构件的连接节点是保证多、高层钢结构安全可靠的关键部位,对结构的受力性能有着重要的影响。节点设计的是否合理,不仅会影响结构承载力的可靠性和安全性,而且会影响构件的加工制作与工地安装的质量,并直接影响结构的造价。因此,节点设计是整个设计工作中的一个重要环节,必须予以足够的重视。
节点设计主要包括:梁与柱、梁与梁、柱与柱、支撑与梁柱、以及柱脚的连接节点(图7-1)设计。

![]()
设计原则
1
概述
(1)当非抗震设防时,弹性设计;当抗震设防时,弹塑性设计,而且节点连接的承载力应高于构件截面的承载力。
(2)对于要求抗震设防的结构,当风荷载起控制作用时,仍应满足抗震设防的构造要求。
(3)强震作用下塑性区一般将出现在距梁端(柱贯通型梁-柱节点)或柱端(梁贯通型梁-柱节点)算起的1/10跨长或两倍截面高度范围内。节点设计应验算下列各项:
1)节点连接的最大承载力;
2)构件塑性区的板件宽厚比;
3)受弯构件塑性区侧向支承点间的距离
4)梁-柱节点域中柱腹板的宽厚比和抗剪承载力。
(4)构件节点、杆件接头和板件拼装,可采用全熔透焊缝或部分熔透焊缝。遇下列情况之一时,应采用全熔透焊缝:
1)要求与母材等强的焊接连接;
2)框架节点塑性区段的焊接连接。
(5)焊缝的坡口形式和尺寸,应按《手工电弧焊焊缝坡口的基本形式和尺寸》和《埋弧焊焊缝坡口的基本形式和尺寸》的规定或其它适用的规定采用。
(6)为了焊透和焊满,焊接时均应设置焊接垫板和引弧板。
(7)高层建筑钢结构承重构件或承力构件(支撑)的连接采用高强度螺栓时,应采用摩擦型连接,以避免在使用荷载下发生滑移,增大节点的变形。
(8)抗震设防结构的高强度螺栓连接的最大受剪承载力,应按下式计算:

(9) 在节点设计中,节点的构造应避免采用约束度大和易使板件产生层状撕裂的连接形式。
2
连接方式
根据连接方法可分为:全焊连接(通常翼缘坡口采用全熔透焊缝、腹板采用角焊缝连接)、栓焊混合连接(翼缘坡口采用全熔透焊缝、腹板则采用高强度螺栓连接)和全栓连接(翼缘、腹板全部采用高强度螺栓连接),如图7-2所示。

