声能,而这些物体并不是房间壁面的一部分。因此,房间总的吸声量A可以表示为:

式中第一项为所有壁面吸声量的总和,第二项是室内各个物体吸声量的总和。
直达声场
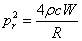
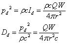
设点声源的声功率是W,在距点声源r处,直达声的声强为:

式中:Q为指向性因子。
距点声源r处直达声的声压pd及声能密度Dd为:

相应的声压级:

混响声场
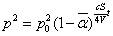
设混响声场是理想的扩散声场。自声源未经反射直接传到接收点的声音均为直达声。经第一次反射面吸收后,剩下的声能便是混响声。故单位时间声源向室内贡献的混响声为:

这些混响声在以后的多次反射中还要被吸收。
设混响声能密度为Dr,则总混响声能为DrV,每反射一次,吸收
,每秒反射cS/4V次,则单位时间吸收的混响声能为:

当单位时间声源贡献的混响声能与被吸收的混响声能相等时,达到稳态,即:

因此,达到稳态时,室内的混响声能密度为:

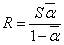
设

式中:R为房间常量,则:

由此得到,混响声场中的声压pr?为:

相应的声压级Lpr

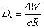
总声场
把直达声场和混响声场叠加,就得到总声场。总声场的声能密度D为:

总声场的声压平方值p?为:

总声场的声压级:


室内声压级计算图表
在Q=1的情况下,即声源远离壁面位于房间的中央时,我们以R=100㎡的曲线为例,从图上可以看出,当离声源中心的距离r在1米以内时,声压级与房间是否存在没有多大区别。也就是说,声源放置在房间内测出的声压级与放置在露天广场上时测出的声压级相差不到3分贝。
但是当离声源中心的距离r在6米以外时,声压级就基本上与距离无关了,这时声压级主要就由房间常数R决定。
由此可知,离声源近时,直达声场占主要地位。当离声源中心的距离逐渐增大时,房间的影响逐渐增强。当距离增加到一定程度时,房间内的混响声场占主要地位。图中的R=∞直线即为自由场中直达声随距离的衰减。
以R=1000㎡的曲线为例,从图中可以看出,假定无指向性声源放在两壁面边线的中心,即Q=4,当离声源中心的距离在4米以内时,声压级与声源放置在室外露天相差不到1分贝,即以直达声为主。当离声源中心的距离足够远时,如r=10米,声压级基本上与距离无关,这时主要由房间常数R确定,即混响声占主要成分。对于同一位置,随着R的增大声压级将逐渐降低。
混响半径
在声源的声功率级为定值时,房间内的声压级由受声点到声源距离r和房间常数R决定。当受声点离声源很近时,Q/4πr?远大于4/R,室内声场以直达声为主,混响声可以忽略;当受声点离声源很远时,Q/4πr?远小于4/R,室内声场以混响声为主,直达声可以忽略,这时声压级Lp与距离无关。
当Q/4πr?=4/R时,直达声与混响声的声能相等,这时候的距离r称为临界半径,记作rc:

当Q=1时,临界半径又称为混响半径。
室内声衰减和混响时间
室内声能的增长和衰减过程
当声源在房间内辐射出声波时,声波在空间传播,当遇到界面时,部分声能被吸收,而剩余的部分被反射。在声波连续传播时,声波会第二次、第三次以至于更多次地被吸收和反射,这样在房间内就形成了一定的声能密度。
一个声功率恒定的声源在房间内开始发声,不断辐射出声能后,由于声波被限制在房间内传播,因此房间内的声能逐渐累积起来,各处的声能密度随时间逐渐增大。但是当声波在房间中传播时,由于壁面和空气的吸收作用,声能不断地被吸收。很明显,声能密度愈大,沿一定方向传播的声强愈强,被吸收掉的声能也就愈多。由于单位时间内从声源发出的声能是恒定的,当声能密度随时间增大时,被吸收掉的声能就逐渐增多,可供累计的声能也就逐渐减少,声能密度随时间的增加相应地愈来愈慢。最后,当声源发出的声能等于被吸收掉的声能时,声能密度就达到了稳定的状态。如图左侧曲线。从理论上讲,达到稳定的状态要经过“无穷长的”时间,实际上从图看出,只要经过1~2秒钟就与稳定状态很接近了。

