一、英国CoRTN模型
1975年英国发布了CoRTN噪声预测模式,通过多年的试验证明,在1988年相继研究发布了该预测模式的改进版和完善版CoRTN88模型。该模型的评价指标为交通噪声峰值L10;该模型在假设存在恒定速度的交通流和线声源情况下,经常用于高峰交通流较长且流畅的情况下或者与观察者有一定距离的行驶中的火车噪声预测评价中。模型中以L10作为噪声峰值评价指标,考虑车流量和重轻车型比、车流速度和环境数据。
该模式考虑了声波在传播过程中的衰减,如距离衰减、声屏障衰减和反射等影响。同时,对车流量、平均速度、重型车比例和坡度进行校正,则不考虑其车辆的加速度。其表达式为:
该表达式是根据各种不同条件下测得L10拟合曲线推导出来的,虽然使其计算更加简便,却降低了该模式的精度。该模式成为英国、新西兰、中国香港和澳大利亚等国家法院处理交通噪声诉讼案件时认可的唯一标准预测模型。
二、美国FHWA模型
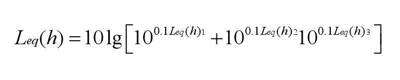
1978年12月,美国联邦公路管理局(FHWA)在FHWA-RD-77-108研究报告中提出并发布了“FHWA公路噪声预测模型”。该模型的评价指标是等效连续A声级,将所有车辆按照一定的标准分为大中小三类;并分别计算各类车型在预测点处的小时等效A声级,再将混合车流中的每种车型按照相应的公式进行叠加,最后得出该受声点处总的交通噪声等效连续A声级。
某类车型的小时等效连续A声级表达式为:


在混合车流中,将各类不同车流的等效声级叠加即可得总混合车流的等效声级。其表达式为:

FHWA模型的适用范围原则上有一定的限制,且只应用在单车道公路噪声预测中;但对多车道公路而言,将每条车道的交通噪声单独计算,再进行多条车道的叠加处理。该模型将车流作了假设和简化:因为公路上的车流为双向车流,此处将车流在两个方向上平均分配,并假设各向车流的车型比也相同。因此,该模型在使用时将双向多车道的车流量简化为单向车流量。
经过多年的研究,美国对FHWA模型进行不断地完善,在2005年发布了TNM2.5,成为最新的噪声预测模型;该模型适用范围更为广泛,可应用于连续或间断交通量情况下不同等级和路面的交通道路,考虑的影响因素更加全面,更符合最新的实际道路情况。
三、德国RLS90预测模型
德国交通部在1981年和1990年分别发布了RLS81及其改进版RLS90预测模式,该模式以等效连续A声级作为评价指标,包括声源模型和声传播模型。其噪声影响因素考虑了车流量和车型、车速、道路自然状况(纵坡、路面类型)、环境条件(空气吸收、大气影响)和传播过程中障碍物类型(距离、建筑物),并且应用于简单的交通流中断和未知交通流中。
对于长直线路段,其平均辐射噪声级表达式为:

其中车道上行驶车辆的辐射噪声级表达式为:

其中,25m处参考辐射声级表达式为:

式中:
M—标准交通流量,其道路主要是联邦高速公路和一般公路,国家、州、地区或地方连接公路,市、镇城市道路等。
P—重型车比例,昼夜间的车型比分别计算。
其中,速度修正值计算表达式:


德国研发了以RLS90通用计算噪声预测模型为基础的噪声模拟软件—Cadna/A,其运算原理和我国声传播衰减理论计算过程基本一致,主要参考RLS-90、Schall03和ISO9613等标准文件。该计算软件模拟功能较强,可模拟预测点和声源之间任意建筑物群、林带和地形等屏障的设置,用于控制道路噪声污染的控制;还能够同时预测各类不同的点声源、线声源和任意形式的面声源。该软件绘图功能较强,其界面友好,操作简便,易于理解和使用。
内容源于网络,旨在分享,如有侵权,请联系删除
相关资料推荐:
https://ziliao.co188.com/d62777530.html
知识点:国外道路交通噪声预测模型简介
0人已收藏
0人已打赏
免费5人已点赞
分享
道路工程
返回版块15.09 万条内容 · 689 人订阅
阅读下一篇
声屏障结构形式和材料特性的降噪效果本文数据成果仅为试验条件下降噪效果,实际降噪效果应综合各实际场地的环境条件全面考虑,降噪效果数值必然与本文数据存有差异。该文通过试验对声屏障的降噪进行规律性总结,可为声屏障的设计、材料选择及应用提供一定的参考。 通过对美国的FHWA噪声预测模型、德国RLS90噪声预测模型和我国HJ2.4-2009声导则噪声预测模型等国内外常见的交通噪声预测模型预测结果对比表明,各个预测模型计算结果大致相当,尤其是我国的HJ2.4-2009声导则噪声预测模型和德国“RLS-90”预测模型。
回帖成功
经验值 +10
全部回复(0 )
只看楼主 我来说两句抢沙发