全焊连接:传力充分,不会滑移。良好的焊接构造与焊接质量,可以为结构提供足够的延性。缺点是焊接部位常留有一定的残余应力。
栓焊混合连接:先用螺栓安装定位,然后翼缘施焊,操作方便,应用比较普遍。试验表明,此类连接的滞回曲线与全焊连接情况相近,但翼缘焊接将使螺栓预拉力平均降低10%左右。因此,连接腹板的高强度螺栓实际预拉应力要留一定富裕。
全栓连接:全部高强度螺栓连接,施工便捷,符合工业化生产模式。但接头尺寸较大,钢板用量稍多,费用较高。强震时,接头可能产生滑移。
应用:在我国的多、高层钢结构工程实践中,柱的工地接头多采用全焊连接;梁的工地接头以及支撑斜杆的工地接头和节点,多采用全栓连接;梁与柱的连接多采用栓焊混合连接。
根据构造形式及其力学特性(按约束刚度)可分为:刚性连接(刚性节点)、半刚性连接(半刚性节点)和柔性连接(铰接节点)三大类型。
刚性连接:是指连接受力时,梁-柱轴线之间的夹角保持不变。实际使用中只要连接对转动约束能达到理想刚接的90%以上,即可认为是刚接。工程中的全焊连接、栓焊混合连接以及借助T形铸钢件的全栓连接属此范畴。
柔性连接(铰接):是指连接受力时,梁-柱轴线之间的夹角可任意改变(无任何约束)。实际使用中只要梁-柱轴线之间夹角的改变量达到理想铰接转角的80%以上(即转动约束不超过20%),即可视为柔性连接。工程中的仅在梁腹板使用角钢或钢板通过螺栓与柱进行的连接属此范畴。
半刚性连接:介于以上两者之间的连接,它的承载能力和变形能力同时对框架的承载力和变形都会产生极为显著的影响。工程中的借助端板或者借助在梁上、下翼缘布置角钢的全栓连接等形式属此范畴。
3
安装单元的划分
钢框架安装单元的划分,应根据构件重量、运输以及起吊设备等条件确定。
(1)当框架的梁-柱节点采用“柱贯通型”节点形式(图7-2、7-3a)时,柱的安装单元一般采用三层一根;梁的安装单元通常为每跨一根。
(2)柱的工地接头一般设于主梁顶面以上1.0~1.3m处,以便安装。
(3)当采用带悬臂梁段的柱单元(树状型柱单元)时,悬臂梁段可预先在工厂焊于柱的安装单元上,悬臂梁段的长度(即接头位置)应根据内力较小并能满足设置支撑的需要和运输方便等条件确定。距柱轴线算起的悬臂梁段长度一般取0.9~1.6m。
(4)框架筒结构采用带悬臂梁段的柱安装单元时,梁的接头可设置在跨中。
![]()
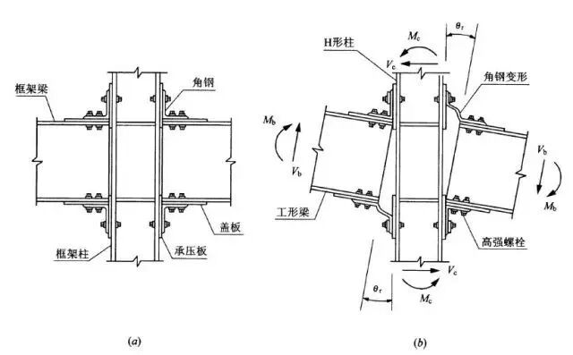
梁与柱的连接
1
梁-柱节点类型
根据梁、柱的相对位置,可分为:柱贯通型和梁贯通型两种类型,如图7-3所示。
一般情况下,为简化构造和方便施工,框架的梁-柱节点宜采用柱贯通型(图7-3a);当主梁采用箱形截面时,梁-柱节点宜采用梁贯通型(图7-3 b)。

2
梁-柱节点的构造要求
刚性连接的构造要求
框架梁与柱的刚性连接宜采用柱贯通型,可视受力和安装形式,采用图7-4所示的连接方式。




改进梁-柱刚性连接抗震性能的构造措施
其基本措施有两类:一是削弱型,二是梁端加强型。前者通过在距梁端一定距离处,对梁上、下翼缘进行切削切口或钻孔或开缝等措施,以形成薄弱截面(图7-14),达到强震时梁的塑性铰外移的目的;后者则是通过在梁端加焊楔形盖板或者加焊竖向肋板或者加焊梁腋或者加焊侧板或者局部加宽或加厚梁端翼缘等措施,以加强节点(图7-15),达到强震时梁的塑性铰外移的目的。

半刚性连接的构造要求
梁-柱节点的半刚性连接常采用如下两种构造形式。


柔性连接的构造要求
由连接角钢或连接板通过高强度螺栓仅与梁腹板的连接(摩擦型或承压型),可视为柔性连接。

3
刚性梁-柱节点的承载力验算
钢梁与钢柱的刚性连接部位,一般应验算如下各项内容:
(1)抗震框架节点承载力验算;
(2)连接焊缝和螺栓的强度验算;
(3)柱腹板的抗压承载力验算;
(4)柱翼缘的受拉区承载力验算;
(5)梁-柱节点域承载力验算。
抗震框架节点承载力验算
(1)“强柱弱梁”型节点承载力验算
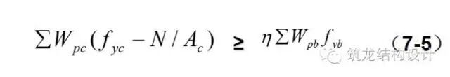
对于抗震设防烈度为7度及以上结构,为确保“强柱弱梁”耐震设计准则的实现,其框架的任一节点处,汇交于该节点的、位于验算平面内的各柱截面的塑性抵抗矩和各梁截面的塑性抗抵矩应满足下式的要求:

(2)“强连接、弱杆件”型节点承载力验算
1)节点承载力验算式
对于抗震设防的多、高层钢框架结构,当采用柱贯通型节点时,为确保“强连接、弱杆件”耐震设计准则的实现,其节点连接的极限承载力应满足下列公式要求:

