土木在线论坛 \ 道路桥梁 \ 道路工程 \ 岩体初始应力及其测量

岩体初始应力及其测量

发布于:2022-10-25 11:34:25 来自:道路桥梁/道路工程 [复制转发]

知识点1:概述

地壳在漫长的地质年代里始终处于不断运动与变化之中,例如,由于地壳的构造运动常使岩层产生褶皱、断裂和错动,这些现象的出现都是岩层或岩体受力的结果。

引起岩体产生应力的原因很多:

1)有构造运动所产生的构造应力,由上覆岩体的重量所引的自重应力、气温变化所引起的温度应力、地震力以及由于结晶作用、变质作用、沉积作用、固结作用、脱水作用所引起的应力;

2)其次还有由于地下开挖在洞室围岩中所引起的应力重分布和高坝等建筑物在岩基中所引起的附加应力等。

岩体中的应力有的是由于人类活动而引起的,有的则在工程建筑之前早就产生了。凡是在工程施工开始前就已存在于岩体中的应力,称为初始应力(或天然应力、地应力),如构造应力和自重应力都是初始应力。初始应力的大小主要取决于上覆岩层的重量、构造作用的类型、强度和持续时期的长短等。

知识点2:岩体的初始应力

1.自重应力

根据大量应力的实测资料已经证实,对于没有经受构造作用、产状较为平缓的岩层,其中的应力状态十分接近于由弹性理论所确定的应力值。对于表面为水平的半无限体,在深度为z处的垂直应力图片z 可按下式计算:

图片 z= γ z

式中:γ为岩石的块体密度。

在半无限体中的任一微分单元体上的正应力图片x 、图片y 、图片z 是主应力,而且水平方向的两个应力与应变彼此相等,即

图片 x= 图片 y, 图片 x= 图片 y

如果考虑到半无限体中的任一单元体都不可能产生侧向变形,即

图片 x= 图片 y=0

则由此可得

图片

式中:Eμ为岩石的弹性模量与泊松比。

因为图片x=图片y ,所以上式可以写成:

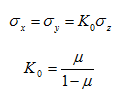
图片

图片 ,则有

图片

式中:K0为称为岩石静止侧压力系数。

一般在试验室条件下所测定的泊松比μ=0.2~0.3 ,此时静止侧压力系数为K0=0.2~0.3 。

海姆假说

当侧压力系数 K0=1时,就出现侧向水平应力与垂直应力相等的所谓静水压力情况。这就是1878年著名瑞士地质学家海姆(Heim)所指出的情况。他根据在开挖横贯阿尔卑斯山的大型隧洞的观察中,发现隧洞的各个方向上都承受着很高的压力。于是他提出了著名的海姆假说:在岩体深处的初始垂直应力与其上覆岩体的重量成正比,而水平应力大致与垂直应力相等。

2.构造应力

在漫长的地质年代里,由于地壳的构造运动,不仅在岩层或岩体中引起构造应力,同时也在岩层和岩体中引起相应的变形,这种变形表现为各种岩层和岩体以不同产状、形状和一定的几何形态有规律地分布于地壳中。

岩层和岩体中的变形形成地质学中所称的地质构造。在野外所观察到的各式各样的地质构造,都是岩体在构造应力的长期作用下所产生的残余变形的结果。

对于现时还在活动的构造应力场的研究,主要的手段之一就是进行构造应力的实测。对于过去所形成的古构造应力场的研究,最重要的手段就是在野外对于古时地壳运动所遗留下来各种踪迹进行实地调查研究,并确定各种构造型式的存在和它们的构造特征。然后再采用各种相应的方法进行模拟实验,同时配合有关应力场的理论分析进行研究。

3.初始应力的分布特点

天然岩体中的初始应力是很复杂的,不仅与岩体自重、地质构造运动有关,而且与成岩条件、地形地貌、岩性、地温等许多因素有关。它的大小和方向,常随岩体中的测点位置和测点局部地质因素的不同而变化。但对一定范围内的地质体来说,起控制作用的终究是其自重和经受的地质构造作用,因而大体上仍有规律可循。根据目前所获得的大量实测地应力资料和地质调查结果,通过理论分析和研究,对于3000m以内的浅层地壳来说,地应力的分布规律主要有如下几点:

1) 一般情况下岩体中的初始应力场多数是三向不相等的空间应力场,最大水平主应力普遍大于垂直应力,最小水平主应力的数值则变化较大 。

图片

2) 初始应力的大小、方向与地质构造有着密切关系。显然,位于活动断层的拐弯或交叉处的断裂构造则产生较大的应力集中,其它部位的断裂构造反而引起应力释放,促使岩体应力的重新分布。

