单向张弦梁或张弦桁架(以下简称为张弦梁)由上弦钢梁(桁架)、竖向撑杆及下弦拉索组成,其具有体系简单、受力合理、充分发挥高强材料强度等优点,是大跨钢结构中常见的结构形式。张弦梁设计时,合理的索形及初应变是设计时需要解决的重要问题。本文根据张弦梁受力特点,用弯矩图法或平衡荷载法,得到其最合理形状及初应变,并通过实例进行说明和验证。
一、竖向荷载作用下张弦梁受力分析

张弦桁架组成及受力

张弦桁架受力分析
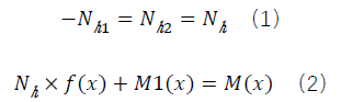
;拉索轴力的水平分力也不随值变化,记为
;由水平向合力为零可得式(1);假定张弦梁对应受同样荷载和跨度简支梁相应位置的弯矩值为
,由弯矩平衡,可得式(2),其中
为单向张弦桁架的腹高或腹厚函数。

在式(2)中,
不随变化,如使
,则
,此时单向张弦梁(桁架)中所有构件均为二力杆。
二、用弯矩图法确定合理形状和初应变
根据竖向荷载作用下张弦梁的受力特点,可以按照以下步骤确定合理索形及初应变。
(a)根据外荷载按照简支梁计算弯矩函数
,并确定跨中弯矩
(b)根据经验跨高比确定单向张弦梁(桁架)的最大高度H;
(c)按照
确定荷载态索的水平分力;
(d)按照
确定腹高函数,即得到合理索形。
(e)由索的水平分力
可确定各处索力,根据索力进一步确定索的原长及初应变。
(f)由上弦杆的水平分力
可确定上弦杆各处轴力,根据轴力进一步确定上弦杆的原长或初应变。
一般情况下,上弦杆受压前后的长度变化不大,可忽略其长度变化。但当张弦梁跨度较大时,上弦杆下料时应考虑其初应变。如张弦梁跨度100m,荷载态时上弦杆平均轴向应力100MPa,则上弦杆总压缩量为

即上弦杆下料总长度应比零态时的长度多49mm。
三、用平衡荷载法确定合理形状和初应变
(1)竖向荷载作用下几类构件平衡荷载计算
平衡荷载可理解为结构或构件抵抗外荷载的能力。为分析张弦梁(桁架)的平衡荷载,先分析简单构件的平衡荷载。

拉索微单元受力 无轴力受弯杆微单元受力 拉弯或压弯拱微单元受力
a)柔性拉索平衡荷载分析
竖向力平衡可得
(3)
两边同除以
,得式
(4)
取极限,即
,可得式
(5)
由A点弯矩为0可得式
(6)
上式两边同除以
,可得
(7)
取极限,即
,可得
(8)
式(8)两边对x再求导,得
(9)
将式(5)代入式(9),可得拉索的平衡荷载
(10)
b)无轴力受弯杆平衡荷载分析
同理,由竖向荷载平衡可得式
(5)
由A点弯矩为0,可得
(11)
上式两边同除以
,可得
(12)
取极限,即
,可得
(13)
两边对x再求导,可得
(14)
将式(5)代入式(14),可得无轴力受弯杆的平衡荷载
(15)
c)拉弯或压弯拱平衡荷载分析
同理,由竖向荷载平衡可得式
(5)
由A点弯矩为0,可得
(16)
上式两边同除以
,可得
(17)
上式取极限,即
,可得
(18)
上式两边对x再求导,可得
(19)
将式(5)代入式(19),可得拉弯或压弯拱的平衡荷载
(20)
d)张弦梁(桁架)平衡荷载计算
用
代替,将式(20)中
用
代替,
用
代替。得:
(21)
其中
为上弦钢梁(桁架)的形状函数,
为下弦拉索的形状函数,
为张弦梁的腹高或腹厚函数,
为上弦钢梁(桁架)轴力的水平分力。
如果将式(2)两边对进行两次求导,并根据式(15),同样可得到式(21)。可见用平衡荷载法计算得到的微分公式与弯矩图法得到的微分公式本质上式一样的,但平衡荷载法意义更明确。
(2) 用平衡荷载法确定合理形状和初应变的步骤
根据以上分析,本方法确定合理索形及初应变的步骤如下:
(a)确定外荷载函数
,预估
值。
(b)令上弦杆弯矩值恒为零,则
,根据式(21)解f函数通解,二阶常微分方程通解含两个未知数。
(c)由边界条件求出两个未知数,得到腹高函数f。
四、两种方法的比较
由以上分析可知,两种找形的方法理论上是一致的,找形的结果是一致的。弯矩图法应用范围更广,当外荷载不可导或包含集中荷载时仍使用。平衡荷载法意义更明确,但不适用于外荷载不可导或包含集中荷载的情况。两种方法即可以独立使用,也可以结合起来使用。
五、合理形状及初应变的一些性质
外荷载、合理的腹高(厚)函数或合理形状、合理的初应变三者成组出现,并且可以由很多解。根据其性质,可求得多组解。
(1)拉伸性质
不变的前提下,竖向拉伸上弦钢梁(桁架)或下弦拉索,改变后的形状仍为合理的形状及初应变。如下图所示,拉伸变化后的形状仍为合理形状。

