由于复杂的地形地质条件,边坡始终是工程建设中一个重大工程地质问题,因此加强边坡病害的防治设计,将对工程基础设施建设与生态环境保护协调发展有重要意义。作为设计师,边坡防护加固设计是工作中的重要组成部分。逃避不了?那就深入的学习下……
边坡防治的实质是边坡变形破坏的防治,防治原则应以防为主、及时治理,并应根据工程措施的技术可行性和必要性、经济合理性、工程重要性及社会效应等诸多方面制定具体的处治方案。
1) 处治措施的选择必须建立在工程地质勘察和边坡破坏机制分析的基础之上。
2) 处治措施应针对引起滑坡的主导因素进行制定,原则上应一次根治,不留后患。
3) 对工程建设中随时可能产生危害的边坡,应先采用立即生效的工程措施,然后再实施其它工程。
4) 对性质复杂、规模巨大、短期内不易查清或工程建设进度不允许完全查清后再处治的滑坡或变形体,应在保证工程建设安全的前提下,作出全面的处治规划,采用分期治理的方法,使后期工程既可获得必须的资料,又能争取到一定的建设时间,保证整个工程的安全和效益。
5) 一般情况下,对边坡处治(特别是滑坡和变形体的处治)的时间应以旱季为宜,施工方法和程序应以避免造成坡体产生新的变形破坏为原则。
1、向潜在滑体提供锚固力,提高抗滑力、降低下滑力。
2、坡趾是边坡的重点薄弱环节之一,必要时可用“压脚法”加固,此法适用于小规模的土质边坡。
3、在坡顶进行挖方以降低坡高称为减载,挖缓坡面减小坡角称为削坡。
4、减小对岩土体的损伤以免 、 值降低,例如制定合理的爆破方案等,也可设法提高岩土体 c、φ值,例如采用注浆法加固岩土体等。
5、采取防排水措施使边坡岩土体中的潜水位尽可能降低,既提高坡体的抗滑力又降低下滑力,是稳定边坡最为有效和经济的方法。
滑坡采用锚固、挡墙、抗滑桩、排水、减载压重等措施。
风化剥蚀采用坡面防护:砌石、喷射混凝土、植被防护等措施。
水流侵蚀采用冲刷防护(植物、抛石、浆砌片石、石笼等)措施。
边坡坡面防护的种类和方法多种多样,但不论采用哪种方法,防护工程都应遵循以下原则:因地制宜,结合边坡的地形地貌、水文地质条件,根据实际情况确定适宜的防护措施;就地取材,在选用防护材料时,尽量利用当地材料,就地采集;经济适用,在力求节省工程费用和其它开支的同时要达到经济耐久以及养护工作量最小的要求;兼顾景观,坡面防护的意义不仅局限于保护边坡,还应当与环境相衬,合理美观。
植被防护的手段通常为植树、种草或二者结合。在边坡上种植植被能有效地减缓边坡上的水流速度,避免日晒。植物的根系可固着边坡表层土壤以减轻冲刷,从而达到保护边坡坡面的目的。
对不适宜植物生长的边坡采用工程防护,包括灌浆及勾缝、抹面、喷浆及喷射混凝土、喷锚网、干砌片石、浆砌片石、挡土墙以及土工合成材料防护等。
用于适宜草类生长的土质路堑和路堤的边坡,且边坡的高度不高,坡度不大(坡度不宜陡于1:1)。当边坡土层不宜种草时,可在坡面上先铺一层厚为5~10cm的种植土,使其与坡面结合牢固。若边坡坡度陡于1:2,在铺种植土前将边坡挖成台阶形。
草种的选用要结合边坡的土壤环境和当地的气候条件,选择容易生长、根部发达、茎干低矮、枝叶茂盛、生长能力强的多年生草种,常采用的草种包括:白茅草,根深而粗壮;毛鸭嘴及鱼肩草,根深,固结边坡能力强;两耳草、果园草及雀稗,茎叶茂密,富于覆盖;鼠尾草,繁殖快;无芒雀麦,根系固土范围直径可达半米,-30°C下能安全越冬。
草籽播种可根据情况进行撒播或沟(行)播。撒播是最简单易行的方法,此法常用于比较松软的土质边坡;沟(行)播一般在比较坚硬的土质边坡上采用。