3) 岩体上覆岩层的重量是形成岩体初始应力的基本因素之一。一般认为,岩体垂直初始应力基本上与上覆岩体的重量相等。

澳大利亚学者布朗(Brown)和霍克(Hoek)于1978汇集了世界范围内的原岩应力实测资料后认为,在25~2700m深度范围内,岩体的平均重度为27kN/m3,垂直原岩应力随深度增加呈线性增大 。

图片

4.地形地貌对初始应力有一定的影响,因为地形被切割后必然引起新的重分布应力,这就使得河谷两岸岩壁的最大主应力方向往往与山坡方向一致,而最小主应力方向则是谷坡的法线方向。

知识点3:岩体初始应力的量测方法

岩体应力现场测量的目的:了解岩体中存在的应力大小和方向.从而为分析岩体工程的受力状态以便为支护及岩体加固提供依据。岩体应力测量还是预报岩体失稳破坏以及预报岩爆的有力工具。

1.应力解除法

应力解除法既可量测洞室周围较浅部分的岩体应力,又可量测岩体深部的应力。

应力解除法基本原理是:当需要测定岩体中某点的应力状态时.人为地将该处的岩体单元与周围岩体分离,此时,岩体单元所受的应力将被解除.同时.该单元体的几何尺寸产生弹性恢复。应用一定的仪器.测定这种弹性恢复的应变值或变形值,于是就可以借助弹性理论计算出原岩应力 。

为了测定距边墙表面深度为Z处的应力-----

1)深度为Z的钻孔;

2)钻头将孔底磨平、磨光;

3)贴上电阻应变片;

4)“套钻”掏槽(槽深约5cm左右);

5)应力解除,岩芯也就产生相应的变形。

2.应力恢复法

利用应力恢复法量测岩体表面应力时

1)在岩体表面沿不同方向安置三个应变计。

2)初始读数;

3)与所测应力相垂直的方向开挖一狭长槽;

4)装千斤顶于槽中;

5)三个应变计读数恢复到挖槽之前的数值,千斤顶施加单位压力;

图片


图片

3.水压致裂法

水压致裂法在20世纪50年代被广泛应用于油田,通过在钻井中制造人工的裂隙来提高石油的产量。哈伯特(M. K. Hubbert)和威利斯(D. G. Willis)在实践中发现了水压致裂裂隙和原岩应力之间的关系。这一发现又被费尔赫斯特(C.Fairhurst)和海姆森(B. C. Haimson)用于地应力测量。

水压致裂法的具体测量步骤简述如下:

1) 首先打钻孔到准备测量应力的部位,并将钻孔中待加压段用封隔器密封起来。

2) 向隔离段注射高压水,直至孔壁出现开裂,获得初始开裂压力Pi;然后继续施加水压以扩张裂隙,当裂隙扩张至3倍直径深度时,关闭高水压系统,保持水压恒定;此时的应力称为关闭压力,记为Ps;最后卸压,使裂隙闭合。

3) 重新向密封段注射高压水,使裂隙重新打开并记下裂隙重开时的压力Pr和随后的恒定关闭压力Ps,重复2-3次。

4) 将封隔器完全卸压,连同加压管等全部设备从钻孔中取出。

5) 测量水压致裂裂隙和钻孔试验段天然节理、裂隙的位置、方向和大小。测量可以采用井下摄影机、井下电视、井下光学望远镜或印模器,使用印模器则比较简单经济。

图片

内容源于网络,旨在分享,如有侵权,请联系删除


相关资料推荐:

初始应力对大跨径钢管混凝土拱桥稳定承载力的影响研究

https://ziliao.co188.com/p62370226.html



知识点:岩体初始应力及其测量


全部回复(0 )

只看楼主 我来说两句抢沙发
这个家伙什么也没有留下。。。

道路工程

返回版块

15.09 万条内容 · 689 人订阅

猜你喜欢

阅读下一篇

沥青混凝土拌合站施工工艺及管理

一、原材料质量管理 热沥青混合料是由集料、粉料和沥青三部分组成的。原材料的管理主要涉及到在贮存、运输、装卸、检验各个环节中如何保证原材料的质量和安全生产的问题。  1.1 沥青材料的管理及取样  1.1.1 沥青材料的质量管理  (1)沥青材料在进入拌和站时应附有原厂的质量合格证和出厂检验单。 

回帖成功

经验值 +10