1.地基承载力特征值和基础材料
本工程地质情况如下:
±0.000m~-0.6m,回填土含腐殖质,γ=16KN/m3,fak=80KN/m2,E=300N/mm2;
-0.6m~-2.70m,一般亚粘土,γ=20KN/m3,fak=230KN/m2,E=500N/mm2;
-2.70m以下为风化混合土, fak=300KN/m2,E=600~1000N/mm2;
地下水位位于-5.0m处。
综合考虑建筑物的用途、基础的型式、荷载大小、工程地质及水文地质条件等,持力层考虑为一般亚粘土层,fak=230KN/m2,基础的埋置深度取1.0m。
假定基础宽度小于3m,按《建筑地基基础设计规范》(GB50007-2002)式5.2.4修正fak:
fa=fak+ηbγ(b-3)+ηdγm(d-0.5)
=230+1.6×[(16×0.6+20×0.4)/1.0]×(1.0-0.5)
=244.1KN/m2
基础采用C20混凝土,fc=9.6 N/mm2,ft=1.10N/mm2
钢筋采用HPB235,fy=210N/mm2,钢筋的混凝土保护层厚度为40mm;垫层采用C10混凝土,厚100mm。
2. 基础底面内力及基础底面积计算
柱底截面采用荷载基本组合时的内力设计值:
N=102.82KN,V=32.21KN,M=0
相应的荷载效应标准组合时的内力值为:
Nk=81.18KN,Vk=25.06KN,Mk=0

采用锥形基础,假定基础高度H0=400mm,

按(1.1~1.4)A0估计偏心受压基础的底面积A:
A=(1.1~1.4)×0.36=0.40~0.50m2
取A=bl=1.5×1.0m=1.5m2,W=0.375m3,基础的形状、尺寸及布置如图。
Gk=24×(1.5×1.0×0.4)+16×(1.5×1.0×0.6)
=28.80KN
则作用在基础底面的相应荷载效应标准值组合的内力值为:
Nk=81.18+28.80=109.98KN
Mk=25.06×1.0=25.06KN·m
基础底面压力验算:

因1.2fa=292.92KN/m2>pkmax,pkmin>0,(pkmax+pkmin)/2
故基础底面尺寸满足要求。
本工程地基基础设计等级按丙级考虑,按规范规定,地基可不作变形验算。
按荷载效应基本组合求得的基础底面净反力为:
N=102.82KN,M=32.21×1.0=32.21KN·m,e=M/N=0.313m
N合力作用点至基础底面最大压力边缘的距离a=1.5/2-0.313=0.437m
pnmax=2N/(3la)=2×102.82/(3×1.0×0.437)=156.86KN/m2
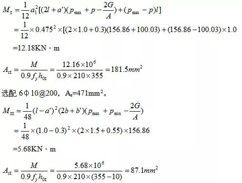
则柱与基础交接处Ⅰ-Ⅰ截面:
pn=100.03KN/m2,h0=400-45=355mm,at=300mm,
ab=300+355×2=1010mm>L,取ab=1000mm,am=(at+ab)/2=650mm
Fu=0.7βhpftamh0=0.7×1.0×1.1×650×355=177.7×103N=177.7KN
Fl=pjAl=156.86×[(1.5/2-0.55/2-0.355)×1.0]=74.5KN

选配8φ10@200,As=628mm2。
基底配筋情况见图。
基础短柱按构造配筋。
考虑抗风柱所承受的荷载及工程地质、水文地质条件等,参考刚架柱基础的设计结果,抗风柱基础埋深取d=1.0m,基底尺寸B×L=1.0×1.0m,基础底板配筋按构造选用6φ10@200。经验算均满足设计要求。
本工程外墙+1.200m标高以下采用Mu10机制实心粘土砖墙,M5水泥砂浆砌筑;+1.200m标高以上采用双层彩色压型钢板。钢板中间用50mm厚玻璃棉板充填。考虑荷载情况及地质条件,采用C15混凝土无筋扩展基础,基础底面标高取-1.100m,混凝土基础厚度取30mm。
双层彩色压型钢板0.30KN/m2
50mm厚玻璃棉板0.05KN/m2
合计0.35KN/m2
因铝合金门窗的重量与彩板墙面相近,故计算彩板墙面重量时,不扣除门窗洞口面积,门窗重量。彩板墙面传至砖墙的线荷载标准值为:
0.35×(7.2-1.2)=2.10 KN/m
240mm厚浆砌普通砖0.24×18=4.32 KN/m2
18mm厚水泥砂浆粉刷内外墙面0.018×20×2=0.72 KN/m2
合计5.04 KN/m2
则砖墙自重线荷载标准值值为:5.04×(2.0-0.18)=9.17KN/m
圈梁自重:0.24×0.18×25=1.08KN/m
传至基础顶面处的永久线荷载标准值为:2.10+9.7+1.08=12.35KN/m
设基础宽度为500mm,取1m长基础计算:

=39.0KN/m2<
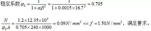
基础宽高比:b2:H0=70/300=0.23<1:1.25,满足要求。
4. 验算砖墙底部截面处的承载力
H0=2H=4.0m,μ1=1.2,μ2=1.0,
高厚比:H0/h=4.0/0.24=16.7<μ1μ2[β]=1.2×1.0×24=28.8,满足要求。

内容源于网络,仅作分享使用,如有侵权,请联系删除
相关资料推荐:
知识点:单层钢结构厂房基础设计
0人已收藏
0人已打赏
免费4人已点赞
分享
钢结构工程
返回版块46.53 万条内容 · 1213 人订阅
阅读下一篇
钢结构工程要注意的几个重要质量控制点1.地脚螺栓的预埋 地脚螺栓的预埋质量直接影响钢结构的安装质量,控制好地脚螺栓(群)的位置、垂直度、长度和标高,对于减少扩孔及调整工作量(甚至避免返工),提高结构安装质量具有重要意义。地脚螺栓的预埋方法可采用直接预埋法,也可采用预留孔法。基础砼浇筑前监理工程师必须严格检查预埋螺栓施工方法的合理性、可靠性,以及各项实测指标是否在规范规定范围内。
回帖成功
经验值 +10
全部回复(2 )
只看楼主 我来说两句抢地板彩板墙面的重量是通过墙梁传给柱的,不是传给下面的砖墙。另外,1.2m砖墙要么用基础梁支承,要么地台局部加厚就可以了
回复 举报
因铝合金门窗的重量与彩板墙面相近,故计算彩板墙面重量时,不扣除门窗洞口面积,门窗重量。
回复 举报