土木在线论坛 \ 建筑结构 \ 结构资料库 \ 框筒结构的剪力滞后效应研究

框筒结构的剪力滞后效应研究

发布于:2022-09-30 14:59:30 来自:建筑结构/结构资料库 [复制转发]

包联进,陈建兴,钱 鹏

摘要:以某400m高外框筒+核心筒超高层结构为分析对象,利用有限元软件ETABS研究了不同结构立面布置、高度、高宽比、角柱与中柱横截面面积比对结构剪力滞后效应的影响规律,通过分析某一单层两跨平面框架的传力机理,从理论上验证了数值模拟的结论。同时,分析了节点刚域、底部空间转换、框筒开洞率和设置加强层对框筒结构受力性能的影响。结果表明:框筒结构自下而上开始从正剪力滞后向负剪力滞后变化,取消转换层、增设环带桁架、增加高宽比和减小角柱与中柱面积比可以降低框筒结构的剪力滞后效应,更好地发挥"筒结构"的空间作用;节点刚域和开洞率对结构抗侧刚度影响较大。

关键词:框筒结构;剪力滞后效应;抗侧效率;开洞率;节点刚域


框筒结构是指在建筑外周布置密柱深梁形成的三维筒体结构体系,它可以充分发挥结构的空间作用,抗侧与抗扭刚度均较大,早期被广泛应用于超高层建筑中,如83层的标准石油大厦(Standard Oil)。框筒的概念最早由SOM的法兹勒·凯恩(Fazlur Khan)提出,并被应用于芝加哥43层的切斯纳特公寓大楼中。

通过在建筑物周边设置柱间距较小(3~5m),且裙梁高度较大(1~1.5m)的框架,使得在水平力作用下除了腹板框架可以承担部分的抗倾覆力矩外,翼缘框架由于筒的空间作用也可以承担部分倾覆力矩。因此,与普通框架相比,框筒结构的抗侧和抗扭刚度要大得多。但水平荷载作用下框筒结构的截面变形不再符合初等梁理论的平截面假定,腹板框架和翼缘框架的正应力不再呈直线分布而是呈曲线分布,即出现了如图1所示的剪力滞后效应[1]

一般来说,框筒结构底部会出现如图1a)所示的“正剪力滞后”现象,而随着楼层高度的增加,剪力滞后效应会逐渐减弱,最后到结构顶部则会出现如图1b)所示的“负剪力滞后”现象。为了定量地区分正、负剪力滞后现象,文献[2]定义剪力滞后系数λ为考虑剪力滞后效应的柱轴压应力σ1(图1中的阴影)与按平截面假定求得的柱轴压应力σ0(图1中虚线)的比值,即λ=σ10。当λ<1时,为正剪力滞后;当λ>1时,为负剪力滞后。在框筒结构中,λ愈接近1,说明剪力滞后效应愈小,框筒的空间作用愈强。

图片

图1 框筒结构中的剪力滞后效应

Fig.1 Shear lag effect in framed-tube structures

影响框筒结构剪力滞后现象的因素有很多,主要包括柱距与裙梁高度(裙梁的抗弯刚度)、角柱与中柱的面积比、结构高宽比、框筒结构的平面形状、长宽比、内外筒刚度比、轴压比等[3-13]。《高层建筑混凝土结构技术规程 》(JGJ 3—2010)[14](以下简称《高规》)已经对平面形状、长宽比、洞口面积、裙梁线刚度等做出了规定,故本文不作重点研究。值得一提的是,《高规》要求角柱截面面积取中柱截面面积的1~2倍,然而对此不同的学者有不同的看法和结论[8-9]

由于水平荷载作用下,外框筒的剪力滞后现象会降低框筒结构的抗侧效率。本文以某高度为400m的外框筒+核心筒超高层建筑为研究对象,研究了立面布置、高度、高宽比、角柱与中柱面积比对框筒结构剪力滞后的影响。同时分析了节点刚域、底部空间转换、框筒开洞率和设置加强层对框筒结构受力性能的影响规律,从而为框筒结构的设计提供一些合理建议,以供工程设计人员参考。