通过拉伸变换得到的合理形状
(2)缩放性质
由前述推导过程可知,将腹高(厚)放大或缩小k倍,对应的水平分力
缩小或放大1/k倍,将得到一组新的合理形状及初应变。
(3)叠加原理
可以证明,找形过程满足叠加原理。若外荷载一对应的合理形状函数为
,水平分力
;外荷载二对应的合理形状函数为
,水平分力
;则外荷载一加外荷载二对应的合理形状函数为
,水平分力为
。
若外荷载一对应的合理形状函数为
,水平分力
;外荷载二对应的合理形状函数为
,水平分力
;则外荷载一加外荷载二对应的合理形状函数为
,水平分力为
。
(4)三种弯矩(力偶)的关系

上下弦杆的拉压力形成的力偶图形
如上图所示,张弦梁(桁架)上下弦杆的拉压力形成的力偶图形与上下弦杆包围的区域始终相似,两者相差
倍。

外荷载对张弦梁(桁架)产生的弯矩图缩放
倍
将外荷载对张弦梁(桁架)产生的弯矩图缩放
倍如上图所示画出来,会得到下图阴影所示差值。影部分放大
倍,即为上弦钢梁(桁架)的弯矩图。当前两个图像完全重合时,差值图像为0,表示上弦钢梁(桁架)为轴压状态。

六、实际工程中腹杆高度的近似处理

七、工程实例
一游泳馆屋盖跨度40m,拟采用单向张弦梁结构,张弦梁受线荷载标准值20kN/m,按照弯矩图法确定合理的张弦梁腹高及初应变。
(1)跨中弯矩标准值:

(2)按照跨高比为10确定张弦梁高度
;因外荷载产生的弯矩图为抛物线形,因此合理的腹高函数
为跨度为40m,矢高为4m的抛物线。
(3)拉索水平分力或上弦杆压力水平分力:

,取
级别
高钒索,破断力为4310kN;同理取上弦杆截面为箱形截面500X250X16,材质为Q355。撑杆按长细比控制,取圆管
。

(5)软件分析此张弦梁的初始态及标准荷载下的内力,结果如下:

初始态变形(仅初应变,不含自重)

荷载标准组合下的变形(最大变形1.363mm,理想变形为0)

上弦钢梁最大弯矩值12.1kN.m (理想值为0)

下弦拉索轴力 (理想结果为水平分力1000kN)
(6)小结
通过实例可知,在合理的形状及初应变作用下,初应变+荷载标准组合下,结构的变形与零态或建筑师设计的位置基本完全重合,上弦杆近似轴压状态,弯矩值接近零。软件计算结果与理论值的差别是由上弦杆轴压作用下长度弦缩短引起。
八、结论
内容源于网络,仅作分享使用,如有侵权,请联系删除
相关资料推荐:
知识点:张弦梁
0人已收藏
0人已打赏
免费5人已点赞
分享
钢结构工程
返回版块46.53 万条内容 · 1214 人订阅
阅读下一篇
超实用!六方面巧解钢桁架全流程施工关键点钢桁架是用钢材制造的桁架,工业与民用建筑的屋盖结构吊车梁、桥梁和水工闸门等,常用钢桁架作为主要承重构件。各式塔架,如桅杆塔、电视塔和输电线路塔等,常用三面、四面或多面平面桁架组成的空间钢桁架。
回帖成功
经验值 +10
全部回复(0 )
只看楼主 我来说两句抢沙发