植树适宜于各种土质边坡和风化极严重的岩质边坡,坡度一般应缓于1:1.5。树种应选择根系发达,枝叶茂盛,能迅速生长、分蘖的低矮树种,如紫穗、怪柳、枸杞、沙棘等。冲刷防护宜用杨柳或不怕水淹的灌木类,高速公路的土质边坡和路肩不得种植乔木。植树时树坑深一般为25cm,直径20cm,株距30-60cm,行距80~150cm,应视树种不同而定。
喷浆及喷射混凝土防护主要适用于易风化的软岩及裂隙和节理发育、坡面不平整、破碎较严重的岩质挖方边坡,既可防止坡面进一步风化,又可促使裂隙间破碎岩石得到砂浆充填而加固。对于坚硬易风化但风化不严重的边坡,喷浆防护可在坡面形成保护层以防止进一步风化。但此法不宜用于成岩作用差的黏土岩边坡,也不可直接用于涌水地段,在泄水后保证坡面无水回流方可使用。
石灰:采用新出窑烧透的块灰,欠火或过火者不宜采用,其质量指标应符合有关规范的规定。
砂子:重力喷浆应使用纯净的细砂,粒径为0.1~0.25mm。机械喷浆或喷混凝土应使用纯净的中粗砂,粒径为0.25~0.5mm,含水率以4%~6%为宜。
混凝土粗骨料:应使用纯净的卵石或碎石,最大粒径不大于25mm。大于15mm的颗粒控制在20%以下,针、片状颗粒不超过15%。
速凝剂:可直接掺入水泥砂浆和混凝土中,配制成聚合物砂浆和聚合物混凝土,能极大地增加接触面的黏聚力和抗拉、抗折强度,提高抗渗性,并兼有界面处理和促凝等作用。
施工前对坡面的裂缝、凹坑应先勾缝、填补,以使坡面平顺整齐,岩体坡面浮土杂质、碎块等要用水冲洗干净,并保持湿润。选择适宜的喷射机械和相应的配套设备,作业前应进行试喷,以确定合适的水灰比。喷射作业应自下而上进行,喷嘴应垂直于坡面,并与坡面保持1.0m左右的距离。当喷射混凝土厚度大于150px时,应分两次喷射,保证厚度均匀,并按有关规定预留试件。喷层周边与未防护坡面的衔接处做好封闭处理,防止雨水侵入。输料管长以20~30m为宜,喷射工作压力一般为150~170kPa。
喷嘴供水压力要比工作压力大50~100kPa,保持水与干拌和料均匀混合。喷射体初凝后,应立即洒水养护,并持续7~10d。可在喷射层中加设1层钢筋网或高强聚合物土工格栅,以减小干缩裂缝对强度的影响,使坡面防护强度高于单纯喷浆或混凝土。
浆砌片石防护:适用于坡度缓于1:1的各种岩质和土质边坡,坡面因风化剥落、地表水冲刷、易发生流泥冲沟及表层溜坍等灾害时可采用浆砌片石护坡,石材丰富地区最为合适。
浆砌片石护坡所用的水泥砂浆强度一般为M5,受流水冲刷或位于寒冷地区应提高为M7.5或M10。石料应采用不易风化的坚硬岩石或大块卵石,厚为0.25~0.5m。护坡地面设0.1~0.15m的碎石或砂砾组成的垫层,在一定条件下,也可采用与垫层等效的土工织物代替。
浆砌片石护坡视岩土情况设置砌石基础,其埋深至少为护坡厚度的1.5倍,在冰冻地区应设置在冰冻线以下,砌石护坡应每隔10~15m设置宽2cm的伸缩缝(或沉降缝),用沥青麻筋或竹筋填塞。
当坡面岩体已严重风化或岩体受切割破碎严重,喷浆或喷射混凝土防护强度不足时,为加强防护效果,应采用喷锚网联合防护。喷射混凝土与钢筋网封闭坡面,锚杆既可加固坡面一定深度内岩体,也可承受少量松散体产生的侧压力。可用1:3水泥砂浆固定锚杆,当要求锚杆立即起防护作用时,可采用早强锚固卷,施工简单,快速可靠。预制铁丝网直径一般采用2mm,绑扎铁丝直径0.5mm,铁丝网框条一般采用直径6.5mm的圆筋,锚杆可用16~20mm的螺纹钢筋。
铁丝网框条采用直径6.5mm的钢筋时,应先拉直再加工焊接成框。喷浆及喷射混凝土厚度要均匀,勿使锚网外露。