1 工程背景

本项目位于深圳市南山区深圳湾南侧,主要功能为办公和酒店,地上86层,高度为400m。结构平面形状为正方形,尺寸为54m×54m,高宽比为7.4,柱距为4.5m,基本层高为4.5m。结构体系采用筒中筒结构:外框筒由密柱深梁组成,内筒为钢筋混凝土核心筒,二者组成双重抗侧力体系,如图2所示。竖向荷载由楼面系统传递到核心筒和外框筒,再通过核心筒的墙体和外框柱传递到基础,竖向传力路径直接、高效。结构从底部向上主要构件的截面尺寸变化如下:柱子截面从1.8m×1.2m变化为1.0m×0.8m,角柱面积取为中柱面积的2倍;梁截面从1.5m×0.5m变化为1.2m×0.4m,结构开洞率从40%变化为57%,剪力墙厚度从1.0m变化为0.6m。

图片

图2 结构体系

Fig.2 Structure system

本项目的抗震设防烈度为7度,设计地震加速度0.1g。建筑场地位于海边,风荷载较大,50年一遇的基本风压为0.75kN·m-2


2 剪力滞后的影响因素分析

2.1 立面布置的影响

首先分析了立面布置(底部空间转换和加强层)对剪力滞后的影响,根据外框筒底部是否设置转换层和加强层,建立了3个不同的ETABS模型,如表1和图3所示。

图片
图片

图3 不同立面的模型示意

Fig.3 Schematic diagram of models with different facade layouts

在相同的风荷载作用下,各模型不同楼层翼缘框架和腹板框架的剪力滞后分析结果如图4~图6所示。图中横坐标为翼缘(腹板)框架柱的平面位置,纵坐标为剪力滞后系数,为各根柱的轴应力与角柱轴应力的比值,不同颜色的实线表示不同楼层。两角柱轴向应力的连线(虚线)为参考的基准线,即λ=1,离基准线越远说明剪力滞后程度越严重,反之则越轻微。

图片

图4 模型A的外框柱相对轴应力分布

Fig.4 Relative axial stress distribution of outer frame columns of model A

图片

图5 模型B的外框柱相对轴应力分布

Fig.5 Relative axial stress distribution of outer frame columns of model B

图片

图6 模型C的外框柱相对轴应力分布

Fig.6 Relative axial stress distribution of outer frame columns of model C

从图4~图6可以看出,模型B、C由于设置了转换桁架和环带桁架,加强层及其邻近楼层柱的轴向刚度发生了改变,相应的剪力滞后曲线也从光滑的曲线变成了波浪形曲线;但随着楼层层数的增加或减少,相应的影响会越来越小,相应的剪力滞后曲线也逐渐恢复成光滑连续的曲线。

为了更好地比较不同立面布置的影响,选取典型楼层(第20层)的剪力滞后曲线进行对比研究,如图7所示。可以看到:不论是翼缘框架还是腹板框架,不同模型的柱的剪力滞后系数相差不大,相对而言模型A的剪力滞后效应最小,模型B的剪力滞后效应最大。这说明转换层的设置增大了结构的剪力滞后效应,而增设环带桁架则可以增加裙梁的抗侧刚度,在一定程度上降低剪力滞后效应。

图片

图7 不同立面布置模型的典型楼层柱相对应力分布

Fig.7 Relative stress distribution of typical floor columns with different elevation arrangement


2.2 楼层高度的影响

图8给出了模型A不同楼层的柱剪力滞后曲线(在图4的基础上增加了第70层的曲线)。可以看到:在结构底部,中间柱的正剪力滞后达到最大;随着楼层高度的不断增加,正剪力滞后效应逐渐变小,在40层左右,中柱的剪力滞后系数达到1;随着楼层高度的继续增加,部分中柱的剪力滞后系数λ超过1,开始出现负剪力滞后现象,并且逐渐从两边向中间扩散,直至所有柱的剪力滞后系数λ均大于1,整个楼层进入完全负剪力滞后状态。靠近顶层的楼层由于柱轴力绝对值较小,各柱轴力的差值比例明显增大。

图片

图8 模型A的外框柱相对轴应力分布(增加了第70层)

Fig.8 Relative axial stress distribution of outer frame columns of model A (70th floor added)

