土木在线论坛 \ 建筑设计 \ 建筑构造 \ 吸声材料与构造

吸声材料与构造

发布于:2022-10-20 16:44:20 来自:建筑设计/建筑构造 [复制转发]

很多朋友都会有类似的疑虑:什么样的材料是吸声材料?吸声材料的特点有哪些?应该在装修中了解吸声材料的哪些数据,并加以使用?

这是个复杂的话题,要是认真计算起来,那就不是一两页能说清的。我们就拣重要的点来说,还是那个原则,多原理、少计算。

最主要的吸声材料是多孔材料

多孔材料很常见,棉麻毛等有机纤维就是一种环保高效的多孔吸声材料。你还可以在市场上看到由玻璃棉、岩棉等无机纤维材质构成的吸声材料,它们一般被添加一些粘接剂制成毡、板等形状,以便运输加工,这是目前市场上最常见的吸声材料。有机纤维的吸声性能其实也很好,不亚于无机纤维,而且自带环保属性,但是几个天然的重大缺陷导致它在工程中很少有人使用。

有机纤维的重大缺陷:防火性能极差、易受虫蛀影响、耐用性差。

无机纤维不存在以上的问题,无机纤维的原料是玄武岩,大白话就是用山上石头做的,跟玻璃一样,火烧不着,虫子不吃,没外力也不会坏。

但无机纤维吸声材料也不是完美无缺的,正规的岩棉产品对人体没什么危害,但很多人,尤其是有些文化程度不高的装修队伍,分不清岩棉和石棉的区别,尽管石棉产品主要是用于防火,但我国市场上仍然是有很多品名为“吸音板”“隔音板”等的劣质声学装修产品里或多或少地掺有石棉。

石棉是有害的,石棉碎屑如果被吸入肺部,将无法排出体外,最终会导致肺癌等严重疾病。别以为这是图便宜的小工作室才会用的东西,事实上前一段时间,刚刚曝出一个新闻:

悉尼歌剧院翻修时,发现大量使用石棉。

图片

石棉如果就单纯地放在那,那是没有任何问题的(比如你在化学课上使用的石棉网)。但是,经历了这么多年的风雨寒暑,谁能保证建筑装修时使用的石棉,还是和刚装修好时完全一样,没有一丝一毫的剥落和损坏呢。

悉尼歌剧院是1973年建成的,已经投入使用40多年,就算是再优质的材料也肯定会有大量碎屑产生,而这些碎屑不可避免地会慢慢由建材的缝隙泄露,慢慢地飘落到舞台和观众席,随着呼吸进入人体,最后停留在肺部。

举国之力建造的经典专业建筑尚且如此,你还能掉以轻心吗?

我用很长一串话来再三强调材料的成分,大家购买时特别注意下躲开石棉,还有甲醛等等常见污染源就可以了,预算要给足,千万别图便宜,因为你将要天天坐在这个房间里,自己的身体比什么都重要。我并不打算讲吸声材料的孔隙率、流阻这些,即使分析计算得再清楚,对于普通使用者而言没有任何意义,因为使用者只能是毫无选择余地地从市场上买回现成的材料加以使用。后面我要大量讲的是吸声结构,通过一系列的测量和计算,可以简单准确地控制吸声的指标。


2、吸声结构

(1)薄膜/薄板吸声结构

先上示意图

图片

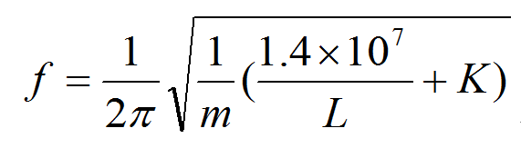
薄膜吸声结构的原理是用不透气的软质膜状材料(例如塑料薄膜)与背后的封闭空气层共同形成一个质量——弹簧系统。当该系统受到声波作用时,将对系统共振频率附近形成较大的声吸收。如果薄膜不施加拉力,那么共振频率f可计算如下:


图片

m——薄膜的单位面积重量

L——空气层厚度


如果将薄膜换成薄板(如塑料板、石膏板、木质纤维板等),那么就必须考虑其能够传播弯曲波的影响,或称之为劲度,用K表示(此数据可由薄板材生产商提供),那么此时共振频率f可计算如下:

图片


薄膜/薄板结构可用来对付频率较为单一的声波,在工程实际运用中,我们可以先计算清楚房间驻波的数据,然后有针对性地设计制作薄膜/薄板结构加以应对。


(2)穿孔板吸声结构

穿孔板吸声结构由穿孔板材和背后的空气层组成,可以把它看作是亥姆霍兹共振器的组合与扩展。它的吸声特性主要由板厚、孔径、孔距、空气层等数据决定。由于穿孔板可进行装饰处理(例如油漆),且一般具有较好的强度,因此在工程中应用十分广泛。

穿孔板吸声结构的共振频率f计算如下:

图片

c——声速

t——穿孔板厚度

d——孔径

P——穿孔率(穿孔面积与总面积之比)

L——空气层厚度

由公式可见,市场上购买的成品穿孔板材,无法调节t、d、p的值,因此主要的变量为L,也即空气层厚度。在实际工程运用中,常将此结构运用在吊顶处,此时L即可有较大范围的调节空间,而不影响使用面积。


(3)空间吸声体与可变吸声构造

这个只简单说一下。

空间吸声体好比声学构造里的活性炭,它能在尽量不占用过多使用面积的前提下,增大吸声效果,减少施工工时。一般这种空间吸声体可以买到成品,也可以自己用穿孔板做外壳,内填多孔吸声材料制作。

图片
体育场内吊挂的空间吸声体

可变吸声构造在大型专业录音棚内运用十分广泛,它是一些专门设计的吸声帷幔、吸声屏风,可活动墙壁等,可以自行制作也可购买成品。按照计算好的变量,将其放置在预定位置,即可方便快捷地改变混响时间。

知识点:吸声材料与构造

求助:地下室机房的吸声材料采用什么

全部回复(0 )

只看楼主 我来说两句抢沙发
这个家伙什么也没有留下。。。

建筑构造

返回版块

7.65 万条内容 · 194 人订阅

猜你喜欢

阅读下一篇

建筑构造-墙面装修

3.5.1墙面装修的作用及分类 墙面装修是建筑装修中的重要内容。对墙面进行装修,可以保护墙体、提高墙体的耐久性;改善墙体的热工性能、光环境、卫生条件等使用功能;同时,可以美化环境,丰富建筑的艺术形象。 墙体装修按其所处的部位不同,可分为室外装修和室内装修。按材料及施工方式的不同,常见的墙面装修可分为抹灰类、贴面类、涂料类、裱糊类和铺钉类等五大类。见表3.5。 3.5.2墙面装修的构造 1.抹灰类墙面装修

回帖成功

经验值 +10