土木在线论坛 \ 电气工程 \ 电气工程原创版块 \ 混响室吸声系数大于1的原因分析

混响室吸声系数大于1的原因分析

发布于:2022-11-10 15:48:10 来自:电气工程/电气工程原创版块 [复制转发]

知识点:吸声系数

声学设计选用吸声材料时,需要查看相关材料的混响室吸声报告。 混响室吸声测量的是声波无规入射时的平均吸声系数,这与实际工程中声波的入射方式较为接近,且不能用其它方法替代。 关于混响室吸声报告存在两个问题: 一是强吸声材料的混响室吸声报告某些频率的吸声系数经常有大于1的现象。 二是同一材料的吸声报告在不同混响室的测量值有时差别很大, 致使测量结果不具有相互验证性。 60年代初,ISO为了制定混响室法测量材料吸声系数的规范,对混响室进行了两次巡回测量(70年代国内也进行过类似的测量)[1]。 从图1、2可以看出,不同混响室间吸声测量的最大偏差超过50%。

图片
    
分析这个问题之前,首先需要认真梳理一下混响时间的计算公式和规范《声学 混响室吸声测量》(GB/T 20247-2006/ISO 354:2003):

一、几个混响时间计算公式的梳理

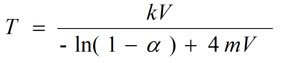
1.赛宾公式
赛宾基于空间声场为扩散场(混响场)、室内的吸声面均匀分布等的假设,推导出混响时间公式为:
图片(1)
式中 T为房间混响时间;s;k为房间常数;V为房间容积,m3;S为房间总表面积,m2;α为房间材料的平均吸声系数。

房间常数k的计算公式:k=55.3/c,式中c为声音在空气中的传播速度,m/s。温度在15℃到30℃范围内,c值可按公式c = 331.45 + 0.6t计算,c为空气中声速,m/s; t为空气温度,℃。当温度在20℃(我国工程上常温为20℃)时,可以计算出k≈0.161。

2.伊林公式
    伊林基于扩散声场理论,对赛宾公式进行了修正,其混响时间公式为:
图片(2)
3.赛宾公式和伊林公式的空气吸收修正
赛宾公式和伊林公式都只考虑了室内表面的吸声作用。对于频率较高的声音(2000Hz以上),室内空间较大时,空气也将有很大的吸声作用。考虑空气的吸声作用,其修正公式分别为:
赛宾修正公式:图片(3)
伊林-努特生公式:图片(4)
式中m为房间的声强衰减系数,m-1

需要说明的是,不管是赛宾公式和伊琳公式都是基于扩散声场的假定,扩散声场要求声场中任一点能量密度相等(即声能均匀分布),而且在各个传播方向做无规则分布。而实际厅堂中完全扩散声场是很难得到的。

二、国家标准的混响室吸声测量
参照《声学 混响室吸声测量》GB/T 20247-2006/ISO 354:2003,其混响时间计算公式采用的是赛宾修正公式
1.空场混响室的吸声量A1(单位:m2),计算公式为:
图片(5)
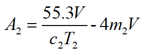
2.放试件后混响室的吸声量A2(单位:m2),计算公式为:
图片(6)
3.试件吸声量AT(单位:m2),计算公式为:
图片(7)
4.吸声系数αs的计算公式为:
图片(8)
式中 S为试件面积,m2

三、赛宾吸声系数大于1的原因分析

混响室法赛宾吸声系数大于1的原因主要是由于赛宾公式的准确度、扩散、边缘效应、规范计算公式的简化等造成的。

1.赛宾公式的准确度
采用计算结果更准确的伊林-努特生公式进行混响室吸声测量,和赛宾修正公式进行对比分析。我们把称为赛宾公式中的吸声系数称为赛宾吸声系数αs,把称为伊林-努特生公式中的吸声系数α E 称为伊林吸声系数。其相应的公式为:
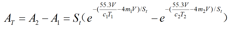
1.空场混响室的吸声量A1(单位:m2),计算公式为:
图片(9)
式中 St为混响室总表面积,m2

2.放试件后混响室的吸声量A2(单位:m2),计算公式为:
图片(10)

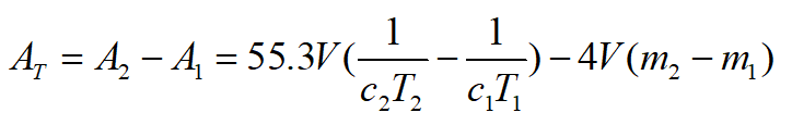
3.试件吸声量AT(单位:m2),计算公式为:
图片(11)

