这次和大家讨论一下框架剪力墙结构倾覆力矩算法的问题。
文章比较长,感觉读者一般很少会完整阅读,所以先直接说一下结论:如果仅从倾覆力矩力学计算角度而言,轴力法计算结果更为准确。但若用倾覆力矩比确定框剪结构的设计方法和抗震等级时,应采用抗规法。
接下来开始正文,最常见的框架剪力墙倾覆力矩算法有两种:抗规法和轴力法。先来看一下抗规法,《抗规》6.1.3条条文说明给出了框架剪力墙结构倾覆力矩的计算公式
式中:Ncj为第j根柱的轴力;xcj为第j根框架柱所在位置;Mcj为第j根框架柱的弯矩;Ni为第i个构件竖向力;xi为第i个构件竖向力作用位置;m为框架柱根数。
该式同时考虑了水平力和竖向力的影响,按理来说计算结果应该比抗规法更准确。


在分析过程中定义无量纲系数:框架-抗震墙结构刚度特征值λ,其表达式为:
式中:H为结构总高度;Ew、Iw分别为抗震墙的弹性模量、惯性矩,EwIw为抗震墙总刚度;Cf为框架平均楼层抗剪刚度。
λ是一个与抗震墙和框架刚度及结构高度相关的非常重要的参数,其值的大小对框架-抗震墙结构整体的变形状态和抗震墙、框架两部分各自的受力状态都有很大的影响。λ值一般控制在1.2~2.8之间,λ取值太大则墙体数量不够,结构水平位移往往不能满足要求;λ取值太小则框架部分偏少,形不成二道防线。
抗规GBJ11-89第6.1.3条首次规定:“框架-抗震墙结构中,当抗震墙部分承受的结构底部地震弯矩小于结构底部总地震弯矩的50%时(即Mw≥50%M0),其框架部分的抗震等级应按框架结构划分”。其中Mw为抗震墙部分承受的结构底部地震弯矩,M0为结构底部总地震弯矩。
6.1.3条对抗震墙部分承受的结构底部地震弯矩不小于结构底部总地震弯矩50%的要求,是根据判别式λ<2.4近似得来的。当水平地震作用沿结构高度呈倒三角形分布时,对于规则的框架-抗震墙结构,其抗震墙部分承受的结构底部地震弯矩Mw与结构底部总地震弯矩M0比值,即墙底弯矩分配系数φ,与框架-抗震墙结构刚度特征值λ的关系见表1。
表1墙底弯矩分配系数

随着计算机的普及,在框架-抗震墙结构的设计中先计算λ值再查表计算的方法将被逐渐淘汰。通过Mw≥50%M0来判别框架-抗震墙结构的变形状态和剪力墙数量是否合理的方法更适合计算机计算。
《抗规》(GB50011-2001)第6.1.3条将判别式Mw≥50%M0改为Mc≤50%M0,其中Mc为框架-抗震墙结构在基本振型地震作用下框架部分承受的地震倾覆力矩。同时明确了框架承受的地震倾覆力矩可按下式计算:
Mc的计算式是按水平地震作用沿结构高度呈倒三角形分布的假定计算得来的。经计算对比,按上述公式计算的Mc,可满足Mc≤50%M0时,λ≤2.4的近似对应关系。
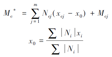
为了与抗规GB50011—2010公式中的Mc有所区别,将力学方法计算的框架部分承担地震倾覆力矩用Mc*来表示,其计算公式为:

当初抗规GBJ11-89根据框架-抗震墙结构刚度特征值λ与抗震墙墙底弯矩分配系数φ的对应关系,用Mw/M0代替λ来判断框架-抗震墙结构的剪力墙数量是否合理;又因为当Mw/M0≥50%时近似有λ≤2.4的对应关系,从而提出了Mw≥50%M0的要求。
综上所述,可以将《抗规》GB50011-2010方法和力学方法的争论,换成是评判Mw/M0与Mc*/M0*哪一个与λ的对应关系更为契合,这样结论就非常清楚了。
很显然,并不清楚Mc*/M0*与λ之间存在着什么样的对应关系,也不确定Mc*/M0*在怎样一个取值范围时才能保证框架-抗震墙结构的变形状态是弯剪形的。如果依然用Mc*/M0*≤50%作为判断框架-抗震墙结构剪力墙数量是否合理的标准和确定框架部分抗震等级的依据,那么肯定是存在偏差的;偏差带来的影响有多大,是否在可接受的范围内又不得而知。因此,确定框架部分抗震等级的依据应采用《抗规》GB50011-2010提供的计算方法。
看完齐总的解释,是不是有一种豁然开朗的感觉。我自己在学习这部分内容时,也是经历过三个阶段。
一、按照规范来,规范说啥就是啥,也就是所谓的“看山是山,看水是水”;
二、看到盈建科除了给出规范算法结果的同时,还给了轴力算法结果,研究之后对规范给出的倾覆力矩算法有点疑惑,有种“看山不是山,看水不是水”的感觉;
三、发现问题之后就得解决问题啊,大量搜索文献,发现除了抗规算法和轴力算法外,还有力偶法、统一解法等,越看越懵,最后偶然看到齐总的这篇论文,恍然大悟!有点“看山还是山、看水还是水”的味道了。
要是水平再往上提升会怎样?那应该就是大佬级别的人物了,建筑和结构平面图给出来,根据概念就能判断剪力墙布置是否合理,不需要看倾覆力矩比。“不看山,不看水”。
内容源于网络,如有侵权,请联系删除
相关资料推荐:
知识点:框架剪力墙结构倾覆力矩算法
0人已收藏
0人已打赏
免费0人已点赞
分享
结构资料库
返回版块41.29 万条内容 · 424 人订阅
阅读下一篇
看大师对框架柱构造做法的建议1柱箍筋加密区箍筋间距和肢距 1.1我国规范对柱箍筋加密区箍筋间距和肢距的限制 《建筑抗震设计规范》(GB50011—2001)(简称抗规)第6.3.8.2条规定了各种抗震等级情况下,箍筋加密区的最大间距:一级为6d和100的较小值,二级为8d和100的较小值,三、四级为8d和150(柱根100)的较小值。二级框架柱的箍筋直径不小于10ram且箍筋肢距不大于200ram时,除柱根外最大间距应允许采用150mm;三级框架柱的截面尺寸不大于400rnm时,箍筋最小直径应允许采用6ram;四级框架柱剪跨比不大于2时,箍筋直径不应小于8ram。框支柱和剪跨比不大于2的柱,箍筋间距不应大于lOOmm。《抗规》第6.3.11条规定:箍筋加密区的箍筋肢距,一级不宜大于200ram,二、三级不宜大于250mm和20倍直径的较大值,四级不宜大于300mm。
回帖成功
经验值 +10
全部回复(0 )
只看楼主 我来说两句抢沙发