在结构计算软件问世之前,结构计算只能采用“手算”方法。为了能够计算框架、剪力墙和框架-剪力墙这些多次超静定结构的位移和内力,前辈们开发了相应的简化计算方法。这些简化计算方法被写进教科书,代代相传,即使在结构计算软件高度发展的今天,仍然在帮助年轻工程师建立正确结构概念上起着不可替代的作用。
联肢剪力墙和框架-剪力墙的简化计算一般都基于连续化方法。联肢剪力墙的连续化分析方法在外文文献中一般被称为“连续介质法(continuous medium method)”,在我国教科书中一般被称为“连续连杆法”[1]。在连续连杆法中,连梁被弥散成均匀分布的连续介质;在此基础上,将连梁中部(反弯点处)切开,以切口处的剪力流为基本未知量,基于切口处的变形连续条件建立控制微分方程,分析模型如下图所示。该分析模型可以考虑连梁的弯曲和剪切变形、墙肢的轴向和弯曲变形;但连梁弥散以后,墙肢在两相邻楼层之间的双曲弯曲变形将不能被考虑,但对于联肢剪力墙,这部分变形所占比例较小,忽略后不会产生较大的计算误差。

框架-剪力墙结构的简化分析模型(见下图)最初由结构大师Fazlur Rahman Khan[2]提出。该模型将剪力墙等效为一根弯曲悬臂杆(只能发生弯曲变形),框架等效为一根剪切悬臂杆(只能发生剪切变形),两者通过刚性连续连杆相连,使两者在任意高度处的侧移都相等。以侧移为基本未知量,根据结构任意高度处的弯矩和水平力平衡条件,即可建立该分析模型的控制微分方程。该分析模型只适用于剪力墙为整体墙的情况;将框架等效成剪切悬臂杆后,框架柱轴向变形产生的侧移将不能被考虑,另外,梁弯曲变形产生的侧移也不是完全“剪切型”的(具体讨论见先前文章——
对高层教科书中框架侧移组成的进一步探讨
)。

对于剪力墙为联肢墙的框架-剪力墙结构,我国教科书[1]也给出了简化计算方法。教科书上把框架-剪力墙结构分为铰接体系和刚接体系。铰接体系对应于上面的框架-剪力墙分析模型,刚接体系适用于剪力墙为联肢墙的情况,其分析模型如下图所示。该模型不能考虑联肢剪力墙墙肢的轴向变形,其他问题同一般的框架-剪力墙。

据笔者了解,框架-剪力墙刚接体系是我国教科书上独有的(没有考证是不是包世华先生首先提出的),笔者还未在国外教科书和文献中看到相关内容。以下是教科书上给出的框架-剪力墙刚接体系的控制微分方程:
式中,v为侧向位移,EIw为所有墙肢的截面抗弯刚度之和,CF为框架的抗剪刚度,
为连梁的总线约束弯矩系数,p为外荷载。
令
,上式就退化成了一般框架-剪力墙(即铰接体系)的控制微分方程;如果令CF = 0,理论上,上式就应该是联肢剪力墙的控制微分方程,但未考虑墙肢的轴向变形。换句话说,在不考虑墙肢轴向变形的情况下,联肢剪力墙和一般框架-剪力墙的控制微分方程在形式上是一模一样的。这是偶然的巧合还是有更深层次的原因,只能从源头——即控制微分方程的建立过程中——去寻找答案。
下文中,没有特殊说明,“框架-剪力墙”指的是剪力墙为整体墙的情况,即铰接体系。
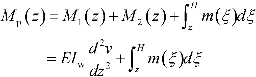
在下面的分析中,笔者忽略联肢剪力墙墙肢的轴向变形。连梁对墙肢变形的约束作用可以用作用在墙肢轴线处的约束弯矩表示,相应的分析模型如下图所示。


式中,Mp为外荷载产生的倾覆力矩,M1和M2分别为2片墙肢的弯矩,m=m1+m2为连梁剪力在墙肢轴线处产生的线约束弯矩之和;EIw为2片墙肢的抗弯刚度之和。

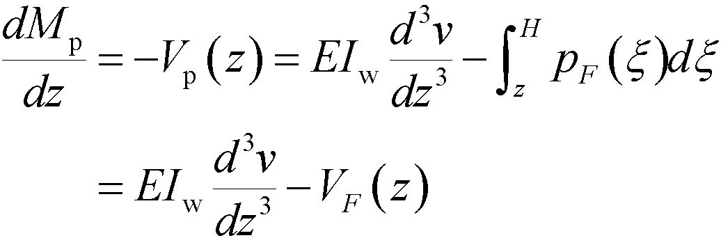
式中,pF为框架作用给剪力墙的分布荷载。在实际结构中,通常是由楼板把水平荷载分配给不同的抗侧力单元。教科书中为了阐述方便,通常将外荷载作用在某个抗侧力单元(剪力墙或框架)上,然后通过刚性连杆将荷载传递给其他抗侧力单元。

