知识点:等效吸声面积
|
01 |
为什么得做吸声处理? |

直达声场和混响声场示意
|
02 |
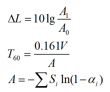
估算吸声内衬对混响声场的降噪量 |

其中 A1 是处理后的等效吸声面积,A0 是处理前等效吸声面积(等效吸声面积 A 的公式这里采用了米林顿公式【2】,因为对于各区域的吸声系数差异较大的房间,它比传统赛宾公式更符合工程实际),V 是室内容积,构件面积 S 和吸声系数 α 的下标 i 是为了标识该面积或系数属于哪个构件,比如普通厂房有壁面、天花、地板、门、窗、吸声体等吸声系数不同的区域。吸声处理后的等效吸声面积越大,混响声场降噪量越高,混响时间越短。
|
03 |
厂房吸声处理与设备隔声的搭配 |
厂房车间良好的吸声处理可以减弱车间内的混响回声,而车间内的噪声源在工作区产生的直达噪声需要其他降噪方法来处理,这些方法可以回看专题的前篇(噪声控制-设备隔声、 管道隔声)。
相关推荐链接:
1、某11252平方米七层三甲医院二期病房楼初步设计cad图纸含每层面积
2、用地总面积26193.2平米居住户数76户某镇三角带居住小区规划总平面图CAD
0人已收藏
0人已打赏
免费1人已点赞
分享
电气工程原创版块
返回版块2.2 万条内容 · 596 人订阅
阅读下一篇
吸声系数、降噪系数及吸声的基本原理知识点:降噪系数 吸声是声波撞击到材料表面后能量损失的现象,吸声可以降低室内声压级。描述吸声的指标是吸声系数α,代表被材料吸收的声能与入射声能的比值。理论上,如果某种材料完全反射声音,那么它的α=0;如果某种材料将入射声能全部吸收,那么它的α=1。事实上,所有材料的α介于0和1之间,也就是不可能全部反射,也不可能全部吸收。 不同频率上会有不同的吸声系数。人们使用吸声系数频率特性曲线描述材料在不同频率上的吸声性能。按照ISO标准和国家标准,吸声测试报告中吸声系数的频率范围是100-5KHz。将 100-5KHz的吸声系数取平均得到的数值是平均吸声系数,平均吸声系数反映了材料总体的吸声性能。
回帖成功
经验值 +10
全部回复(0 )
只看楼主 我来说两句抢沙发