柔性防护系统
以柔性网为主要特征承力构件,通过加固(如主动系统)、拦挡(如被动系统)和引导(如维护系统)等基本形式来防治落石、浅表层滑动或泥石流等坡面地质灾害。
可实现坡面孤危石及浅表层岩土体的加固,避免落石或局部崩塌的发生,抑制浅表层岩土体的变形移动或运动,阻止或缓解各种自然营力对坡面的侵蚀作用。根据锚杆和柔性网网片的布置方式,可分为矩阵式锚固的网片单元式布置系统和梅花形锚固的网片连续布置系统。
按构成形式和防护能级划分,常用拦石网型号有数十种,但从基本结构和功能特征上看,除下部基础外,其上部结构都是由钢柱、连接构件和柔性网构成的栅栏式落石拦挡结构
钢柱:钢柱是被动系统的支撑结构,其主要作用是保证系统及其柔性网的直立,并展开和支承支撑绳、拉锚绳等连接构件。
连接构件:连接构件包括拉锚绳、拉锚锚杆和支撑绳这三类具有特定结构性能的构件,及其它起连接作用的构件,如缓冲绳、缓冲卡环等专用连接件和绳夹、卸扣、螺栓等辅助连接件。
柔性网:柔性网是被动防护系统的核心构成部分,是整个系统中唯一的面状拦挡结构,其主要功能是实现对落石的直接拦截。
消能件:消能件的功能是其受到落石冲击的荷载较高时,通过自身变形或位移的方式来吸收或消散能量,同时限制整个系统中的荷载峰值。
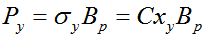
岩土压力的主要荷载一般包括岩土体自身重量引起的侧向压力、水压力以及影响区范围内的构筑物荷载、施工荷载、交通荷载等。
若刚性的挡土墙保持原来的位置静止不动,则作用在挡土墙上的土压力称为静止土压力,按下式计算:
静止土压力系数宜由试验确定,当无试验条件时,可按下式估算:
正常固结土:
超固结土:
若挡土墙在墙后填土压力作用下,背离填土方向移动,此时作用在墙上的土压力将由静止土压力逐渐减小,当墙后土体达到极限平衡状态,并出现连续滑动面而使土体下滑时,土压力减到最小值,称为主动土压力,按下式计算:
朗肯土压力理论:
主动土压力系数:
库伦土压力理论:
若挡土墙在外力作用下,向填土方向移动,这时作用在墙上的土压力将由静止土压力逐渐增大,直到土体达极限平衡状态并出现连续滑动面,墙后土体将向上挤出隆起,此时土压力增至最大值,称为被动土压力,按下式计算:
朗肯土压力理论:
被动土压力系数:
库伦土压力理论:
1、静止岩体压力计算公式:
压力系数:
结构面外倾:
压力系数:
结构面缓倾:
1) 当岩质边坡无外倾结构面时,以岩体等效内摩擦角按侧向土压力方法计算侧向岩体压力,破裂角按式 (45°+φ/2)确定,I类岩质边坡取75?左右。
2) 当有外倾硬性结构面时,将计算岩体压力和以岩体等效内摩擦角按侧向土压力方法计算的结果对比,取较大值;除I类边坡岩体外,破裂角取外倾结构面倾角和 两者中的较小值。
3) 当边坡沿外倾软弱结构面破坏时,破裂角取该外倾结构面的视倾角和(45°+φ/2)两者中的较小值。
挡土墙类型的划分方法较多,通常以挡土墙的结构形式分类为主,主要有:重力式挡土墙(包括衡重式挡土墙)、薄壁式挡土墙(包括悬臂式和扶壁式挡土墙)、加筋式挡土墙、锚杆式和锚定板式挡土墙、竖向预应力锚杆式挡土墙、土钉式及桩板式挡土墙等。
重力式挡土墙按结构形式可分为仰斜式、垂直式、俯斜式、凸形折线式和衡重式。