式中,VP为外荷载产生的楼层总剪力,VF为框架承担的剪力。两个公式一比较,就可以发现:只要m和VF是一样的,那么联肢剪力墙和框架-剪力墙的侧移就是一样的。
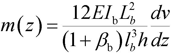
那么m和VF跟侧移又有啥关系呢?凑巧的是,m和VF都与侧移的一阶导数呈正比,具体公式如下:
式中,EIb为连梁的截面抗弯刚度,βb为考虑连梁剪切变形影响的附加系数,lb为连梁的净跨,Lb为墙肢轴线之间的距离,h为层高;CF为框架的抗剪刚度。实际上,上面两个公式中的侧移的一阶导数dv/dz的含义是不一样的,与m相关的dv/dz的含义是墙肢的转角,而与VF相关的dv/dz的含义是层间位移角,只是连续化以后,墙肢转角和层间位移角都可以用dv/dz来表示。因此,只要满足下式,联肢剪力墙和框架-剪力墙的侧移就会完全一样。

以上结果是基于连续化分析模型得到的,对于由离散杆件组成的真实结构,上述结论是否仍然成立呢?来看具体案例。联肢剪力墙的几何尺寸如下图所示,弹性模量E取为36GPa;侧向荷载采用倒三角分布,顶部楼层的荷载值为1600kN。

根据前面的等效关系,可以确定框架-剪力墙的几何尺寸(见下图),其中剪力墙的长度同联肢剪力墙中单个墙肢的长度,厚度为单个墙肢厚度的两倍;为使框架的受力特点与剪切悬臂杆一致,取框架梁的抗弯刚度无穷大、框架柱的轴向刚度无穷大,框架的抗剪刚度就只与框架柱的抗弯刚度有关,由此很容易确定框架柱的截面尺寸。

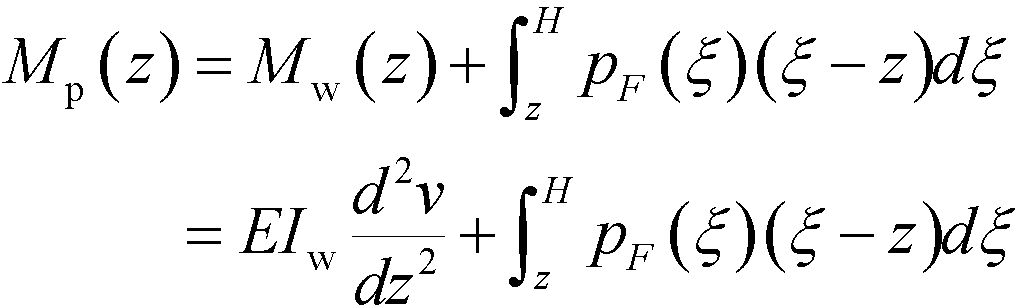
采用Midas/Gen建立上述两个结构的计算模型,剪力墙、连梁、框架梁和柱均采用梁单元模拟,连梁两端设置刚臂。计算得到的两个结构的侧移和层间位移角的对比如下图所示。