以上分析表明,剪力滞后效应随着楼层高度的增加,逐渐从正剪力滞后过渡为负剪力滞后。越往下框筒结构下部的正剪力滞后效应越强,越往上翼缘框架柱之间的轴力差距越小,轴力分布趋于平均;腹板框架柱轴力越接近于平截面假定的直线分布。随着楼层高度的增加,框筒结构上部的负剪力滞后越大,翼缘框架和腹板框架中柱的相对轴力都有所增大,翼缘框架柱的轴力超过角柱的轴力,腹板框架部分柱的轴力超过了角柱的轴力,“筒结构”的空间作用得到了充分发挥。


2.3 结构高宽比的影响

通过变化结构高度,研究不同的结构高宽比对剪力滞后的影响。在模型A的基础上,保持结构的平面不变,调整结构的高度,得到了模型D~G,如图9所示。各模型的宽高比数据如表2所示。

图片

图9 不同高宽比的模型

Fig.9 Models with different aspect ratios

图片

图10给出了典型楼层(第2层和第10层)翼缘框架和腹板框架柱的剪力滞后系数随着结构高宽比的变化,可以看到:柱剪力滞后系数λ随着高宽比的增加而增大,即正剪力滞后效应减小。

图片

图10 不同高宽比模型的典型楼层柱相对轴力分布

Fig.10 Relative stress distribution of typical floor columns with different aspect ratios

图11给出了翼缘框架中柱剪力滞后系数λ随着高宽比变化的曲线。随着楼层高度的增加,中柱剪力滞后系数λ呈非线性增长,说明对于框筒结构,只有当高宽比较大,即结构达到一定高度时,才能降低中间柱的剪力滞后效应,从而充分发挥框筒结构的空间作用。

图片

图11 翼缘框架中柱的λ与高宽比的关系

Fig.11 Relation between aspect ratio and λ of the column in flange frame

在正剪力滞后过渡为负剪力滞后的过程中,本文将基本符合平截面假定的楼层定义为“零剪力滞后”(λ=1)楼层。各个模型出现零剪力滞后的楼层如表3和图12所示。

图片
图片

图12 零剪力滞后楼层位置分布

Fig.12 Floor position distribution with zero shear lag

从图12中可以看出零剪力滞后楼层数与总楼层数的比值在0.44~0.67的范围内变化,即在结构高度中部附近出现。


2.4 角柱与中柱截面面积比的影响

本小节研究了角柱与中柱截面面积比(以下简称面积比)对剪力滞后的影响,在模型A的基础上,根据面积比的不同建立模型H、I,如表4所示。模型H、I的柱轴力分布如图13~图14所示,模型A的柱轴力分布如图4所示。

图片
图片

图13 模型H的外框柱相对轴应力分布

Fig.13 Relative axial stress distribution of outer frame columns of model H

图片

图14 模型I的外框柱相对轴应力分布

Fig.14 Relative axial stress distribution of outer frame columns of model I

为了更好地比较面积比对剪力滞后的影响,选取典型楼层(第5层)进行对比分析,如图15所示。对于腹板框架,面积比对结构的剪力滞后没有影响;对于翼缘框架,角柱面积的增大加剧了剪力滞后效应,但变化幅度不大。

《高规》[14]规定“角柱截面面积可取中柱截面面积的1~2倍”,从降低剪力滞后效应的角度出发,宜使角柱与中柱面积比取最小值,充分发挥框筒的空间作用,提高结构的抗侧效率和材料的利用率。

图片

图15 不同角柱与中柱面积比模型的典型楼层柱相对轴力分布

Fig.15 Relative axial stress distribution of typical floor columns with different section area ratios of corner column to middle column


3 剪力滞后现象的理论解释

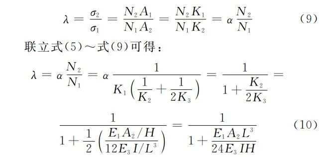
为了更好地说明框筒结构剪力滞后的原因,以某单层两跨平面框架为例,研究影响柱产生剪力滞后的机理,忽略梁的抗剪刚度,如图16所示。图中K1、K2分别为边柱、中柱的轴向刚度,K3为裙梁的抗侧刚度,N1、N2分别为边柱、中柱的轴力,V为梁的剪力,A1、A2分别为边柱、中柱的截面面积,E1、E2、E3分别为边柱、中柱、裙梁的材料弹性模量,I为裙梁截面惯性矩,L为柱距,H为柱高。