地基承载力及墙身强度验算:必要时应参照基础工程设计和混凝土设计原理进行地基承载力验算及墙身强度验算。进行地基承载力验算时,应先求出作用在基底的总竖向力,并通过力矩平衡求出合力作用点,进而求得基底合力偏心距,再根据不同偏心情况下的基底应力计算公式分别求得最大值和平均值,验算二者分别满足地基承载力验算公式即可。验算墙身强度时,则应取1~2个控制截面,分别进行其在自重及岩土压力同时作用下的正截面偏心压缩承载力验算、弯曲承载力验算及斜截面抗剪承载力验算,具体计算方法可参照相关规范。
薄壁式挡土墙高度在6m以下时一般选用悬臂式挡土墙,大于6m时选用扶壁式挡土墙。
设计原则:计算挡土墙整体稳定性和立板内力时,可不考虑挡土墙墙前底板以上土体的影响;在计算墙趾板内力时,应计算底板以上填土的自重。计算挡土墙实际墙背和墙踵板的土压力时,可不计填料与板间的摩擦力。
悬臂式挡土墙由立壁(墙面板)和墙底板(包括墙趾板和墙踵板)组成,呈倒“T”字型,具有三个悬臂,即立壁、墙趾板和墙踵板。
悬臂式挡土墙和扶壁式挡土墙的侧向主动土压力宜按第二破裂面法进行计算。当不能形成第二破裂面时,可用墙踵下缘与墙顶内缘的连线或通过墙踵的竖向面作为假想墙背计算,取其中较不利状态的侧向压力作为设计控制值。
悬臂式挡墙的立板、墙趾板和墙踵板等结构构件可取单位宽度按悬挑构件进行计算。
扶壁式挡土墙由墙面板(立壁)、墙趾板、墙踵板及扶肋(扶壁)组成,实际上它是在悬臂式挡土墙的基础上,沿墙方向每隔一定距离加设扶肋而成。
对扶壁式挡土墙,根据其受力特点可按下列简化模型进行内力计算:① 立板和墙踵板可根据边界约束条件按三边固定、一边自由的板或以扶壁为支点的连续板进行计算;② 墙趾底板可简化为固定在立板上的悬臂板进行计算;③ 扶壁可简化为T形悬臂梁进行计算,其中立板为梁的翼缘,扶壁为梁的腹板。
加筋土挡土墙分为有面板加筋土挡土墙和无面板加筋土挡土墙。有面板加筋土挡土墙在工程中应用较为广泛,即在土中加入拉筋,利用拉筋与土之间的摩擦作用,改善土体的变形条件,提高土体的工程特性,从而达到稳定土体的目的。无面板加筋土挡土墙通过反包式土工格栅的加筋锚固作用,约束土体的侧向变形,保证土体的稳定。
1、抗滑移稳定性验算:加筋土挡土墙的滑动一般有两种可能,一种是水平推力克服了加筋体“基底”与地基之间的摩擦力而沿底面滑动,另一种是修筑在边坡上的加筋土挡土墙可能自身与滑体一起产生滑动。
2、抗倾覆稳定性验算:
(抗倾覆安全系数一般不小于1.4,地震工况时不小于1.3)

拉力型锚杆指受力时锚固段注浆体处于受拉状态的锚杆,其主要特点是锚杆受力时锚固段浆体受拉并通过浆体将拉力传递至周围地层,结构简单,目前使用范围最广。
压力型锚杆指受力时锚固段注浆体处于受压状态的锚杆,其主要特点是利用承载体使锚杆受力时锚固段浆体受压,并通过浆体将拉力传递至周围地层,防腐性能较好,但由于注浆体承压面积受到钻孔直径的限制,故不能得到高承载力的锚杆。
荷载分散型锚杆也称单孔复合锚杆,指在一个钻孔中,由若干拉力型或压力型单元锚杆组合而成的复合锚固体系,其能将锚固力分散作用于锚杆总锚固段的不同部位(即各单元锚杆的锚固段)上。
主要包括拉力分散型锚杆和压力分散型锚杆两种,其工作时能充分利用地层固有强度,其承载力随锚固段长度增加成比例提高。拉力分散型锚杆适用于锚杆承载力要求较高的软岩或土体工程,压力分散型锚杆适用于锚杆承载力要求较高或防腐等级要求较高的软岩或土体工程。
以预应力锚杆为例,锚固工程设计主要包括锚固力(斜坡、挡墙、锚拉桩等)计算、锚杆布置及安设角度确定、锚杆杆体材料选择及确定、锚杆结构设计、锚头及防腐设计、整体稳定性验算等内容。
