土木在线论坛 \ 电气工程 \ 供配电技术 \ 声强到底是什么?

声强到底是什么?

发布于:2022-11-10 14:59:10 来自:电气工程/供配电技术 [复制转发]

知识点:声强

声学测量最基本的参量是声压,但除了声压之外,还经常测量声强、声功率和声品质等参数。声压是标量,但声强是矢量,因此,声强可提供声压不能提供的一些信息,且声强可用于现场测量,不受外部噪声的影响。在这主要介绍以下与声强相关的内容:

1.    声强的定义;

2.    声强探头的构造;

3.    声强的测量原理;

4.    声强的应用。


1. 声强的定义

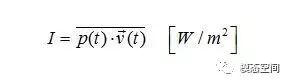
声强定义为单位时间内,通过与声波前进方向垂直的单位面积上的声能,单位为W/m2。声强是矢量(有大小和方向),也可以简单地认为某点的声强为该点的瞬时声压与质点瞬时速度的时间平均矢量积。

图片

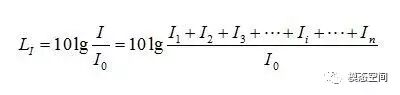
与声压级相对应,声强也存在声强级。声强级是声强与参考声强的相对量度,定义为

图片

其中I为测量的声强,I0=10-12W/m2为基准声强。


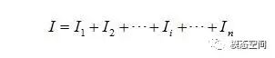
当声场中存在多个相互独立的声源时,各声源同时发出来的声强可以按代数相加,即

图片

此时,总声强级为

图片

在声学测量中,一般是测量声压(或声压级),这是因为声压测量的原理简单,方法简便,测量仪器也比较成熟,用声压或声压级可以计算得到声强/声强级和声功率/声功率级。但是声压测量受环境影响(背景噪声/反射声等)较大,往往需要进行修正,有时还需要在特定的声学环境(如消声室、混响室)中进行测量。


相比较于声压测量而言,声强测量具有以下特点:声强测量具有方向性,受现场影响比较小;声强测量及其频谱分析对噪声源的研究有着独特的优越性;能够有效地进行现场测量,解决许多现场声学测量问题;能够进行现场声功率测量等优点,因此声强成为声学研究的一种有力工具。在数字信号处理技术和FFT频谱分析仪问世后,旧的测量技术基本上被抛弃,一种基于两个相同传声器的声强测量技术得到了完善与发展,被广泛应用于实际测量中。


2. 声强探头的构造

声强测量需要使用声强探头,声强探头又有两种:P-V探头(声压-粒子速度探头,Pressure-(Particle) Velocity probe)和P-P探头(声压-声压探头,Pressure-Pressure probe),如图1所示。由于声强大小等于声压与质点速度的乘积,因此,P-V探头就是利用测量声压和粒子的振动速度来测量声强。P-V探头由1只声压传感器和1只速度传感器组成。

图片
图片

P-V探头

P-P探头

图1 两类声强探头


1954年提出用测量声压梯度方法测量质点速度,从而使声强测量获得了实际应用,而P-P探头正是基于这种原理来测量声强的。P-P探头由一对精心挑选的幅值和相位匹配的传声器组成,两个传声器之间存在间距,如图2所示。探头具有明显的方向性,测量时通常使声音是从1#传声器向2#传声器传播。这种声强探头由于两个传声器是相向对立的,因此,也称这种声强探头为对立式探头。

图片

图2 P-P探头结构示意图


使用对立式声强探头时,如果测量的声音从不同的方向传播过来,则在倍频程图中采用不同的颜色表示。倘若声强测量软件使用test.lab,且声音是从1#传声器传播到2#传声器,则在声强的倍频程图中用绿色表示,如果声音传播方向相反,则用红色表示,如图3所示。

图片

图3 声强的1/3倍频程图


两个传声器之间安装不同的隔离柱(Spacer)决定了声强测量的频率范围,通常隔离柱越短,频率范围越宽,但下限频率越高。通常声强探头隔离柱的长度与对应的频率范围如下表所示。但如GRAS 50AI-L的各隔离柱长度对应的频率范围略高于表1中的频率范围。

表1 隔离柱长度对应的频率表

隔离柱长度/mm

频率范围/Hz

传声器尺寸

6

250-10K

?’’

12

125-5K

?’’ ?’’

25

63-2.5K

?’’

50

31.5-1.25K

?’’