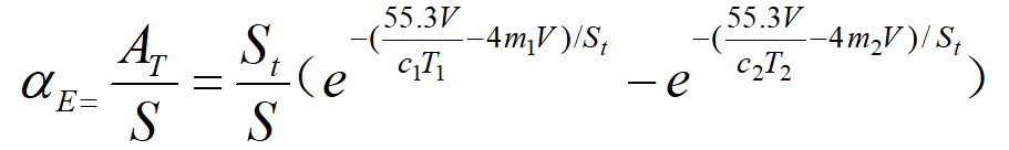
4.吸声系数αE的计算公式为:
图片(12)
以某剧院座椅的混响室吸声测量为例,分别采用赛宾修正公式和伊林-努特生公式进行计算,可以得出赛宾吸声系数αs和伊林吸声系数αE,其对应关系见列表1。可以看出αE要比αs略小,而且频率越高差别越大。伊林吸声系数αE是不可能≥1的(因为0和负数是没有对数的),这也符合材料吸声系数的要求,即材料的吸声系数介于0~1之间。而赛宾公式αs的则没有这个限制,是可以≥1的。

表1 赛宾吸声系数αs和伊林吸声系数αE的混响室吸声测量对应关系
图片 声学设计进行厅堂音质计算时通常采用伊林-努特生公式,混响时间的计算结果与实测数据比较接近。

2.材料的边缘效应

材料吸声系数随单位面积的周长长度的增加而增加的现象可以定性地解释为声波在材料边界处发生绕射的结果, 称为边缘效应。边缘效应类似于一个孔洞产生的涡流现象,涡流的面积要比孔洞的实际面积要大(见图3)。这里需要说明的是,边缘效应一般是指材料的周边用非吸声材料封闭后仍然存在的附加吸收,而不是指材料边界处由于材料本身的厚度引起的面积的增大所产生的吸收。但这一因素容易控制,实验时用一些反射材料遮挡或混响室表面齐平即可解决。由于材料的边缘效应显然会影响到试件附近的声场,为此要求试件应做成的宽度与长度之比为0.7~1的矩形是必要的,即同样面积的材料尽量减少其周长的长度。
图片
图3 涡流

赵启元等[2]针对50mm厚玻璃棉+不同空腔,采用地下和地上安装两种不同边缘效应对吸声系数的影响分析,可以看到在高频2000 Hz以上时,地下安装的吸声系数接近于1,而地上安装的吸声系数均高于地下安装,最大差值可达到 0.12。而国内混响室吸声测试多采用地上安装的方式,而实际工程中材料多采用密缝的安装方式相当于混响室地下安装的方式,因此材料的吸声报告在2000Hz以上的高频可能存在吸声系数偏大的情况。

初略计算非吸声材料封闭的影响:材料的测试样品尺寸按3×4=12m2计算,则周长为14m。材料本身的吸声系数取0.5,则材料样品增加的吸声量为12×0.5=6m2。材料的边缘厚度按200mm(侧边采用硬板密封)考虑,材料边缘硬板的吸声系数取0.01,材料边缘增加的吸声量为14×0.2×0.01=0.0028m2,约占材料本身吸声系数的0.046%,是可以忽略不计的。
图片
图4 50mm玻璃棉地下50mm空腔安装示意图
图片
图5 50mm玻璃棉地上50mm空腔安装示意图
图片
图6 50mm厚玻璃棉+50mm空腔不同安装方式的吸声系数

3.放试件的混响室声场不够扩散

芮元勋、蒋国荣[3]认为:混响室法吸声系数测量过程中,当放入吸声材料后声场为非扩散声场,则材料吸声系数与混响时间的关系不符合赛宾公式的关系。对此,可以通过声场计算机模拟建立材料吸声系数与混响时间的对应关系。模拟中,首先建立混响室的三维模型,并根据实际测量条件设置吸声材料的面积和位置,当材料取不同的吸声系数α0时可模拟得到相应的混响时间,由此得到混响室中材料吸声系数α0与混响时间的关系。而这种关系并不要求声场为扩散场,因而较赛宾公式更符合混响室中放置吸声材料后的声场条件。由于混响室中放置吸声材料后声场的扩散受到影响,而此时采用赛宾公式计算的材料吸声系数较其实际值偏高。被测材料吸声系数越高,面积越大,则混响室中各表面吸声性能越不均匀,声场扩散度越差,因而采用标准混响室法测量得到吸声系数的偏差将增加。

4.规范计算公式的简化

需要说明的是:吸声系数αs的计算公式(8)是经过简化处理的。混响室的总表面积可以分为两部分:S(试件面积)、S(除了S的其余混响室表面积)。
图片
式中α1为混响室表面的吸声系数。

S取3×4=12m2α1取0.01,则Sα1=0.012,比较小。
忽略后即为:图片,得出图片
虽然比较小,也会导致吸声系数αs略微偏大。



相关推荐链接:

1、常用建筑材料吸声系数表

2、500kV电抗器振动和过热降低



全部回复(0 )

只看楼主 我来说两句抢沙发
这个家伙什么也没有留下。。。

电气工程原创版块

返回版块

2.2 万条内容 · 598 人订阅

猜你喜欢

阅读下一篇

声学照相机在多功能半消声室中的应用

知识点:多功能消声室 声学照相机在多功能半消声室中的应用 前言

回帖成功

经验值 +10