知识点:声压

声音测量最常用的物理量是声压,但声压的大小通常用声压级(Sound Pressure Level,SPL)来描述。人耳可听的声压范围为2×10-5Pa~20Pa,对应的声压级范围为0~120dB分贝。 以下将简单介绍声压、声压级的关系。
一、 压强
压强的定义:单位面积上所受到的压力叫做压强;
压强的单位:压强的单位是Pa(帕);
1Pa=1N/㎡,即1帕斯卡=1平方米面积上受到1牛顿的压力;
1Pa=103mPa=106?Pa

二、 声压
1.声压定义(有声波时,媒质中压力与静压的差值)
设体积元受声扰动后压强由p0改变为p1,则由声扰动产生的逾量压强(简称为逾压)p=p1-p0就称为声压,声压的大小反应了声波的强弱。也可以说声音通过空气的振动所产生的压强叫做声压强,简称声压。?
声压是一标量而不是矢量,它的相位按下列原则区分正负,当声压使总声压增加时,声压相位规定为正,反之为负。
2. 声压单位?
声压的单位为Pa(帕),有时也用bar(巴)作单位,1bar=100KPa;?
3. 可听阈声压
正常人耳对1KHz声音刚刚能觉察其存在的声压值(20?Pa)被称为1KHz声音的可听阈声压。一般来讲,人耳不能觉察到低于这一声压值的声音的存在;
4. 瞬时声压
声场中某一瞬时的声压值称为瞬时声压;
5. 峰值声压
在一定时间间隔中最大的瞬间声压值称为峰值声压或巔值声压。如果声压随时间变化是按简谐规律,那么峰值声压也就是声压的振幅;
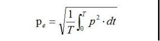
6. 有效声压 在一定时间间隔中,瞬时声压对时间取均方根值称为有效声压:

式中下角符号e代表有效值,T代表取平均的时间间隔,它可以是一个周期或比周期大得多的时间间隔。我们日常中所说的声压和一般电子仪表所测得的声压都是有效声压。
三、 声压级

1.声压级定义
把声压的有效值取对数来表示声音的强弱,这种表示声音强弱的数值叫声压级。声压级以符号SPL表示,单位为分贝(dB):

式中pe为待测声压的有效值,pref为参考声压,在空气中参考声压pref一般取为2×10-5Pa。
由于人耳所能感受到的最小声压是20?Pa,因此人们就把这个压强作为声压强的参照标准,记做pref,因此在声学或医学上把20?Pa=0dBSPL定义为听阈,即听觉的阀门,只有高于此值,阀门才能打开,听到声音。
2. 声压级的计算 在空气中声压级的计算公式为:

例如1Pa声压对应的声压级:

这就是平时我们所说的1Pa的声压相当于94dB声压级(SPL),类似可以计算出: 20?Pa=0dBSPL 200?Pa=20dBSPL 2mPa=40dBSPL 20mPa=60dBSPL 200mPa=80dBSPL 2Pa=100dBSPL 即声压变为原来的10倍,声压级在原来的基础上增加20dB;声压变为原来的2倍,声压级在原来的基础上增加6dB;
当声压达到20Pa,即声压级为120dBSPL时,人耳会感觉到疼痛,因此,在声学或医学上把20Pa=120dBSPL定义为痛阈,长时间在此环境下工作,会对听觉系统造成伤害。
采用分贝(dB)来表达声学量值的主要原因,是由于人体听觉系统对声音强弱刺激的反应不是按线性(即逐渐加大)规律变化的,而是成对数比例关系变化的,所以采用对数的分贝值可以适应听觉本身的特点。其次,日常生活中遇到的声音,若以声压值表示,变动范围是很宽的,当用对数换算后,从数值上可以大为缩小声压的变化范围,因此用分贝来表示声学的量值是科学的。
-------------------------------------
关于倍捷科技LAB-BIOGEN
主营业务:实验室服务与技术、实验室仪器与设备、实验室试剂及耗材
聚焦市场:云南省 贵州省
核心竞争力:服务优质、技术领先、产品可靠
相关推荐链接:
1、声压计算软件
2、GBT 6882-2008 声学 声压法测定噪声源声功率级
0人已收藏
0人已打赏
免费1人已点赞
分享
供配电技术
返回版块97.93 万条内容 · 2214 人订阅
阅读下一篇
基于等效路径的爆破地震波衰减规律知识点:场地振动衰减 针对露天矿山台阶爆破地形和地质条件的复杂性,分析了地形对爆破地震波传播路径的影响,提出了等效路径及等效距离两个概念。同时考虑岩石波阻抗和岩体的完整性系数及最大一段装药量与炸药的定容爆热等因素的影响,构建了露天台阶爆破地震波地表质点振速峰值随等效距离衰减的表达式。通过矿山爆破震动监测检验,发现用该公式预测地表质点振速峰值,能够适应实际地形和地质条件的变化,预测结果的准确性显著高于萨氏公式,表明该公式较好地反映了质点振速峰值沿等效路径衰减的基本规律,为台阶爆破地震波质点振速峰值预测提供了一种新方法。
回帖成功
经验值 +10
全部回复(0 )
只看楼主 我来说两句抢沙发