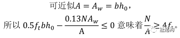
规范条文
《超限高层建筑工程抗震设防专项审查技术要点》第十二条(四):中震时出现小偏心受拉的混凝土构件应采用《高层混凝土结构规程》中规定的特一级构造。中震时双向水平地震下墙肢全截面由轴向力产生的平均名义拉应力超过混凝土抗拉强度标准值时宜设置型钢承担拉力,且平均名义拉应力不宜超过两倍混凝土抗拉强度标准值(可按弹性模量换算考虑型钢和钢板的作用),全截面型钢和钢板的含钢率超过 2.5%时可按比例适当放松。
计算公式如下:

规范条文非官方解释:在中震作用下,当小偏心受拉构件由轴向力产生的平均拉应力超过混凝土抗拉强度标准值时,混凝土将开裂。在地震往复作用下,开裂的混凝土受到反复的拉、压作用,致使构件中的混凝土产生脱落甚至部分被压碎,从而造成混凝土实际抗剪承载力的减少,造成结构的永久性破坏,不能实现“中震可修”的抗震设防目标。为了避免这种破坏,小偏心受拉构件的混凝土拉应力控制条件规定为2ftk,可以弹性模量换算考虑型钢的作用。
阿扯之疑
假若中震作用下墙肢拉应力2ftk的控制真有这么神奇,阿扯有以下三点不解。
不解一:为什么只需要控制中震作用下墙肢名义拉应力,小震呢?小震就不会存在墙肢名义拉应力超过2ftk?或者是为了实现“小震不坏”,3ftk?4ftk?
不解二:为什么只需要控制中震作用下墙肢名义拉应力,框架柱呢?
不解三:为什么只需要超高层结构控制中震作用下墙肢名义拉应力?多、高层结构就不会存在中震作用下墙肢名义拉应力超过2ftk?
《对超限高层建筑抗震设防审查若干技术问题的讨论(2014.11.21)》——方小丹
中震作用下墙肢拉应力2ftk控制问题存在两个不正确的概念:①出现裂缝的钢筋混凝土小偏心受拉构件不能承受剪力;②混凝土构件的正截面承载力或裂缝宽度计算应控制混凝土的拉应力。正确的概念:①钢筋混凝土小偏心受拉构件可以承担剪力;②一般的钢筋混凝土构件是带裂缝工作的,正截面承载力计算并不考虑混凝土受拉承载力的贡献;③钢筋可以承受拉力,混凝土构件的受拉承载力与混凝土名义拉应力无关,理论上受拉构件的配筋率可以不限制;④控制混凝土构件裂缝宽度的关键因素是控制钢筋的拉应力而不是混凝土的拉应力。
如果说,作用时间仅十几秒、几十秒的地震作用下的混凝土受拉构件要配置型钢,那么承受长期荷载、作用时间几十年的钢筋混凝土拉杆(吊柱)呢?
全截面受拉开裂的钢筋混凝土构件只要裂缝宽度较小,是可以承担剪力的,因为构件剪切破坏面(斜截面)穿过裂缝,也穿过未开裂缝的混凝土,还穿过水平和竖向配置的钢筋。未开裂的混凝土以及水平钢筋提供了构件的受剪承载力。《混凝土结构设计规范》有偏心受拉构件的受剪承载力计算公式(如下),并已考虑了拉力对其受剪承载力的影响。

故如果承受拉力的剪力墙还承受剪力,可按《混凝土结构设计规范》相关计算公式验算其斜截面受剪承载力,视需要决定是否配置型钢(亦可加大剪力墙水平钢筋,即使墙肢混凝土平均名义拉应力>2ftk)。这本是一个构件的设计问题,无需设置不必要的限制。
构件一旦承受剪力就必然有弯矩,或改变了构件的受力状况,可能由轴心受拉或小偏拉变为大偏拉,此时构件截面有受压区,剪压区的存在反而提高了构件的受剪承载力。
总结:①全截面混凝土的名义拉应力只表示混凝土构件承受拉力的大小。而构件的安全度、裂缝宽度的大小取决于钢筋的应力水平;②混凝土受拉构件的破坏始于钢筋的屈服,破坏形态是典型的延性破坏,无需要求采用特一级构件;③即使剪力墙全截面受拉,混凝土的名义拉应力大于2ftk,也可有足够的受拉承载力安全度储备和较大的斜截面受剪承载力;④中震作用下小偏心受拉构件是否配型钢是一个构件的设计问题,可根据其具体受力情况由设计人确定,配置普通钢筋可满足要求时可配普通钢筋(计算正截面承载力、斜截面承载力以及裂缝计算,裂缝限值可按0.30mm),需要配置型钢则配置型钢,无需另设不合理的限制。
《广东省超限高层建筑工程抗震设防审查专家委员会关于超限高层建筑结构设计和审查若干问题讨论会会议纪要(2016.05.12)》
第四条:地震作用下出现小偏心受拉的混凝土构件设计
①混凝土受拉构件的破坏始于钢筋的屈服,破坏形态是典型的延性破坏,可按其性能水准采用相应的抗震构造。
②小偏拉钢筋混凝土构件混凝土开裂、钢筋屈服后,其侧向刚度、轴向受拉刚度明显下降,所分配的拉力、水平剪力明显减少。为简化设计,可偏安全按等效弹性计算分配的拉力、剪力进行构件截面承载力计算,并宜按中震弹性或不屈服设计,必要时也可采用弹塑性方法进行内力分析。
③中震作用下小偏心受拉构件是否需要配置型钢可根据其具体受力情况由设计人确定,配置普通钢筋可满足要求时可配普通钢筋,需要配置型钢则配置型钢。不控制混凝土的名义拉应力。
④在往复荷载作用下构件承受较大压力(压应变大于0.003)时,应扣除保护层厚度校核其平面外稳定承载力。
阿扯之“扯”
上述广东专家们对“中震作用下墙肢名义拉应力ftk”的解惑及相关设计方法非常给力,阿扯在这里为他们打call。下面阿扯“推波助澜”,扯一下其他相关观点。
《混凝土结构设计规范》偏心受拉构件的受剪承载力计算公式中,