连接焊缝和螺栓的强度验算
工字形梁与工字形柱采用全焊接连接时,可按简化设计法或精确设计法进行计算。当主梁翼缘的受弯承载力大于主梁整个截面承载力的70%时,即,可采用简化设计法进行连接承载力设计;当小于70%时,应考虑按精确设计法设计。
柱腹板的抗压承载力验算
在梁的上下翼缘与柱连接处,一般应设置柱的水平加劲肋,否则由梁翼缘传来的压力或拉力形成的局部应力有可能造成在受压处柱腹板出现屈服或屈曲破坏,在受拉处使柱翼缘与相邻腹板处的焊缝拉开导致柱翼缘的过大弯曲(参见图7-20)。

柱翼缘的受拉区承载力验算
在梁受拉翼缘传来的拉力作用下,除非柱翼缘的刚度很大(翼缘很厚),否则柱翼缘受拉挠曲,腹板附近应力集中,焊缝很容易破坏,因此对于全焊或栓焊混合节点,当框架柱在节点处未设置水平加劲肋时,应对柱翼缘的厚度及其抗弯强度进行验算。
梁-柱节点域承载力验算
包括节点域的稳定和强度验算。
注意验算不满足时的补强措施(见图7-25和7-27)!


![]()
梁与梁的连接
1
构造要求
主梁的接头
主梁的拼接点应位于框架节点塑性区段以外,尽量靠近梁的反弯点处。工程中,常用全栓连接和焊栓混合连接两种形式(见图7-32)。

次梁与主梁的连接
次梁与主梁的连接一般采用简支连接(图7-33、7-34)。当次梁跨度较大、跨数较多或荷载较大时,为了减小次梁的挠度,次梁与主梁可采用刚性连接(图7-35)。


主梁的水平隅撑
按抗震设防时,为防止框架横梁的侧向屈曲,在节点塑性区段应设置侧向支撑构件或水平隅撑(见图7-37)。

梁腹板开孔的补强
注意开孔位置、孔口尺寸、孔口的补强及受弯和受剪承载力验算(见图7-38)。

2
承载力验算
注意:当用于抗震设防时,为使抗震设防结构符合“强连接、弱杆件”的设计原则,梁接头的承载力应高于母材的承载力
![]()
柱与柱的连接
1
接头的构造要求






2
柱接头的承载力验算
注意:当用于抗震设防时,为使抗震设防结构符合“强连接、弱杆件”的设计原则,柱接头的承载力应高于母材的承载力。
![]()
钢柱柱脚
多层及高层钢结构的柱脚,依连接方式的不同,可分为埋入式、外包式和外露式三种形式。超过12层的高层钢结构宜采用埋入式柱脚,6、7度时也可采用外包式柱脚。对仅需传递竖向荷载的铰接柱脚(例如伸至多层地下室底部的钢柱柱脚),可采用外露式柱脚。



![]()
其他构件的连接
1
支撑的连接
注意中心支撑节点与偏心支撑节点、多层钢结构支撑与高层钢结构支撑连接的构造及计算区别。
2
抗震剪力墙板与钢框架的连接
注意钢板剪力墙、内藏钢板支撑剪力墙、带竖缝混凝土剪力墙板与钢框架的连接区别。
3
钢梁与钢筋混凝土构件的连接
钢梁与钢筋混凝土构件的连接,可视混凝土构件的类型与连接方位,采用简支连接或刚性连接。
注意两种连接的区别。
内容源于网络,如有侵权,请联系删除
相关资料推荐:
知识点:高层结构节点设计
0人已收藏
0人已打赏
免费6人已点赞
分享
钢结构工程
返回版块46.53 万条内容 · 1214 人订阅
阅读下一篇
多高层钢结构连接及节点设计一.基本概念 多高层钢结构的连接节点设计:梁与梁的拼接连接、次梁与主梁的连接、柱与柱的拼接连接、梁与柱的连接、支撑与梁柱的连接,以及柱脚的连接。连接计算基本上采用与构件截面面积等强的计算方法,因此与内力关系无关。 多高层钢结构的连接节点,按其构造形式及其力学特性,可以分为铰接连接节点、刚性连接节点、半刚性连接节点。从连接形式和连接方法来看,多高层钢主要采用焊接和高强度螺栓连接。 二
回帖成功
经验值 +10
全部回复(0 )
只看楼主 我来说两句抢沙发