开挖顺着中线不断地向洞内延伸,衬砌和洞内建筑物(避车洞、排水沟、电缆槽等)的施工紧跟其后,不等贯通,隧道内的大部分建筑物已经建成;
为了保证工期,常利用增加开挖面的方法,将整个隧道分成若干段同时施工;增加开挖面的主要方法有:设置平行导坑或在隧道中部设置横洞、斜井或竖井。

两个开挖面相向开挖,在预定位置挖通称为贯通。贯通后,由两端分别引进的线路中线,应按设计规定的精度正确衔接。
(1)保证相向开挖的工作面,按照规定的精度在预定位置贯通;
(2)保证洞内各项建筑物以规定的精度按照设计位置修建,不得侵入建筑限界。
作为指导隧道施工的测量工作,在隧道开挖前一般要建立具有必要精度的、独立的隧道洞外施工控制网,作为引测进洞的依据;对于较短的隧道,可不必单独建立洞外施工控制网,而以经隧道施工复测、调整后并确认的洞外线路中线控制桩为引测进洞的依据。
洞内控制点控制正式中线点(正式中线点是洞内衬砌和洞内建筑物施工放样的依据) ,正式中线点控制临时中线点;临时中线点控制掘进方向。
洞内高程控制与平面相仿,临时水准点控制开挖面的高低,正式水准点控制洞内衬砌和洞内建筑物的高程位置。
先导坑后扩大成型法对隧道的位置还有一定的纠正余地,隧道施工测量可先粗后精;全断面开挖法一次成型,隧道施工测量必须一次到位。
对于采用全断面开挖法开挖的隧道,其测量过程与先挖导坑后扩大成型开挖的隧道基本一样,不同的是对临时中线点、临时水准点的测设精度要求较高,或者是直接测设正式中线点、正式水准点。
因盾构机的钻头架是专门根据隧道断面而设计的,可以保证隧道断面在掘进时一次成形,混凝土预制衬砌块的组装一般与掘进同步或交替进行,所以,不需要测量人员放样断面。

当采用盾构工法或自动顶管工法施工时,可以使用激光指向仪或激光经纬仪配合光电跟踪靶,指示掘进方向。
如图所示,光电跟踪靶安装在掘进机器上,激光指向仪或激光经纬仪安置在工作点上并调整好视准轴的方向和坡度,其发射的激光束照射在光电跟踪靶上,当掘进方向发生偏差时,安装至掘进机上的光电跟踪靶输出偏差信号给掘进机,掘进机通过液压控制系统自动纠偏,使掘进机沿着激光束指引的方向和坡度正确掘进。

隧道贯通前,洞内平面控制测量只能采用支导线的形式,测量误差随着开挖的延伸而积累。洞外控制网和洞内施工控制测量应保证必要的精度。
控制点应设置在不易被破坏的位置处。
(1)洞外平面控制测量;
(2)洞外高程控制测量;
(3) 洞内平面控制测量;
(4)洞内高程控制测量;
(5)进洞测量;
(6)洞内中线测设;
(7)贯通误差调整;
(8)竣工测量。
贯通误差及其对隧道贯通的影响
相向开挖的两条施工中线上,具有贯通面里程的中线点不重合,两点连线的空间线段称为贯通误差。

贯通误差在水平面上的正射投影称为平面贯通误差;
在铅垂面上的正射投影称为高程贯通误差,简称高程误差。

平面贯通误差在水平面内可分解为两个分量:
(1)与贯通面平行的分量,称为横向贯通误差,简称横向误差;
(2)与贯通面垂直的分量,称为纵向贯通误差,简称纵向误差。

纵向误差影响隧道中线的长度和线路的设计坡度。
横向误差影响线路方向,如果超过一定的范围,就会引起隧道几何形状的改变,甚至造成侵入建筑限界而迫使大段衬砌拆除重建,既给工程造成重大经济损失又延误了工期。因此,必须对横向误差加以限制。
高程误差主要影响线路坡度。
由于洞外控制测量、洞内外联系测量、洞内控制测量和洞内中线放样等项误差的共同影响。
一般将洞外平面控制测量的误差做为影响隧道横向贯通误差的一个独立的因素,将两相向开挖的洞内导线测量的误差各为一个独立的因素,按照等影响原则确定相应的横向贯通误差。
高程控制测量中,洞内、洞外高程测量的误差对高程贯通误差的影响,按相等原则分配。
贯通误差估算
(1)测角误差的影响
设RX 为导线环在隧道两洞口连线的一列边上的各点至贯通面的垂直距离(m),则导线的测角中误差m? (″)对横向贯通中误差的影响为:

(2)测距误差的影响
设导线环在邻近隧道两洞口连线的一列测边上的各边对贯通面上的投影长度为 dy (m),导线边长测量的相对中误差为 ml / l ,则由于测距误差对贯通面上横向中误差的影响为:


受角度测量误差和距离测量误差的共同影响,导线测量误差对贯通面上横向贯通中误差的影响为:

方法1: 按照严密公式计算(公式与方法见《新建铁路测量规范(条文说明)》)

方法2:按导线估算(偏于安全,目前不提倡)
在贯通面上,受洞外或洞内高程控制测量误差影响而产生的高程中误差为:

式中,M?为每千米水准测量的偶然中误差,以mm计;L为洞外或洞内两开挖洞口间高程路线长度的公里数。
算例
某铁路隧道为直线隧道,设计长度为L = 1136. 29m,洞外平面控制设计为单导线,其布设如图。试确定测量等级并判定该设计方案能否满足贯通的精度要求。

解析
( 1)图解相关数据
A、F为导线的始、终点,亦为隧道洞口控制点。
以洞外导线的始点A做为坐标系原点,以隧道中线按里程增加方向为X 轴正向,建立测量坐标系。在地形图上,各导线点A、B、C、D、E、F在贯通面方向上的垂足分别为A′、B′,C′、D′、E′、F′,量算出各导线点的垂距 RX 及各导线边在贯通面方向上的投影长度 dy,其结果于下表中。
(2)确定隧道洞外平面控制测量等级
本例隧道长度小于 2 km,根据表7-5 洞外导线测量适用长度知,洞外导线可布设为五等,即:
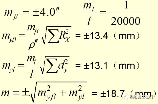
导线测角中误差为 mβ=±4.0″,
边长相对中误差为 ml / l =1/20000。
(3)估算洞外导线测量误差对贯通的影响
洞外导线测量误差对贯通的影响列表计算如下:


洞外导线测量中误差对隧道的影响预计是18.7mm,其允许值是30mm,显然该洞外导线测量设计可行。
注意:
计算洞外导线测角误差影响值时,不应计入始、终点(即洞口控制桩)。但在引入洞内导线时,两洞口控制桩上需测角,故其测角误差应计入洞内的测量误差。
内容源于网络,旨在分享,如有侵权,请联系删除
相关资料推荐:
https://ziliao.co188.com/p63458568.html
知识点:隧道测量方法
0人已收藏
0人已打赏
免费2人已点赞
分享
隧道工程
返回版块2.96 万条内容 · 279 人订阅
阅读下一篇
浅谈隧道二衬拱顶脱空的成因及其防治措施(下)防治措施 防水板挂设规范 ⑴ 防水板挂设前应先对初期支护喷射混凝土进行检测,欠挖部位应先加以凿除,对喷射混凝土表面凹凸显著部位应分层喷射找平。外露的锚杆头及钢筋网头应齐根切除,并用水泥砂浆抹平,使混凝土表面平顺。
回帖成功
经验值 +10
全部回复(0 )
只看楼主 我来说两句抢沙发