声强探头中的两个传声器是经过精心挑选的,幅值和相位匹配,但并不代表二者的相位差为0,为了进一步提高测量精度,还需要对声强探头进行相位校准,以获得两个传声器的相位差曲线,提高测量精度。


除了对立式探头之外,还有并列式,如图4所示,但并列式声强探头两个传声器之间的间距是固定的,不可调整。这种形式的探头一般用于特定情况下的声强测量,如测量路噪,有时还在声强探头的传声器上安装鼻锥,如图5所示,用于高风速下的声强测量。

图片
图片

图4 对立式声强探头

图5 带鼻锥的声强探头


3. 声强的测量原理

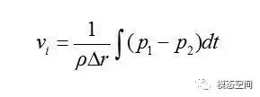
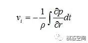
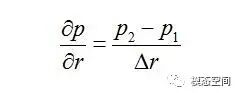
声强测量的基本方法是在空间一点同时测量平均声压和质点速度,然后把它们相乘并对时间求平均。当用声压梯度法测量质点速度时,测量两点声压后用积分方法从声压梯度中导出质点速度

图片

式中ρ为空气密度。


当两个传声器的距离(隔离柱的长度)Δr小于被测声波最高频率分量的波长时,可以用差分替代微分。因此,在声波传播方向上的声压梯度可以用两个相距较小的传声器的声压差来近似

图片

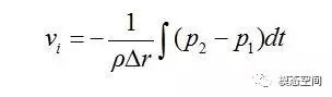
将上式代入质点速度公式,得

图片

P-P探头结构如图1所示,由1#和2#传声器测量得到的声压分别为P1和P2,如果Δr< <λ,两个传声器连线中心处的声压近似值p和质点振动速度沿两个传声器连线方向的近似值vi都可以用p 1和P 2来表示:

图片
图片

则,声强沿两个传声器连线方向的近似值为

图片

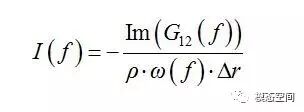
以上是声强的时域表达形式,实际上,也可以建立频域表达式。频域采用的是声强互谱来计算:

图片

式中G12是声压分别为P1和P2的互谱,Im(G12(f))是G12的虚部,ω(f)是圆频率。


从声强的测量原理可知,在进行声强测试时,除了可以得到声强级,还可得到声压级。


4. 声强的应用

声压是标量,不包含用于描述声能幅值和流速的必要信息,而声强包含这些信息。因此,声强可用于确定和量化噪声源及其传递路径、确定结构的声传递损失等。


基于声强的声功率测量是声强应用之一,通过测量所有测量面的声强,如图6所示5个测量面,然后乘以相应的面积得到声功率,并且这种测量不受外部噪声的影响。但要求待测声源为稳态声源,不适用于瞬态声源。声强法测量声功率有两种方式,分别为离散点法和扫描法,如图7所示,这两种方法对应的ISO标准分别为ISO 9641-1和9641-2。关于声强测量声功率后续将有专门的文章进行介绍,敬请期待。

图片

图6 声功率测量示意

图片
图片

离散点法

扫描法

图7 声强法声功率测量的两种方式


当测量稳态声源的表面声强时,通过离散点法可实现噪声源定位。将测量面划分多个网格,测量每个网格中心位置的声强。如果声波垂直于声强探头,那么将不存在时间延迟,得到的声强为0,但如果声波按一定的角度入射,那么时间延迟将正比例于这个角度,因此,根据这个原理可以找到声源的位置,实现噪声源定位。声强法的噪声源定位测量可得到不同声源和不同频率的声学云图,如图8所示。

图片

图8 噪声源定位示意图


声传递损失(Sound Transmission Loss,STL)除了使用阻抗管和两个混响室之外,还可使用基于声强的方法在一个混响室和一个消音室来进行测量,通常该方法适用于大的部件的声传递损失测量,如汽车前围板。在混响室测量声压,在消音室进行声强,混响室与消音室共用的墙上开窗用于安装测量件,如图9所示,来测量声传递损失。

图片

图9 基于声强的声传递损失测量


胎噪仪是基于声强的轮胎噪声测量仪器,测量方法称为随车声强测试法(On-Board Sound Intensity method,OBSI),如图10所示,左图为单个声强探头水平布置,右图为双声强探头垂直布置。基于声强的胎噪仪系统集成度高,具有较高的测试精度。

图片
图片

单声强探头水平布置

双声强探头垂直布置

图10 胎噪仪


相关推荐链接:

1、某生产线工程电气图cad图纸

2、110kV变电站电气安装工程施工专项应急预案



全部回复(0 )

只看楼主 我来说两句抢沙发
这个家伙什么也没有留下。。。

供配电技术

返回版块

97.93 万条内容 · 2214 人订阅

猜你喜欢

阅读下一篇

声压--声音测量的物理量

知识点:声压   声音测量最常用的物理量是声压,但声压的大小通常用声压级(Sound Pressure Level,SPL)来描述。人耳可听的声压范围为2×10-5Pa~20Pa,对应的声压级范围为0~120dB分贝。 以下将简单介绍声压、声压级的关系。   一、 压强 压强的定义:单位面积上所受到的压力叫做压强; 压强的单位:压强的单位是Pa(帕);

回帖成功

经验值 +10