图片

图16 单层一榀两跨框架示意

Fig.16 Schematic diagram of one-story and two-bay frame

图片

由剪力滞后系数λ的定义可得:

图片

由式(10)计算得到柱子正剪力滞后系数λ(λ≤1)。通过该式可以分析上述4个参数对剪力滞后效应的影响机理:

(1)立面布置。增加转换层和环带桁架改变了裙梁的线刚度,取消转换层和增加环带桁架加强了裙梁的抗侧刚度(12E3I/L3),降低了剪力滞后效应。

(2)楼层高度。λ与H成正比,即结构高度越高,剪力滞后系数越大,剪力滞后效应越小。

(3)结构高宽比。高宽比越大,相同位置裙梁的抗侧刚度越大,剪力滞后系数越大,剪力滞后效应越小。

(4)角柱与中柱面积比。柱的正剪力滞后系数λ与中柱轴向刚度和裙梁抗侧刚度的比值直接相关,与角柱与中柱面积比(刚度比)不直接相关,故该参数对结构的剪力滞后影响不大。

可以看到,理论分析的结论与数值分析的规律一致,验证了数值分析结果的正确性。


4 框筒结构受力性能影响因素分析

4.1 节点刚域的影响

为了研究节点刚域对结构整体刚度的影响,通过在节点位置施加刚臂的方法来模拟,刚臂长度由节点尺寸确定。根据施加刚臂的不同,主要分析了表5中的4个模型。各个模型的自振周期和50年重现期风荷载作用下的结构顶点位移如表6和表7所示。

图片

分析表6、表7可以看出,刚臂的设置对结构整体刚度的提高起着不容忽视的作用,不考虑刚臂的模型D的结构第1自振周期要比完全考虑刚臂的模型A的结构第1自振周期大1.012 s,风荷载作用下的顶点水平位移大30%。

图片
图片

分别对梁或柱施加刚臂对结构整体刚度也有不小的提高,但比较二者的效果,可以看到施加梁端刚臂的效果要更好一些。


4.2 底部空间转换和加强层的影响

采用表1和图3中的模型A~C,分析底部空间转换和加强层对结构整体刚度的影响。进行分析时,梁端按柱全高设置刚臂,柱上端按梁高的一半设置刚臂。各个模型的自振周期和50年重现期风荷载作用下的结构顶点位移如表8和表9所示。

图片
图片

分析表8、表9中模型A、B的结果可以看出,底部空间的转换对降低结构整体抗侧刚度的影响很小,模型B结构顶部x、y向的位移仅比模型A结构顶部x、y向的位移大3mm和2mm,2个模型的周期变化也很小。比较模型B、C可知,模型C的x、y向的顶点位移比模型B的x、y向的顶点位移小36mm和35mm,约降低了5%,说明设置加强层可以提高结构整体的抗侧刚度,但提高的幅度不大。

模型A、B、C的外框筒承担的剪力比和倾覆力矩比如图17、18所示。通过比较模型A、B发现,在底部10层,由于模型B设置了转换桁架,其外框筒承担的剪力比稍大于模型A的外框筒承担的剪力比,而10层以上二者几乎一样。这说明在结构底部设置转换桁架对内外筒内力的分配影响不大。

图片

图17 外框筒承担的剪力比

Fig.17 Shear ratio borne by outer frame-tube

图片

图18 外框筒承担的倾覆力矩比

Fig.18 Overturning moment ratio borne by outer frame-tube

通过比较模型B、C发现,在环带桁架加强层及其上、下各一至两层,模型C外框筒所承担的剪力比有了明显的提高(最大可达45%);而在两个加强层之间的其他楼层,由于加强层的支撑作用,提高了核心筒的抗侧刚度,所以模型C的外框筒承担的剪力比要比模型B的外框筒承担的剪力比小6%~10%。几乎在每一层,模型C的外框筒承担的倾覆力矩都要比模型B的外框筒承担的倾覆力矩有一定的提高。

