土木在线论坛 \ 建筑结构 \ 结构资料库 \ 阻尼填充墙的特点

阻尼填充墙的特点

发布于:2022-10-13 16:14:13 来自:建筑结构/结构资料库 [复制转发]

阻尼填充墙的特点


一、构造特点及工作原理

阻尼填充墙是将普通填充墙(板)水平划分为若干个砌体单元(划分数量一般为3~4个),在各个砌体单元之间、砌体单元与框架梁之间设置减震层;砌体单元一端与框架柱固结,另一侧与框架柱预留缝隙,基本构造如图1所示。地震作用下,相邻砌体单元之间产生相对位移,迫使减震层产生剪切滞回变形,实现削弱墙体过强刚度效应、耗散一定地震能量、提高墙体抗震性能、减小结构地震反应、减轻墙体损伤等目标。

图片

图1  阻尼填充墙的基本构造


二、技术亮点

亮点1:刚度效应削弱、墙体损伤减轻


对多组黏弹性层进行拟静力试验研究后,得出可用于构筑阻尼填充墙减震层的两种滞回性能良好的黏弹性材料层,两种黏弹性层的滞回曲线如图2所示。

图片

(a)黏弹性层A

图片

(b)黏弹性层B

图2 黏弹性层滞回曲线


分别对空框架、普通填充墙框架、阻尼填充墙框架进行低周往复加载试验,研究滞回曲线、骨架曲线等主要抗震性能指标以及破坏特征的差异。

试验结果表明:(1)使用黏弹性层或低强度砂浆构筑减震层的阻尼填充墙,均可实现相邻砌体单元发生相对滑动以迫使减震层发生剪切滞回变形的预期工作机制;(2)阻尼填充墙刚度效应比普通填充墙大幅度削弱,墙体破坏程度比普通填充墙大幅降低;(3)阻尼填充墙避免了普通填充墙刚度与约束效应对框架梁、柱的不利影响。

阻尼填充墙与普通填充墙、空框架的滞回曲线对比、破坏特征对比分别如图3、4所示。

图片

图3 阻尼填充墙与普通填充墙、空框架的滞回曲线对比

图片

(a)普通填充墙

图片

(b)阻尼填充墙

图4  破坏特征对比


亮点2:对结构构件影响低、墙体分布不均影响小

为实现阻尼填充墙结构的动力响应分析,提出了阻尼填充墙双斜撑简化力学模型,如图5所示。

图片

图5  框架阻尼填充墙双斜撑力学模型


以六层框架结构为例,对比分析了空框架结构、普通填充墙框架结构以及阻尼填充墙框架结构的地震响应及抗震性能,结果表明:

(1)阻尼填充墙框架结构的周期折减幅度小于普通填充墙框架结构;当平面布置不均匀时,阻尼填充墙与普通填充墙相比,其对结构主轴方向动力特性影响大为降低,见表1。


表1  普通填充墙与阻尼填充墙对空框架前三阶振型与自振周期的影响

图片

(2)阻尼填充墙在框架结构中由于竖向不连续布置引起的刚度突变不明显,可有效避免普通填充墙框架结构因首层架空而发生的首层薄弱层破坏,如图6所示。

图片

(a)普通填充墙框架

图片

(b)阻尼填充墙框架

图6 阻尼填充墙对普通填充墙框架结构层刚度突变的改善


(3)可避免普通填充墙对框架结构梁、柱损伤程度的不利影响,如图7所示。

图片

(a)普通填充墙框架

图片

(b)阻尼填充墙框架

图7 普通填充墙框架与阻尼填充墙框架屈服机制的对比


可见,阻尼填充墙通过减震层的剪切滞回变形耗散结构的部分能量,起到减小结构构件的非线性耗能、减轻结构构件地震损伤的作用。


亮点3:平面外承载能力高,可应用于地震高烈度地区


对经历平面内损伤的框架阻尼填充墙进行了平面外静力推覆试验,研究阻尼填充墙的平面外变形特征、受力特征、破坏模式及受力性能,阻尼填充墙的平面外受力及变形特征如图8所示。

