知识点:额定电流
根据公式

式中 P——三相电动机容量,kW;
I1——三相电动机额定电流,A;
U1——电源电压,kV;
η——电动机效率(取η=0.9);
cosφ——电动机功率因数(取cosφ=0.85)。
得出计算口诀:
口诀1:
容量除以千伏数,商乘系数点七六。
此口诀适用于任何电压等级的三相电动机额定电流计算,如220V、380V、660V、3kV、6kV、10kV。由公式及口诀均可说明容量相同而电压等级不同的电动机的额定电流是不相同的,即电压千伏数不一样,去除相同的容量,所得“商数”显然不相同,不相同的商数去乘以相同的系数0.76,所得的电流值也不相同。若把口诀1叫做通用性口诀,将其进一步具体简化,则可推导出估算220V、380V、660V、3kV、6kV、10kV电压等级电动机的额定电流专用性计算口诀。用专用性口诀计算某台三相电动机额定电流时,容量千瓦与电流安培关系直接倍数化,省去了容量除以千伏数,商数再乘系数0.76。
口诀2:
三相二百二电机,千瓦三点五安培。
常用三百八电机,一个千瓦两安培。
低压六百六电机,千瓦一点二安培。
高压三千伏电机,四个千瓦一安培。
高压六千伏电机,八个千瓦一安培。
高压十千伏电机,十三千瓦一安培。
(1)口诀1使用时,容量单位为kW,电压单位为kV,电流单位为A。此点一定要注意
(2)口诀1中系数0.76是考虑电动机功率因数和效率等计算而得的综合数 值。功率因数为0.85,效率为0.9,此两个数值比较适用于几十千瓦以上的电动机,对常用的10kW及以下电动机则显得大些。这就使得用口诀1计算出的电动机额定电流与电动机铭牌上标注的数值有误差,此误差对10kW及以下电动机按额定电流选开关、接触器、导线等影响很小。且0.85×0.9≈0.76,1除以0.76与(1.732)的乘积,恰好又得0.76。由得出口诀1的公式可看出:按三相电动机容量(kW),求算电动机额定电流时,只要用电动机配接电源电压(kV)数去除0.76,再乘以功率(kW)数,即得该电动机额定电流(A)数。0.76又恰好是常见的低压380V电动机0.38kV的2倍,0.76÷0.38×P=2P。
(3)运用口诀1计算技巧。用口诀计算常用380V电动机额定电流时,先用电动机配接电源电压0.38kV去除0.76,商数2去乘以容量(kW);若遇容量较大的6kV电压等级电动机,容量kW数又恰好是6kV的倍数,则容量除以千伏数、商数乘以0.76系数。
【例1-13】 计算YR800-5-10型1800kW、电压6kV电动机的额定电流。解 根据口诀1得

该电动机铭牌上是231A,误差为1.3%。
(4)误差。前面已阐明口诀1中系数0.76是取电动机功率因数为0.85、效率为0.9而算得,这样计算不同功率因数、效率的电动机额定电流时就存在误差。由口诀1推导出的6个专用性口诀2,其容量(kW)与电流(A)的倍数,则是各电压等级(kV)数去除0.76系数的商。专用性口诀简便易心算,但应注意其误差会增大。例如按误差最小的口诀“常用三百八电机,一个千瓦两安培”计算额定电流,与电动机铭牌上的电流值有误差:一般千瓦数值较大的,算得的电流值比铭牌上的略大些;而千瓦数值较小的,算得的电流值则比铭牌上的略小些。对此,在计算额定电流时,当电流达十几安培或几十安培时,则不必算到小数点以后。可以四舍而五不入,只取整数。这样既简单又不影响实用。对于较小的电流值也只要算到一位小数即可。

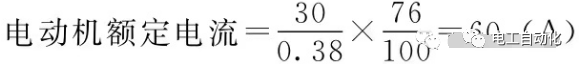
【例1-14】 计算Y225M-6型380V、30kW三相电动机的额定电流。
根据口诀1得

根据口诀2得
电动机额定电流=2×30=60(A)
该电动机铭牌上标注额定电流为59.5A,误差为0.8%。
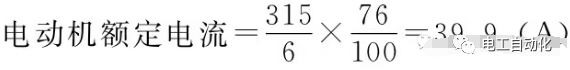
【例1-15】 用口诀(1-10)、口诀2计算Y2-4001-4型6kV、315kW三相电动机的额定电流。解 根据口诀1得

根据口诀2得

该电动机铭牌上标注额定电流为37.7A,故误差分别为5.8%和4.4%。
相关推荐链接:
0人已收藏
0人已打赏
免费1人已点赞
分享
继电保护
返回版块7.33 万条内容 · 486 人订阅
阅读下一篇
谈谈电路中关于电流、电压与磁场、电场的关系知识点:断开电流 电子无处不在,电子的影子随处可见。就在我们的周围,在它的周围存在着各种不可见得力场,这些力场的存在为我们进行深入探讨提供了正当的理由,这些场能够存储能量,并以各种方式影响周围的世界。下面就来具体谈谈。 0 1
回帖成功
经验值 +10
全部回复(0 )
只看楼主 我来说两句抢沙发