可见,联肢剪力墙和框架-剪力墙的侧移曲线虽然没有完全一样,但非常接近,两者侧向位移的最大相对偏差只有3.1%。因此,就结构位移反应而言,在不考虑墙肢轴向变形的情况下,联肢剪力墙和框架-剪力墙是殊途同归的。
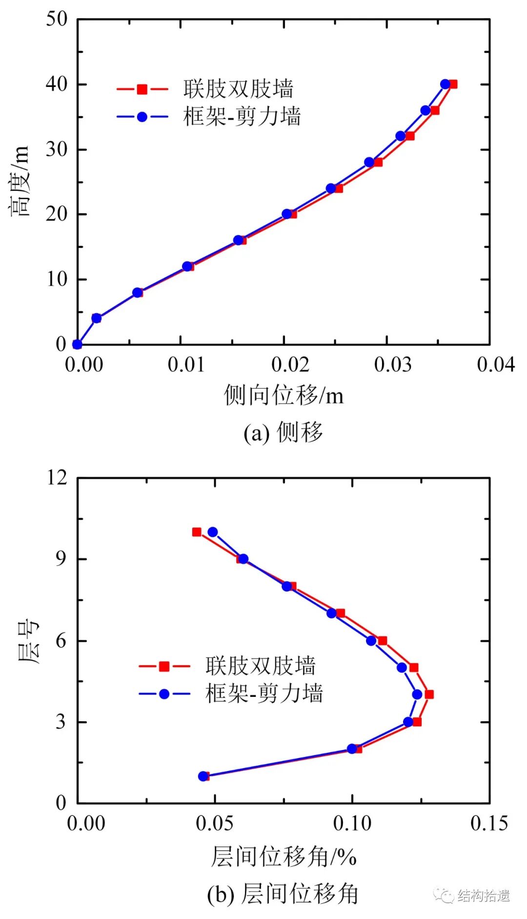
在不考虑墙肢轴向变形的前提下,我们得到了联肢剪力墙和框架-剪力墙异曲同工的结论。如果考虑墙肢的轴向变形,该结论还会成立吗?我们还是用具体案例来说明。下图对比了考虑和不考虑墙肢轴向变形的前述联肢剪力墙算例的侧移和层间位移角。

图9 考虑和不考虑墙肢轴向变形的联肢剪力墙计算结果对比
可见,墙肢轴向变形对联肢剪力墙侧移的影响非常大。考虑墙肢轴向变形时的顶点侧移和最大层间位移角分别是不考虑时的3.35倍和2.95倍。随着结构高度的增加,墙肢轴向变形的影响还会增大。因此,考虑墙肢轴向变形后,联肢剪力墙和框架-剪力墙将各奔东西。
再来看看框架-联肢剪力墙的情况。算例的几何尺寸如下图所示,弹性模量E取为36GPa;侧向荷载采用倒三角分布,顶部楼层的荷载值为1600kN。

分别计算了以下三种情况:(1)不考虑墙肢和框架柱的轴向变形,对应于框架-剪力墙刚接体系的基本假定;(2)考虑墙肢的轴向变形,但不考虑框架柱的轴向变形;(3)墙肢和框架柱的轴向变形都考虑。下图对比了三种情况的计算结果。

图11 考虑和不考虑轴向变形的框架-联肢剪力墙计算结果对比
可见,相较于与不考虑轴向变形的情况,考虑墙肢轴向变形后,结构的侧移明显增大,顶点侧移和最大层间位移角分别提高了0.67倍和0.47倍,说明教科书上的框架-剪力墙刚接体系中忽略墙肢轴向变形可能会引起较大的计算误差。相较于仅考虑墙肢轴向变形的情况,考虑框架柱轴向变形后,结构侧移也会有明显增大,顶点侧移和最大层间位移角分别提高了0.22倍和0.18倍,说明框架-剪力墙铰接体系中忽略框架柱轴向变形会导致一定的计算误差。上述算例只是1个10层结构,如果继续增加结构高度,计算误差会更大。
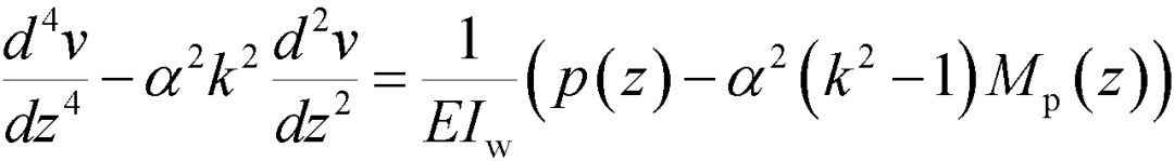
最后,再来看下双肢剪力墙和框架-剪力墙的控制微分方程:
第1个双肢剪力墙的控制微分方程没有在教科书[1]上给出(书上只给出了以剪力流为基本未知量的控制微分方程),感兴趣的朋友可以参阅文献[3]。上式中,α 和k是与联肢剪力墙几何尺寸相关的参数。
可以看到,两个微分方程等式左侧的形式是一模一样的,右侧也非常接近,只是双肢剪力墙比框架-剪力墙多出了一项。如果不考虑双肢剪力墙墙肢的轴向变形,参数k就等于1,两个微分方程的形式就一模一样了,这又回到了文章开头时的发现。
内容源于网络,如有侵权,请联系删除
相关资料推荐:
知识点:联肢剪力墙
全部回复(0 )
只看楼主 我来说两句抢沙发