试验结果表明:(1)从墙侧看,阻尼填充墙的平面外变形呈三折线的形态,破坏特征为“四铰拱”;(2)阻尼填充墙通过拱承载机制抵抗平面外荷载,具备抵抗9度罕遇地震的承载能力;(3)与使用低强度砂浆作为减震层相比,使用黏弹性层作为减震层的阻尼填充墙具有更高的平面外初始刚度,可更好地控制墙体平面外变形,如图8所示。

图片

(a)受力特征

图片

(b)变形特征

图8 阻尼填充墙的平面外受力及变形特征


亮点4:契合预制墙板构造特点,拓展提出装配式减震墙板


针对建筑工业化的发展趋势,基于阻尼填充墙的基本构造和工作机理,研发了装配式减震墙板,构造如图9所示。根据预制墙板布置方式的不同,可将装配式减震墙板细分为横条型与竖条型装配式减震墙板。

横条型与竖条型减震墙板均通过焊接连接各预制墙板的内置钢筋、以及连接预制墙板内置钢筋与框架柱预埋钢筋,增强装配式减震墙板的整体性,提高装配式减震墙板-框架协同工作性能。现场拼装装配式减震墙板时,遵循先下后上的拼装顺序,拼装完成后对预留缝隙进行填缝处理。

图片

(a)横条型

图片

(b)竖条型

图9  装配式减震墙板构造


对两层两跨装配式减震墙板混凝土框架进行了拟静力试验,结果表明:装配式减震墙板实现了相邻减震墙板单元相对错动、迫使减震层剪切滞回变形耗能的工作机制,有效地削弱普通装配式减震墙板的刚度效应,极大减轻墙体的损伤程度。装配式减震墙板框架与普通装配式墙板框架、装配式空框架的滞回曲线对比如图10所示。

