圆曲线两端缓和曲线不等长的基本曲线形式:第一直线段→第一缓和曲线段→圆曲线段→第二缓和曲线段→第二直线段。曲线形式及各要素如图4所示,由于圆曲线两端的缓和曲线不等长,故曲线中点与圆曲线的中点不一致,一般取曲线交点与圆心的连线与圆曲线相交之点M作为曲线中点。

1 曲线要素计算

2 切线支距坐标计算
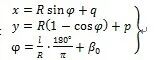
缓和曲线:
(3-10)
式中:l 计算点至直缓点ZH或缓直点HZ的曲线长,ls 为缓和曲线长度。
圆 曲 线:
(3-11)
式中:l 为计算点至缓圆点HY或YH点的曲线长,为该点圆曲线部分的长度,即该点里程与HY或YH点里程之差;φ为弧长l对应圆心角。
3 中桩坐标计算
参见图5,分段对各曲线组成段进行坐标计算。

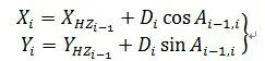
3.1 HZ点(包括路线起点)至ZH点之间的中桩坐标计算
此段为直线段,即第一直线段,计算点坐标按下式计算:
(4-1)
式中:Ai-1,i 为路线导线JDi-1 至JDi 的坐标方位角;Di 为计算点至HZi-1 点的距离,及计算点里程与HZi-1 点里程之差。
实际计算过程中,通过换算Ai-1,i 的反方位角即JDi 至JDi-1 的坐标方位角Ai,i-i 来计算第一直线段中桩坐标。计算式如下:
(4-2)
式中:Di 为计算点至JDi 的距离,及计算点里程与JDi 里程之差。
3.2 ZH点至YH点之间的中桩坐标计算
此段包括第一缓和曲线及圆曲线,可按式(3-10)和式(3-11)先分别计算出切线支距坐标x、y,然后通过坐标变换将其转换为测量坐标X、Y。坐标变换公式为:
(4-3)
当曲线为左转角时,应以yi=-yi代入;ZHi点的坐标采用(4-2)计算。
3.3 YH点至HZ点之间的中桩坐标计算
此段为第二缓和曲线,仍按(3-10)计算切线支距坐标,再按下式转换为测量坐标:
(4-4)
当曲线为右转角时,应以yi=-yi代入。
实际计算过程中,Ai,i+1应换算成Ai-1,i与转角α的关系式,即:
(4-5)
当为右偏角时取“+”号,当为左偏角时取“-”号。
4 中桩切线方位角计算
如图5,第一直线段切线方位角即Ai-1,i,第二直线段切线方位角即Ai,i+1。第一缓和曲线段、圆曲线段及第二缓和曲线段切线方位角计算分别如下:
4.1 第一缓和曲线段切线方位角计算
(5-1)
式中:右转角时G=1,左转角时G=-1;
其中l为计算点至ZHi点的里程差。
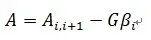
4.2 圆曲线段切线方位角计算
(5-2)
中:G同前;β1按式(3-1)计算。
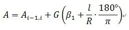
4.3 第二缓和曲线段切线方位角计算
(5-3)
式中:G同前;
其中l为计算点至HZi点的里程差。
5 边桩坐标计算
在计算出中桩坐标及中桩法线方位角后,只需给出左偏角(或右偏角)、左边距和右边距,就能求出边桩坐标。如图6所示,左、右偏角只需给出其中任一个,另一个偏角可通过±180°求得。

偏角值输入及计算如图6所示,A为中点切线方位角,WL、WR分别为左、右边距,中桩坐标为Xi、Yi,则边桩坐标计算如下式:
左边桩:
(6-1)
右边桩:
(6-2)
6 坐标反算
坐标反算即已知路线外任意点坐标,反算该点对应线路中桩里程及至中线的垂距。
如图7所示,AB为一曲线元,点P为一地面点,点P的坐标为已知或可用仪器测得。过点P作垂线PP′,lP为垂足点P′到起点A之间的弧长,DP为点P与线路中线的垂距。由图可知,点P与线路中线相对位置可由2个唯一的量lP和DP确定。由于点P可能位于中线的左边或右边,所以为了区分,DP也分正负,当P点位于线路左边时取负值,反之取正值。

直接求解DP和lP十分困难,故采用趋近原理来达到计算目的。如图7所示,已知曲线元起点A的坐标(XA,YA),过点A的切线方位角αA,地面点P的坐标(XP,YP),现求lP 和DP。
坐标反算计算原理如下:
⑴取点P到起点A法线的垂距l1的绝对值作为lP的近似值,计算该近似弧长对应里程中心桩号(即P1点里程)及中桩坐标与切线方位角;
⑵再以P点到通过P1点法线的垂距l2加上l1作为新的lP的近似值,同样计算该近似弧长对应里程中心桩号(即P2点里程)及中桩坐标与切线方位角;
⑶如此类推,直至计算P点至上一近似弧长对应里程中心桩号法线的垂距绝对值等于0或小于精度要求范围内的某一微小数值(一般取<0.001m),则此时所得近似弧长对应里程即所求P点对应路线中心桩号(即P′点),并计算该里程中桩坐标及切线方位角;
⑷根据P点及P′点坐标计算两点间距,即DP;为满足前面所说的当P点位于线路左边时DP取负值,反之取正值的目的,DP值用如下公式计算:
(7-1)
式中:α法 即P'点处法线方位角。
计算过程中点到直线的垂距公式如下:
(7-2)
该公式推导原理为,分别以P点和P′点坐标及P′点切线方位角和法线方位角计算垂点坐标X或Y
推荐资料(点击文字跳转):
知识点:基本曲线要素及坐标计算
0人已收藏
0人已打赏
免费0人已点赞
分享
工程测量
返回版块7.08 万条内容 · 311 人订阅
回帖成功
经验值 +10
全部回复(0 )
只看楼主 我来说两句抢沙发