?边坡锚固力计算:边坡锚固力计算过程中,首先需按照规范确定边坡设计安全系数,其次针对不同的破坏形式,计算单位长度边坡所需的锚固力。边坡锚固力计算可采用极限平衡法,但对于重要或复杂边坡的锚固设计,宜同时采用极限平衡法与数值分析法。对可能产生圆弧滑动的锚固边坡,宜采用简化毕肖普法、摩根斯坦-普赖斯法或简布法计算,也可采用瑞典法计算; ?对可能产生直线滑动的锚固边坡,宜采用平面滑动面解析法计算; 对可能产生折线滑动的锚固边坡,宜采用传递系数隐式解法、摩根斯坦-普赖斯法或萨玛法计算;对岩体结构复杂的锚固边坡,可配合采用赤平极射投影法进行分析。
根据工程实际需求,同时结合工程类比法,可初步选定锚杆排数和锚杆间距,单根锚杆拉力标准值应根据边坡锚固力、锚杆排数及间距确定,即:
预应力锚杆拉力设计值(设计锚固力,或设计轴向拉力)与锚杆拉力标准值之间存在下列关系:
锚杆类型应根据工程要求、锚固地层性质、锚杆极限受拉承载力、不同类型锚杆的工作特征、现场条件、施工方法等综合因素选取。此外,预应力锚杆设计的承载能力极限状态还应符合下列要求:
锚杆布设原则上应根据实际地层情况以及锚杆与其它支挡结构联合使用的具体情况确定,必须充分了解边坡的地质状况,确定边坡变形破坏的模式后,才能决定锚杆布设位置。锚杆布设的总体原则是对边坡滑体产生最佳的抗滑效果,一般应满足以下基本要求:
(1) 锚杆间距和长度,应根据锚固工程周围地层的整体稳定性确定。
(2) 锚杆间距除必须满足锚杆的受力要求外,还应大于1.5m,以避免因群锚效应而降低锚固力。当所采用的间距小于1.5m时,应将相邻锚杆的倾角调整至相差3°以上。
岩土锚杆通常是以群体的形式出现的,若锚杆布置较密集,地层中受力区的重叠会引起应力叠加和锚杆位移,从而使锚杆极限抗拔力不能有效发挥,即群锚效应。锚杆极限抗拔力会因群锚效应而减小,群锚效应与锚杆间距、直径、长度及地层形状等因素有关。
(3) 锚杆与相邻基础或地下设施间的距离应大于3.0m。
(4) 锚杆锚固段应在潜在滑面以外的稳定岩土体内,且上覆土层厚度不宜小于4.5m,避免坡顶反复荷载的影响,同时不会因较高注浆压力而使上覆土层隆起。
(5) 根据锚杆的作用原理,对于不同类型工程,锚杆倾角是不同的,确定锚杆倾角应有利于满足工程抗滑、抗塌、抗倾或抗浮的要求。但就控制注浆质量而言,若锚杆倾角过小时,注浆料因泌水和硬化而产生的残余浆渣会影响锚杆的承载力,故锚杆倾角宜避免与水平面成-10°~+10°的范围,10°范围内锚杆的注浆应采取保证浆液灌注密实的措施。
(6) 为使钢绞线间有适宜的间距,保证钢绞线被足够的水泥浆所包裹,以满足钢绞线与注浆体间黏结强度的要求,锚杆钻孔直径应满足锚杆抗拔承载力和防腐保护要求,压力型或压力分散型锚杆的钻孔直径尚应满足承载体尺寸的要求。
(7) 预应力锚杆的布置间距应根据边坡地层性态、所需提供的总锚固力及单锚承载力设计值确定。一般条件下,I、II、III类岩体边坡预应力锚杆间距宜为3.0~6.0m,IV类岩体及土质边坡预应力锚杆间距宜为2.5~4.0m。
(8) 锚杆的布设角度,对基坑或近于直立的边坡而言,需考虑邻近状况、锚固地层位置及施工方法。一般锚杆的倾角不小于13°,也不应大于45°。倾角愈大,抵抗滑体滑动的能力将相应地减弱,故锚杆布设角以15~35°为宜。
对倾倒破坏的边坡,预应力锚杆的设计布设角度宜与岩体层理面垂直。对滑动破坏的边坡,预应力锚杆的布设角度应发挥锚杆的抗滑作用,在施工可行条件下,锚杆倾角宜按下式计算:
锚固段长度可根据计算和工程类比法确定,对于I、II级边坡应同时采用现场拉拔试验验证。锚杆或单元锚杆的锚固段长度可由下列确定,并取两者间的较大值:
一般而言,拉力型与压力型锚杆的锚固段长度宜为3~8m(岩石)和6~12m(土层)。在软岩或土层中,当拉力或压力型锚杆的锚固段长超过8m(软岩)和12m(土层)仍无法满足极限抗拔承载力要求或需要更高的锚杆极限抗拔承载力时,宜采用压力分散型或拉力分散型锚杆。压力分散型与拉力分散型锚杆的单元锚杆锚固段长度宜为2~3m(软岩)和3~6m(土层)。
锚杆自由段长度应根据锚杆与滑面、边坡坡面的交点间距确定。若锚杆自由段长度过短,对锚杆施加初始预应力后,锚杆的弹性位移较小,一旦锚头出现松动等情况,可能会造成较大的预应力损失,因此锚杆自由段长度一般不应小于5.0m。此外,自由段应穿过潜在滑面至少1.5m,并将锚固段布设于合适的地层内,以保证锚固系统的整体稳定性。


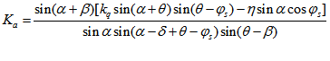
① 在沿滑动主轴方向的地质纵断面图上,按滑面的产状和岩土性质划分为若干铅直条块,由后向前计算各条块分界面上的剩余下滑力即是该部位的滑坡推力;
④ 视滑体为连续而无压缩的介质,由后向前传递下滑力并作整体滑动,不考虑滑体内部的局部应力作用。
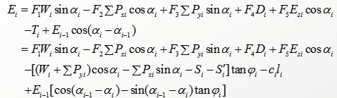
第i 个条块滑体上的作用力可分为基本力系和特殊力系两类。
基本力系包括滑体自重Wi、上一条块传递来的剩余下滑力Ei-1、下一条块产生的支撑力Ei、滑床反力Ni、滑面的抗滑力Ti;
特殊作用力系只有在可能出现的情况下,才列入计算,其主要包括作用在条块上的外部荷载Pi、动水压力Di (滑体饱水或其下部饱水且与滑带水相连通时考虑)、滑床上产生的浮托力Si、滑头水系有压力水头时的浮托力Si’ 及地震力Esi等。
计算滑坡推力时,首先根据试验资料、经验数据等进行综合分析,拟定各条块滑面的ci、φi值,或整个滑面的平均c、φ值,令F=1,依次计算各条块的剩余下滑力,并要求滑坡前缘出口的剩余下滑力等于或趋近于零。若不为零,则需调整c、φ值,重复计算,直至等于或趋近于零为止,即反算求得c、φ值,如曲线a,进而综合确定滑面(带)的强度指标。
其次,根据工程要求,选定安全系数F,再重新计算各条块的剩余下滑力,即为设计下滑力,如曲线b。滑坡前缘出口处的最终不平衡下滑力 ,其为抗滑桩设计的主要依据之一。最后,根据选定的桩位、桩间距,计算作用在每根桩上的滑坡推力。
滑坡推力分布及其作用点位置,与滑坡类型、部位、地层性质、变形状况及地基系数等因素有关。当滑体沿断面高度均匀向下变形、地基系数为常数时,推力呈矩形分布;当地基系数沿断面高度呈线性变化时,则推力呈三角形分布;当地基系数在顶部呈线性变化、底部为常数时,则推力呈梯形分布。
设置抗滑桩后,当抗滑桩受到滑坡推力作用产生变形时,一部分滑坡推力传递到桩前滑体(滑面以上),另一部分通过桩体传递到锚固段地层(滑面以下)。抗滑桩周围岩土体对抗滑桩的抗力作用称为桩周岩土抗力,其中滑面以上的称为桩前滑体抗力,或受荷段地层抗力;滑面以下的为锚固段地层抗力。
① 地基系数为常数(即“K”法)的假定,适用于较完整岩层和硬黏土;
② 地基系数与深度成正比例增加(即“m”法)的假定,适用于硬塑至半坚硬的砂黏土、碎石类土或风化破碎的岩层。
在弹性限度内,与变位成正比的桩周岩土抗力称为弹性抗力,根据弹性理论,由地基系数计算桩周岩土作用于桩身的弹性抗力值及其分布。假定地层为弹性介质,桩为弹性构件,作用于桩侧任一点y处的弹性抗力:
桩前滑体抗力可由极限平衡时滑坡推力曲线、桩前被动岩土压力或桩前滑体的弹性抗力(桩前剩余抗滑力)确定,设计时选用较小值。
