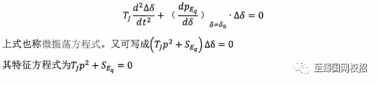
知识点:电力稳定性















相关推荐链接:
0人已收藏
0人已打赏
免费0人已点赞
分享
电气工程原创版块
返回版块2.2 万条内容 · 598 人订阅
阅读下一篇
电力市场环境下如何保证发电容量的充裕性知识点:电力充裕性 研究背景 为实现“双碳”目标,我国可再生能源高速发展,装机规模正在稳步扩大,能源结构进一步优化。然而,可再生能源出力的不确定性给电力供给的稳定可靠带来了挑战;同时,受可再生能源挤压的传统火电机组正加速退役,增加了我国电力系统容量短缺的风险。因此,在电力市场化改革的背景下,如何通过设计有效的市场机制来保障发电容量的充裕性再次成为业界关注和探讨的热点问题。
回帖成功
经验值 +10
全部回复(0 )
只看楼主 我来说两句抢沙发