从以上分析可以看出,环带桁架的设置在一定程度上提高了整个结构的抗侧刚度,但从外框筒承担的倾覆力矩增量来看,其提高的幅度不大。主要是因为本项目中的外框筒梁的抗剪刚度较大,翼缘框架柱的剪力滞后效应已经不是很明显,所以通过设置环带桁架来减小其剪力滞后效应的发挥空间已经不大,效果也不明显了。


4.3 框筒开洞率的影响

本节主要分析框筒开洞率对结构抗侧刚度的影响,如图19所示,将框筒开洞率由20%逐步提高到70%。

图片

图19 不同开洞率模型示意

Fig.19 Schematic diagram of models with different opening rates

不同开洞率模型的自振周期和50年重现期风荷载作用下的结构顶点位移结果对比如表10和表11所示。图20给出了顶点位移随开洞率的变化曲线。可以看出,模型的抗侧刚度随框筒开洞率的增大,呈非线性降低。当框筒开洞率小于40%时,模型抗侧刚度的降低相对缓慢,但随着框筒开洞率逐渐大于40%,模型的抗侧刚度急剧减小。故宜将框筒开洞率控制在40%之内,以提高框筒的抗侧效率。

图片
图片
图片

图20 模型顶点位移随开洞率变化的关系曲线

Fig.20 Relationship curve between model top displacement and opening rate


5 结  论

本文以某高度为400m的外框筒+核心筒超高层结构为研究对象,采用ETABS软件分析了不同结构布置、高度、高宽比、角柱与中柱面积比对框筒结构剪力滞后现象的影响,同时,分析了节点刚域、底部空间转换、框筒开洞率和设置加强层对框筒结构受力性能的影响,可以得出以下主要结论:

(1)不同立面布置对框筒结构的剪力滞后效应有一定的影响,但影响不大。设置转换层会导致剪力滞后效应增大;增设环带桁架后,由于增大了裙梁的抗侧刚度,从而使框筒结构的剪力滞后效应降低了。

(2)剪力滞后效应随着楼层高度的增加,逐渐从正剪力滞后过渡为负剪力滞后。框筒结构底部的正剪力滞后效应最强,随着楼层高度的增加,正剪力滞后效应逐渐减小,直至趋近于0,各柱的轴应力也越来越接近并趋于平截面假定;随着楼层高度的继续增加,将出现负剪力滞后现象,此时,中柱的轴应力将超过角柱的轴应力,框筒结构的空间作用得到了充分发挥。零剪力滞后楼层大约出现在结构高度的中部。

(3)剪力滞后效应随着高宽比的增大而减小。因此框筒结构的高度比要达到一定数值时,才能有效发挥框筒结构的优势。

(4)中柱与角柱的截面面积比对剪力滞后效应有一定影响,但影响不大。

(5)考虑节点刚域和开洞率对结构抗侧刚度影响较大。

内容源于网络,如有侵权,请联系删除


相关资料推荐:

几何非线性对箱梁剪力滞后效应的影响


知识点:框筒结构的剪力滞后效应

全部回复(0 )

只看楼主 我来说两句抢沙发
这个家伙什么也没有留下。。。

结构资料库

返回版块

41.29 万条内容 · 424 人订阅

猜你喜欢

阅读下一篇

某超限高层框筒结构竖向变形差分析

摘要:为准确模拟施工过程结构的受力和变形状态,考察剪力墙和框架柱的竖向变形差异,利用Midas/Gen 对某超高层框筒结构进行施工模拟分析。分析结果对于设计及施工过程均有一定的指导意义,施工时应对结构进行逐层找平,并应考虑到荷载长期效应对结构的影响。 关键词:超限高层;施工模拟;竖向变形;收缩徐变 1 工程概况 本项目地块规划有广汕铁路和穗莞深城际铁路,广州地铁13 号线与16 号线在此交汇。凯达尔枢纽国际广场规划设计为集办公、酒店、商业、零售购物及休闲娱乐为一体的大型商业综合体,用地面积38 697.1 m2,规划总建筑面积约365 100 m2。如图1 所示,项目规划方案由4 层地下室,13 层裙房,以及两栋超高层塔楼(西塔234.85 m,东塔182.25 m)组成。

回帖成功

经验值 +10