
模型

1) 1.3自重+1.5活+0.9温升

去除球壳应力图

整体模型分析结果

单独球体分析结构

杆件分析结果
1) 1.0自重+1.5风+0.9温降


球饺支座是一种实现支座释放弯曲约束的同时,可以承担竖向载荷和水平载荷的成品支座节点。
一、支座的传力路径
压力传力路径:
外力 上支座板 不锈钢板 聚四氮乙烯平板 球面钢衬板 球面聚四颌
乙烯板 下支座板
拉力传力路径:
外力 -上支座板 下支座板
剪力传力路径:
外力 上支座板 下支座板
二、承载力及转动验算
由于支座差异较大,对于仅承受单一载荷条件(即拉、压、剪)的支座,仅需要对给定的单一力学状态下分别进行强度验算;对于承受拉、剪或压、剪共同作用载荷条件的支座,可直接对拉、剪或压、剪共同作用状态下进行强度验算(不需要对单一力学状态进行 验算)。
(1) 支座承受压力时计算
承受压力的支座在整个传力路径的各部件中,由千聚四氮乙烯版的允许压应力为60MPa, 远低于钢材的设计强度,因此,承受压力的支座只需对聚四氟乙烯板的允许承载力进行验算。

式中 P 支座承受设计压力;
D--支座内部聚四颌乙烯板直径;
fs- 聚四颌乙烯板的允许压应力。
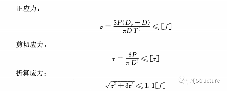
如果支座连接杆件固定在上支座顶板聚四娠乙烯板对应位置外侧,如图 1 所示,且未在杆件内部设置加劲板时,尚应对上支座板的顶板在承受压力时的剪切和弯曲应力验算。
受力简图件图 2 。



式中 P 支座承受压力设计值;
D——聚四氝乙烯板直径;
Dp- 上支座板连接杆件管壁厚度中心位置半径,即 (D外 +D内) /2;
T 上支座板顶板厚度。
(2) 支座承受拉力时强度计算
承受拉力的支座,拉力主要通过上支座板内凸缘与下支座板外凸缘之间的咬合面接触压应力进行传递,需要验算的内容包括内外凸缘接触面的承压验算、内外凸缘的剪切和弯曲验算。(内外凸缘的厚度一般相等,即 H1 =h1, H2 =h2, 内外凸缘沿环向按角度
等分。)上支座板内凸缘与下支座板外凸缘接触面压应力验算:
上支座板内凸缘与下支座板外凸缘接触面压应力验算:

下支座外凸缘弯曲应力验算(上支座板内凸缘根部宽度大于下支座板外凸缘根部宽度,因此,只需要计算下支座板外凸缘即可,如果内外凸缘根部厚度不等则需要分别进行验算):

下支座外凸缘剪应力验算(上支座板内凸缘根部宽度大于下支座板外凸缘根部宽度,因此,只需要计算下支座板外凸缘即可,如果内外凸缘根部厚度不等则需要分别进行验算):

下支座外凸缘折算应力验算(上支座板内凸缘根部宽度大于下支座板外凸缘根部宽度,因此,只需要计算下支座板外凸缘即可,如果内外凸缘根部厚度不等则需要分别进行验算):

式中 F 支座承受设计拉力;
D1 上支座板内凸缘内径;
dz 下支座板外凸缘外径;
di 下支座板外凸缘内径;
H1 下支座板外凸缘根部厚度;
[f] 支座板材料设计允许正应力强度;
[已 支座板材料设计允许剪应力强度。
如果支座连接杆件固定在上支座板筒体对应位置内侧,如图 3所示,且杅件外未设置部加劲板时,尚应对上支座板的顶板在承受拉力时的剪切和弯曲应力验算。计算简图见图4。
图 3
图4
支座在承受拉力作用时,尚应对下支座底板的弯曲与剪切进行验算,验算方法同上支座板。
内容源于网络,仅作分享使用,如有侵权,请联系删除
相关资料推荐:
知识点:钢桁架支座节点计算
0人已收藏
0人已打赏
免费4人已点赞
分享
钢结构工程
返回版块46.53 万条内容 · 1214 人订阅
阅读下一篇
某高校游泳馆张弦梁设计前言:采用传统NL法,定义初始协调体系的预应力索梁结构——张弦梁分析。 一,工程概况 游泳馆室内效果图 3D3S模型钢屋盖轴测图(横向跨度36m) 一榀张弦梁单元 二,几何非线性计算 (1)位移收敛准则:张弦梁刚度不大,一点的外荷载就会引起很大的位移改变。并采用传统牛顿—拉夫逊(Newton—Raphson法)非线性梁单元迭代方法。
回帖成功
经验值 +10
全部回复(0 )
只看楼主 我来说两句抢沙发