室内声音因吸收而衰减的过程
1——增长过程;2——稳态过程;3——衰减过程;
a——吸声状况差;b——吸声状况中等;c——吸声状况好。
与此相类似,当室内声场已达到稳态时,突然关闭声源,房间内的声音并不立即停止,需要延续一段时间,声能逐渐衰减直到实际听不见时为止。这种声音的延续现象叫做混响。如图右侧曲线。很明显,壁面和空气的吸收作用愈差,声强愈不容易衰减,混响的现象也就愈显著。
房间内声音的增长过程、稳定状态和衰减过程可以用图形象地表示出来。图中实线表示房间内表面反射很强的情况。在这种情况下,在声源发声后,很快就达到较高的声能密度并进入稳定状态。
这种声能密度增长过程的长短与室内吸声的情况有着密切的关系,吸声作用愈强,这种增长过程就愈快。当声源停止发声,声音将比较慢地衰减下去。实线表示房间内反射很强时,声能密度衰减的过程;虚线则表示房间内表面的吸声量增加到不同程度的情况,不难看出,房间内吸声作用愈强,声能的衰减过程(混响过程)也愈短。
混响时间
在混响过程中,把声能密度衰减到原来的百万分之一,即衰减60dB所需的时间,定义为混响时间。
1. 只考虑壁面吸声时
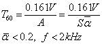
W.C.Sabine通过大量实验,首先得出混响时间T60的计算公式(即Sabine公式):

Sabine公式的意义是极其重要的,但在使用过程中,当总吸声量超过一定范围时,其结果将与实际有较大的出入。研究表明,只有当室内平均吸声系数小于0.2时,计算结果才与实际情况比较接近。
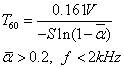
在1929-1930年间,有几位声学专家用统计声学的方法,分别独立地导出了混响时间的理论公式,其中最具代表性的是C.F.Eyring公式。
假定室内为扩散声场,室内各表面的平均吸声系数为
。设在时刻t=0时,声源突然停止,这时室内的平均声能密度为D0,声波每反射一次,就有部分能量被吸收。在经过第一次反射后,室内的平均声能密度为

经过n次反射后的能量即为

若每秒钟的反射次数为cS/4V,因此,经过时间t后室内平均声能密度为:

据扩散声场的性质,平均声能密度与有效声压的平方成正比,所以有:

根据混响时间的定义,即声压级降低60dB所需要的时间,从上式可求得:

若取c=344m/s,则上式为:

这就是Eyring公式。但该式只考虑了房间壁面的吸收作用,而实际上,当房间较大时,在传播过程中,空气也将对声波有吸收作用,对于频率较高的声音(一般为2kHz以上),空气的吸收相当大。这种吸收与频率、湿度、温度有关。
2. 考虑空气和壁面吸声时
声波在传播过程中,考虑到空气吸收,声强的衰减具有如下形式:

式中,m为衰减系数,如果t秒内传播了x米距离,即x=ct,则:

所以混响时间为:

当
时,

衰减系数m
衰减系数m与湿度和声波的频率有关,随着频率的升高而增大。低于2kHz的声音,m可以忽略。
1. 声波能量的衰减
声波在均匀介质中传播,其振幅和声强等将随着离开声源的距离增大而衰减,其衰减的原因:
一是由于声波的扩张;
二是出于声能被吸收。
前者指的是除平面波外的其它声波自声源向四周辐射时,由于波阵面的面积随着传播距离的增加而扩大,使得单位面积上通过的声能减少。后者指的是由于真实气体(如空气)的粘滞性、热传导和分子驰豫现象等原因,使声能转化为其它形式的能量,从而使声强不断衰减。

平面波声强衰减示意
现以平面波为例,讨论声能被吸收的规律。
设x处的声强为I,经过△x距离后声强衰减为(I+△I),△I为声强的增量,因系衰减,故△I为负值。不难理解声强的增量△I与声强I 的大小以及声波传播距离△x成正比关系。即

或写成

式中之所以将比例系数取为2α,是为了便于计算声压衰减系数。
当△x→0时,有如下表达式:

式中I0为x=0的声强。则

故在x处的声强为:

上式又可写成:

则可求出x处的声压为:

式中,α称为声压衰减系数,2α(=m)称为声强衰减系数。
由x处的声强可知,声强在空气中衰减的声强级数A为

因此声强衰减系数m为

若取x=100米,则有

式中:m为反映空气本身吸收声能的衰减系数,A为声波在空气中每传播100米声压级衰减的分贝数。
相关推荐链接:
0人已收藏
0人已打赏
免费1人已点赞
分享
电气工程原创版块
返回版块2.2 万条内容 · 596 人订阅
回帖成功
经验值 +10
全部回复(0 )
只看楼主 我来说两句抢沙发