怎样检测机制砂的压碎指标值?
1,主要操作步骤
(1)试样制备;将缩分后的样品置于(105±5)℃烘箱内烘干至恒重,待冷却至室温后,筛分成4.75-2.36mm,2.36-1.18mm,1.18mm-600μm,600-300μm四个粒级,每粒级试样质量不得少于1000g。
(2) 将置圆筒于底盘上,组成受压模,将一单级砂样约300g装入模内,使试样距底盘约为50mm。
(3) 平整试模内试样的表面,将加压块放入圆筒内,并转动一周使之与试样均匀接触。
(4) 将装好试样的受压钢膜置于压力机的支承板上,对准压板中心后,开动机器,以500N/s的速度加荷,加荷至25KN时持荷5s,而后以同样速度卸荷。
(5) 取下受压模,移去加压块,倒出压过的试样并称其质量(m0),然后用该粒级的下限筛,如砂样为公称粒径4.75-2.36mm时,其下限筛为筛孔公称直径2.36mm的方孔筛分,称出该粒级试样的筛余量(m1)
机制砂的压碎指标按下述方法计算。
(1) 第i单级砂样的压碎指标按下式计算
式中,δi—第i单级砂样的压碎指标(%);
mo—第i单级试样的质量(g);
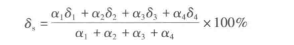
mi—第i单级试样的压碎试验后筛余的试样质量(g) 。 (2) 四极砂样总的压碎指标按下式计算

式中 δs—总的压碎指标(%),精确至0.1%;
a1,a2,a3,a4—公称直径分别为2.36mm,1.18mm,600μm,300μm各孔筛的分计筛余(%);
δ1,δ2,δ3,δ4 —公称粒级分别为4.75-2.36mm,2.36-1.18mm,1.18mm-600μm,600-300μm单级试样压碎指标(% ) 。
3 ,结果确定
以三份砂样试验结果的算术平均值作为各单粒级试样的测定值。
推荐资料(点击文字跳转):
知识点:机制砂压碎指标值的检测
0人已收藏
0人已打赏
免费1人已点赞
分享
建筑施工
返回版块66.02 万条内容 · 1639 人订阅
阅读下一篇
混凝土从试验到生产的距离有多远?混凝土经过几十年的发展逐渐成为了一门比较严谨完善的材料科学,混凝土生产企业则是将试验通过生产转化为具体产品的机构。然而对于混凝土企业来讲,预拌混凝土作为一种半成品建筑材料从试验到生产施工受到的影响因素很多,使生产施工的效果与试验结果产生偏离,而我们为确保混凝土的最终合格不断修正我们的试验过程和方法,造成了材料浪费,增加了产品成本。一些行业专家认为很多预拌混凝土企业忽视了混凝土作为一门科学的特性,逐渐沦为了一种试验加经验的产业。在企业发展中实现试验的目标也变得相当困难,使混凝土从业者尤其是技术工作者产生疑问,混凝土从试验到生产究竟有多远?
回帖成功
经验值 +10
全部回复(0 )
只看楼主 我来说两句抢沙发