对于钢梁(受弯构件)的局部稳定,采用控制翼缘弹性临界宽厚比,区分腹板的高厚比(80ek)以及是否考虑屈曲后强度,进而验算腹板板件稳定或者考虑梁腹板屈曲后截面强度计算的方式进行钢梁的局部稳定设计。
对于轴压与压弯构件的局部稳定有两种考虑方法:一种是不允许板件屈曲先于构件整体屈曲,以板件与构件的等稳准则确定不发生局部屈曲的板件临界宽厚比;一种是宽厚比超限,允许构件屈曲。虽然板件屈曲会降低构件承载能力,但由于构件的截面较宽,构件整体刚度好,可以考虑基于构件有效截面计算的屈曲后强度。
一,轴压构件局部稳定
(一)H形截面
翼缘和腹板的屈曲临界宽厚比都可以用下式表达:

翼缘和腹板θ取值不同(θ为考虑板件不同嵌固条件的具有应力量纲的参数)。式中取b类截面稳定系数。
得到《钢标》式7.3.1-1与式7.3.1-2的H形截面板件不发生局部屈曲的宽厚比限值。
(二)箱型截面
双腹壁箱型截面壁板屈曲临界宽厚比与H形截面有所区别:

可以注意到此式不与构件长细比发生关系,源于板件局部屈曲应力等于材料屈服强度准则。
得到《钢标》式7.3.1-3的箱型截面板件不发生局部屈曲的宽厚比限值。(注意:《钢标》中轴压构件箱型截面满足局部稳定的宽厚比限值也是与长细比λ无关的)。
二,压弯构件局部稳定
(一)H形截面翼缘
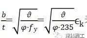
《钢结构基础》第四版(陈绍蕃 顾强主编)提到:根据受压最大的翼缘和构件的等稳定准则,压弯构件的翼缘一般都在弹塑性状态屈曲。翼缘宽厚比的容许值可以按照下式确定:

对于S3级构件(计算强度稳定取γx=1.05),b1/t≤13ek;对于S4级构件,b1/t≤15ek。
《钢标》未提及压弯构件采用有效截面计算板件屈曲后强度时翼缘有效宽度的取值,笔者认为可以与受弯构件同取15ek。(计算翼缘有效截面不考虑受压翼缘15ek以外的部分)
(二)H形截面腹板
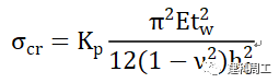
弹性状态发生局部屈曲的板:

弹塑性状态发生局部屈曲的板:

代入σcr=fy,分别得到《钢标》表3.5.1压弯构件S4(弹性)与S3(发展局部塑性)腹板高厚比限值。
根据《钢结构基础》第四版(陈绍蕃 顾强主编):在宽度很大的实腹式柱中腹板的高厚比也可以超过由式(4-158)(指压弯构件S3截面腹板高厚比限值)。这时应采取腹板的有效截面进行构件的整体稳定验算。而规范的相关规定采用的是S4截面腹板高厚比限值,这一点教科书说法与规范不太一致。教科书认为对于在弯矩作用平面失稳的压弯构件,截面一般都不同程度地开展塑性。
(三)箱型截面壁板
截面宽厚比限值采用H形截面限值中时对应取值。(笔者认为可类似于考虑壁板为均匀受压)。
内容源于网络,仅作分享使用,如有侵权,请联系删除
相关资料推荐:
知识点:轴压与压弯构件板件的局部稳定
0人已收藏
0人已打赏
免费4人已点赞
分享
钢结构工程
返回版块46.53 万条内容 · 1214 人订阅
阅读下一篇
钢结构钢桁架抗震性能化设计本设计中钢桁架与型钢混凝土框架柱为刚接,且跨度较大(40.5m)。现对该重要结构构件按照《钢结构设计标准》(GB50017—2017)进行抗震性能化设计。 将桁架建入盈建科整体模型中,验算本地区抗震设防烈度的多遇地震作用的构件承载力和结构弹性变形(小震不坏)、采用中震等效弹性根据其延性验算设防地震作用的承载力(中震可修),最后采用静力弹塑性Push Over分析验算结构在罕遇地震作用下的弹塑性变形(
回帖成功
经验值 +10
全部回复(0 )
只看楼主 我来说两句抢沙发