前言:结合王立军大师的《17钢标疑难解析》以及陈绍蕃教授《钢结构原理(第四版)》并参阅有关资料,浅谈我对受弯构件的翼缘和腹板的局部稳定问题的理解,钢梁考虑腹板屈曲后强度的计算以及考虑腹板屈曲后强度设计在3D3S软件中的实现。
一,梁(受压)翼缘的局部稳定
梁的受压翼缘和轴压杆类似,在荷载作用下有可能出现局部屈曲。翼缘的局部稳定通过限制宽厚比的办法实现,即保证其必要厚度。宽厚比控制办法有两种:
(1)板件的屈曲临界应力等于材料的屈服应力——弹性宽厚比的概念:
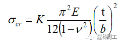
弹性截面的宽厚比是截面进入屈服和板件开始屈曲的弹性界限宽厚比,简称弹性宽厚比。根据《17钢标疑难解析》,由弹性板的平衡微分方程得到临界应力

代入

并考虑初始缺陷,得到受弯构件S4截面翼缘宽厚比限值:15ek。
我的理解是:翼缘边缘屈服的同时翼缘板件屈曲,因此强度计算时不考虑截面塑性发展系数。梁翼缘宽厚比大于15ek时,翼缘板屈曲先于截面屈服!!!因此此时钢标中受弯构件的截面强度验算采用有效截面,属于利用板件屈曲后强度。
(2)(等稳定条件)板件的屈曲不早于构件的整体屈曲
截面可以出现部分塑性,且此时翼缘板不屈曲。13ek。
二,梁腹板的局部稳定
腹板的局部稳定可通过高厚比来保证,腹板高厚比有几个常见的比值:
(1)250:也就是S5级截面限值,为了避免过于纤薄的腹板可能导致的焊接翘曲。任何情况均应小于此值。
(2)大于80ek:
1,若不考虑梁腹板屈曲后强度,宜配置横向加劲肋(对直接承受动力荷载的梁,应配置横向加劲肋)(钢标6.3.2-3),且应按钢标6.3.3与6.3.4验算腹板的局部稳定。此处设置腹板加劲肋是防止腹板的屈曲。
2,考虑腹板屈曲后强度,可不配置横向加劲肋,仅配置支承加劲肋。或仅在较大荷载处配置中间横向加劲肋。当无法满足《钢标》式6.4.1-1屈曲后强度要求的时候,需要设置腹板加劲肋,以提高腹板的曲屈后强度。这里加劲肋与前面高厚比不满足时候设置加劲肋的概念不太相同。前者设置加劲肋是为了不让钢梁腹板曲屈,后者设置加劲肋是为了提高梁腹板曲屈后的强度,充分发挥腹板屈曲后的材料利用!!!
(3)小于80ek:对有局部压应力的梁,宜按照构造配置横向加劲肋;但无需验算腹板区格的局部稳定。当局部压应力较小时,可不配置加劲肋。
三,3D3S考虑梁腹板屈曲后强度
3D3S考虑梁腹板屈曲后强度验算仅针对:
(1)热轧普通工字钢与焊接H型钢
(2)轴压(拉)比小于设定值——纯弯构件

钢梁模型:

考虑梁腹板屈曲后强度验算前后结果对比:


内容源于网络,仅作分享使用,如有侵权,请联系删除
相关资料推荐:
知识点:钢梁板件
0人已收藏
0人已打赏
免费4人已点赞
分享
钢结构工程
返回版块46.53 万条内容 · 1214 人订阅
阅读下一篇
基于MidasGen软件的钢桁架连廊舒适度分析本项目在住院楼与妇儿专科楼10层、11层和12层之间有平行布置的跨层钢桁架连廊。支座中心跨度约为47m。如图所示。 根据建筑空间功能的要求,连廊楼板局部开洞,对结构整体面内面外刚度均造成削弱。在满足钢结构截面强度和杆件稳定的情况下,对钢桁架连廊进行挠度和楼板舒适度验算。本结构计算采用3D3S空间钢结构设计软件和Midas Gen三维有限元分析程序。 对钢结构连廊通过特征值分析得到结构的竖向自振频率为
回帖成功
经验值 +10
全部回复(0 )
只看楼主 我来说两句抢沙发