土木在线论坛 \ 电气工程 \ 成套电气设备 \ 【“干货”系列】电容额定容量与输出容量的关系

【“干货”系列】电容额定容量与输出容量的关系

发布于:2022-10-17 13:08:17 来自:电气工程/成套电气设备 [复制转发]

知识点:额定输出容量

 说到补偿电容器的额定容量,我们可以很直观的通过电容器基本参数说明很清楚的知道,但是对于电容器的实际输出容量,很多人就不清楚了,今天我们来和大家说说如何通过电容器的额定容量计算他的实际输出容量。

   我们来看一组电容器厂家给出的基本参数表,额定电压,额定容量,额定电容,额定电流等这数据都是厂家给用户直接提供的。 
图片
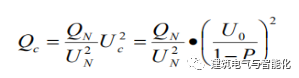
   我们要清楚的是,电容器的额定容量(QN)是指电容器在额定电压下(450V/480V/525V)的无功输出容量。而电容器的实际输出容量(Qo)是指电容器在实际负载电压下(如400V)的无功输出容量。区别在于电压不同,一个是额定电压,一个是实际电压。

   额定容量(QN)与输出容量(Qo)之间的关系:

图片
  举例说明,有一额定电压450V,频率50Hz,额定容量30kvar的电容,并联在400V的电网上,它能向配电系统提供的补偿容量是多少? 
图片
  此外,为了防止谐波对电容器的冲击,会给电容器串联滤波电抗器。如此,同样额定容量为30kvar的电容器,它能向配电系统输出的补偿容量又会是多少呢?串入的电抗器常见的分为7%和14%(电抗率),7%电抗器对应的电容器额定电压是480V,14%电抗器对应的额定电压是525V(详见电容器基本参数表)
参考计算公式
  图片
依据公式,串联7%电抗器后,30kvar电容器的输出容量为:
  图片
同式,串联14%电抗器之后 
图片
  根据上述公式,我们不仅可以计算出分相补偿电容器的实际输出容量,也也可以反推出来安装容量计算的系数,在以后的计算中,可以用安装容量直接乘以相对应的系数即可。
图片


相关推荐链接:

1、解决史上难题-电容器的安装容量和输出容量

2、变电站输出工程项目管理实施规划(附图丰富)



全部回复(0 )

只看楼主 我来说两句抢沙发
这个家伙什么也没有留下。。。

成套电气设备

返回版块

15.97 万条内容 · 619 人订阅

猜你喜欢

阅读下一篇

你知道什么是屏蔽电缆吗?有哪些作用吗?

知识点:屏蔽电缆 屏蔽电缆有屏蔽两字,顾名思义就是在传输电缆外加屏蔽层方式形成的抗外界电磁干扰能力的电缆。电缆结构上的所谓"屏蔽"也是一种改善电场分布的措施。电缆导体由多股导线绞合而成,它与绝缘层之间易形成气隙,导体表面不光滑,会造成电场集中。 一、电缆屏蔽层

回帖成功

经验值 +10