图片

图10 装配式减震墙板框架与普通装配式墙板框架、装配式空框架的滞回曲线对比


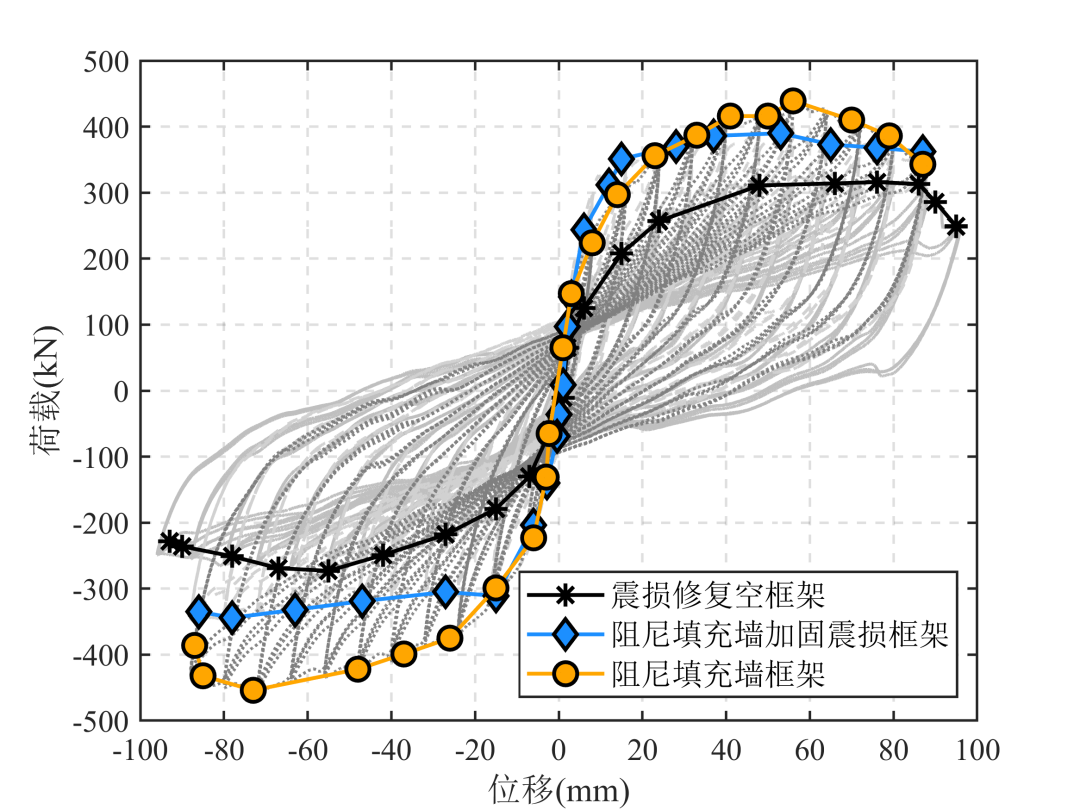
亮点5:加固震损填充墙(板)框架,避免墙体二次损伤

加固震损填充墙框架时若仅对框架结构构件进行加固,仍无法解决因普通填充墙(板)过强刚度及约束效应所带来的墙体破坏严重、结构构件抗震性能受影响等抗震问题。鉴于此,提出了先采用常规方法修复震损框架、后使用阻尼填充墙或装配式减震墙板的加固方法,如图11所示。

图片

图11 阻尼填充墙(装配式减震墙板)加固震损框架方法示意


该方法利用阻尼填充墙或装配式减震墙板良好的抗震性能,避免了墙体自身破坏的同时,提升震损填充墙框架的抗震性能,可实现震损填充墙框架的抗震韧性。拟静力试验结果表明,采用阻尼填充墙、装配式减震墙板加固的震损框架与阻尼填充墙框架、装配式减震墙板框架抗震性能基本一致,抗震性能好于震损修复空框架。阻尼填充墙、装配式减震墙板加固震损框架的滞回曲线如图12所示。

图片

(a)阻尼填充墙

图片

(b)装配式减震墙板

图12  加固震损框架的滞回曲线


亮点6:构建消能减震楼梯间,构筑地震中的“安全岛”


将传统楼梯间内的普通填充墙替换为阻尼填充墙或装配式减震墙板、普通楼梯替换为消能减震楼梯,形成消能减震楼梯间。与传统楼梯间相比,消能楼梯间改善了主体结构与楼梯间的相互传力机制,分别削弱填充墙的刚度和约束效应以及楼梯的强支承效应,显著改善楼梯间的抗震性能。地震时,消能减震楼梯间内的填充墙以及楼梯不产生破坏或破坏程度轻微,可保证逃生通道的安全,使楼梯间成为地震中的“安全岛”。消能减震楼梯间构造示意如图13所示。

图片

(a)阻尼填充墙型

图片

(b)装配式减震墙板型

图13 消能减震楼梯间构造示意

内容源于网络,如有侵权,请联系删除


相关资料推荐:

填充墙与楼板的连接节点构造详图

某室内填充墙基础节点构造图


知识点:阻尼填充墙的特点

全部回复(0 )

只看楼主 我来说两句抢沙发
这个家伙什么也没有留下。。。

结构资料库

返回版块

41.29 万条内容 · 424 人订阅

猜你喜欢

阅读下一篇

填充墙构造柱设置要求终于说清楚,依据3本规范,N本图集!

关于钢筋混凝土结构砌体填充墙中构造柱的设置,我们经常会看到很多不同设置矛盾的设置要求,如最常见的: 1.填充墙墙长超过5m或墙长大于2倍墙高时,墙体中部应加设钢筋混凝土构造柱; 2.当墙长大于墙高且端部无柱时,应在墙端设置钢筋混凝土构造柱; 3.外墙转角、内外墙相交处和外墙长>1m的自由端应设置钢筋混凝土构造柱,外墙长≤1m的自由端应设置钢筋混凝土边框;

回帖成功

经验值 +10