① 根据滑坡推力曲线确定桩前滑体抗力时,假定滑坡处于极限平衡状态,滑面以上的c、φ值根据反算法确定时,抗滑桩需要承受的推力(桩上设计荷载)为T=E-P 。
② 以桩前被动土压力作为桩前滑体抗力时,可按朗肯被动土压力公式计算。
③ 采用地基系数法时,将滑面以上桩身所受的滑坡推力作为已知设计荷载,然后根据滑面上下地层的地基系数,把整根桩视为弹性地基梁进行计算,不考虑滑面存在的影响。
应特别注意,若桩前滑体将被挖掉或可能滑动,则不存在桩前滑体抗力,此时应将滑坡推力直接作为桩上设计荷载。桩前滑体抗力的分布图形基本呈抛物线,抗力的最大值出现在滑体中部,靠近滑面的应力较小。当滑体为黏性土时,由于黏聚力影响,顶端抗力较滑体为松散介质时大,合力重心也较高。在工程设计中,桩前滑体抗力一般采用与滑坡推力相同的应力分布形式,也可采用抛物线分布形式。当采用抛物线分布时,可将抗力图形简化为一个三角形和一个倒梯形。
锚固段地层抗力分两种情况:①抗滑桩锚固在完整岩层中,此时把滑面以下的地层当作半无限的空间弹性体,抗滑桩处理为插入其中的一根杆件较为合适,因按空间弹性体计算较为复杂,故一般采用弹性力学中简便的链杆法计算,滑面处的抗力图形有明显的应力集中现象;②抗滑桩锚固在破碎岩层或堆积层中,此时可将地层视为弹性介质,采用地基系数法较为合适,而滑面处抗力较小。
抗滑桩横截面形状对桩的抗滑作用有较大影响。当滑体滑动方向明确时,可采用矩形截面,其长边宜与滑动方向一致;当滑体滑动方向难以准确确定时,宜采用圆形截面。抗滑桩的截面尺寸应根据单桩承受的滑坡推力大小、锚固段地层横向容许承载力和桩间距等因素确定,且桩最小边宽度不宜小于1.25m。初步选定时,矩形截面的短边边长可为1.5~3m,长边边长不宜小于短边的1.5倍;圆形截面的直径可为1.5~5m。
桩的锚固深度与稳定地层的强度、滑坡推力、桩体刚度、截面和间距、是否及如何考虑桩前滑体抗力等因素有关。锚固不宜过深,通常采用缩小桩距或调整桩体截面尺寸等方法,以减小锚固深度。抗滑桩锚固段应锚固于潜在滑面以下的稳定地层内,且不应产生新的深层滑动。初步选定时,锚固深度可为桩长的1/4~1/3,最终应根据计算确定。
① 自由支承:在滑面以下桩的OB段,地层为土体、松软破碎岩体;
② 铰支承:当桩底岩层完整时,并较OB段地层坚硬,但桩嵌入此层不深;
③ 固定支承:当桩底岩层完整且极坚硬,桩嵌入该层较深。(不推荐)
当βh2≤1.0或αh2≤2.5时,抗滑桩属刚性桩,否则属弹性桩。锚固段地基系数为梯形分布时,可将桩分成若干小段,每小段内采用常数分布近似计算。
抗滑桩桩身按受弯构件设计,当无特殊要求时可不做变形、抗裂及挠度等验算。桩身混凝土的强度等级宜为C30,桩身中的主筋宜采用HRB 400钢,箍筋可采用HRB 335钢或HRB 400钢。
国外通常采用线弹性地基系数法计算抗滑桩内力,将滑面以上按悬臂桩考虑,并采用一般静力学方法求解其内力,而滑面以下采用有限差分法求解其内力。国内大多采用悬臂桩法和地基系数法。
与普通抗滑桩相比,锚拉桩具有下列优点:①改变普通抗滑桩的受力状态,减小桩身弯矩和剪力,从而减小桩身截面面积及埋深,节省材料并降低造价;②锚索可控制桩顶位移量,由普通桩被动受力变为主动施力,使其成为主动抗滑结构,可有效减小滑体位移量,利于保证滑带(潜在滑带)的强度;③能较快控制滑坡。
内容源于网络,仅作分享使用,如有侵权,请联系删除
相关资料推荐:
知识点:边坡防护加固设计
全部回复(0 )
只看楼主 我来说两句抢沙发