即不再考虑剪力墙混凝土部分的抗剪能力。对于各种截面的剪力墙构件,

故当构件不屈服设计时,则墙肢全截面由轴向力产生的平均拉应力超过4倍混凝土抗拉强度标准值时,不再考虑混凝土部分的抗剪承载能力,当抗震性能水准为构件弹性设计时,则墙肢全截面由轴向力产生的平均拉应力超过2.20倍(4/1.4/1.3=2.20)混凝土抗拉强度标准值时,不再考虑混凝土部分的抗剪承载能力,但可考虑墙肢水平钢筋的抗剪作用。以上均低于《超限高层建筑工程抗震设防专项审查技术要点》的标准。
什么结构形式在地震作用下墙肢容易出现受拉呢?高宽比大的超高层结构?
非也。反而高宽比大的超高层结构在地震作用下最不容易出现受拉,只不过《超限高层建筑工程抗震设防专项审查技术要点》明确规定其需进行中震作用下墙肢名义拉应力验算罢了。
以剪切变形为主的结构形式在地震作用下墙肢容易出现受拉,如多层或小高层剪力墙结构、多层或小高层框架-剪力墙结构、单向少墙的高层或超高层剪力墙结构(少墙方向以剪切变形为主)等。其在高烈度区小震作用下墙肢拉应力控制2ftk都比较吃紧(边缘构件计算配筋大得慌),中震作用下更是想都不敢想,我们应该庆幸《建筑抗震设计规范》不规定中震作用下墙肢名义拉应力2ftk的控制。
为什么呢?又关系到层间位移角的组成(层间有害位移角和层间无害位移角)、各楼层的层间位移角中层间有害位移角所占的比例等!层间有害位移角是边缘构件计算配筋和墙肢出现受拉的“罪魁祸首”。下面阿扯举例一个以剪切变形为主的5层剪力墙结构和一个以弯曲变形为主的30层剪力墙结构进行对比说明其中的原因(最大层间位移角均控制至1/800)。
5层剪力墙结构最大层间有害位移角的楼层为首层,最大层间有害位移角为1/1681。30层剪力墙结构最大层间有害位移角的楼层为第2层,最大层间有害位移角为1/6424。5层剪力墙结构最大层间有害位移角是30层剪力墙结构的3.8倍!
通俗点讲,以剪切变形为主的结构形式,层间位移角较大的楼层,有害位移角所占的比例不小;以弯曲变形为主的结构形式,层间位移角较大的楼层,有害位移角所占的比例非常小。所以在相同层间位移角限值情况下,以剪切变形为主的结构形式的最大有害位移角要比以弯曲变形为主的结构形式要大得多。具体解析详后期关于层间位移角的文章。
内容源于网络,仅作分享使用,如有侵权,请联系删除
相关资料推荐:
知识点:中震作用下墙肢名义拉应力ftk
0人已收藏
0人已打赏
免费4人已点赞
分享
混凝土结构
返回版块140.17 万条内容 · 2215 人订阅
阅读下一篇
楼盖体系受力分析及设计方法探讨本文分为四部分,分别是“常规”梁板体系(单向板体系、十字梁体系、井字梁体系及大板体系)、加腋大板体系、无梁楼盖体系(实心无梁楼盖体系及空心无梁楼盖体系)及柱帽+梁板楼盖体系,主要进行受力分析、设计方法及其相关应用探讨。 一 “常规”梁板体系
回帖成功
经验值 +10
全部回复(0 )
只看楼主 我来说两句抢沙发