知识点:水准测量
一 、水准测量的原理
水准测量亦称高程测量,确定地面上某一点的高程所进行的测量称为高程测量。确定一点的高程通常可采用水准测量方法和三角高程测量方法,而水准测量方法是最准确的也是最普通的使用方法(三角高程测量方法将在全站仪使用部分做介绍)。
水准测量又称为几何水准测量(我们施工单位也称为抄平),是利用水准仪配合水准尺测定地面点高程的常用方法。
要确定一个点的高低位置(也就是要知道这个点的高程),首先要确定一个起算面(水准面)。目前我国采用“1985年国家高程基准”,它是国家测绘机构在青岛验潮站附近设立固定标石,用精密水准测量方法成年累月长期观测记录而求得的,这个固定标石点称为青岛水准原点,高程为72.260m,是国家一等水准网和全国高程测量的起点。其他等级的国家水准点高程均以此推算。青岛水准原点的高程即黄海平均海水面至该点的高差,我国都把青岛水准原点附近的黄海平均海水面作为大地水准面,也就是我国计算高程的起算面。
地面上某一点沿铅垂线方向至大地水准面的距离称为绝对高程或海拔(简称为高程或标高),用“H”表示。大地水准面的绝对高程为零。有时在局部地区,求某一点的高程有困难时,也可以假定一个水准面作为高程的起算面。地面上一点A至大地水准面的铅垂距离用HA表示;至假定水准面的铅垂距离用H′A表示,如图2-1。地面上任意两点的高程之差称为高差,利用水准仪进行高程测量的基本原理如下:

地球上各点至大地水准面的铅垂线不平行的而汇交于地心的。但在小范围内我们可以把大地水准面当作水平面,所以HA、HB以及hAB可见图2-1所示。A点对B点的高差为:
hAB=HA-HB=HA′-HB′
在施工测量时,测定两点的高差是利用水准仪进行的,如图2-2所示:设已知A点的高程为HA,现需要测定B点的高程,在A、B两点之间安置水准仪,在A、B两点之间竖立水准尺,利用水准仪提供的水平视线,从仪器中分别读取A、B两点上水准尺的读数为a和b,由图中几何关系可得出B点对A点的高差:
hAB=a-b
则B点的高程为:
HB=(HA+a)-b= HA+(a-b)
这里我们把已知点A点称为后视点,A点上水准尺的读数称为后视读数;B点称为前视点,B点上水准尺的读数称为前视读数。计算高差时总是用后视读数减去前视读数。当a>b时,高差为“+”,说明前视点比后视点高;反之则前视点低于后视点。

⑴水准仪:由望远镜、水准器、基座三部分组成。
1.望远镜——由物镜、目镜和十字丝(上、中、下丝)三部分组成。
2.水准器有两种:
圆水准器——精度低,用于粗略整平。
水准管——精度高,用于精平。
目前我们项目部各工点采用的水准仪均为自动安平水准仪,它没有水准管;原来使用的微倾式水准仪主要采用水准管进行精平,现在工地上已很少使用。
3.基座
为了支承并水平转动仪器,需要一个基座;仪器的竖轴与支架连成一个整体插入基座的轴套里,使望远镜能绕竖轴转动。
⑵水准尺
水准尺简称标尺,供仪器读数用。主要有单面尺、双面尺和塔尺几种,水准尺要求顺直,刻划准确、清晰,采用木质和铝合金材料制作。铁路五等水准测量常用的为塔尺,尺面分划为1cm或5mm,每10cm处(E字形刻划的尖端)注有阿拉伯数字。双面尺又称黑红双面标准尺,由两把尺组成,双面标准尺的黑面底部读数均由0开始;红面尺的底部读数:一把为4687mm,另一把为4787mm。双面尺主要用于三、四等水准测量或者要求较高精度的水准点引测。
【麦街网】-www.mapgin.com
⑶尺垫
在水准测量中,为使高程得到可靠的传递并使水准尺不致于下沉,常采用尺垫作转点,以防止观测过程中水准尺下沉。
操作程序:粗平——瞄准——精平——读数
⑴ 粗平——调节脚螺旋,使圆水准气泡居中。
规律:气泡移动方向与左手大拇指运动的方向一致。
⑵ 瞄准
1.方法:先用准星器粗瞄,再用微动螺旋精瞄。
2.视差
概念:眼睛在目镜端上下移动时,十字丝与目标像有相对运动。
产生原因:目标像平面与十字丝平面不重合。
消除方法:仔细反复交替调节目镜和物镜对光螺旋。
⑶ 精平
若使用自动安平水准仪,仪器无微倾螺旋,故不需进行精平工作。
⑷ 读数——精平后,用十字丝的中丝在水准尺上读数。
1.方法:米、分米看尺面上的注记,厘米数尺面上的格数,毫米估读。
2.规律:读数在尺面上由小到大的方向读。故对于望远镜成倒像的仪器,即从上往下读,望远镜成正像的仪器,即从下往上读。
⑴ 水准点
通过水准测量方法获得其高程的高程控制点,称为水准点,一般常用BM表示。有永久性和临时性两种。永久性水准点的高程由设计部门提供,临时性水准点的高程由施工单位自行引测。
⑵ 水准路线
水准路线依据工程的性质和测区情况,可布设成以下几种形式(如下图所示):
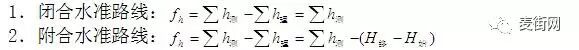
1.闭合水准路线
由已知点BM1出发,经过若干待测点,最后回到已知点BM1。
2.附合水准路线
由已知点BM1出发,经过若干待测点,附合到已知点BM2。
3.支水准路线
由已知点BM1出发,引测到某一待定水准点A。

⑶ 外业观测
观测要求:
1.水准仪安置在离前、后视距离大致相等之处。
2.为及时发现观测中的错误,通常采用“两次仪器高法”,即改变仪器高度(0.1~0.2m左右),重新安置仪器,再测一次高差,两次仪器高法高差之差h-h’5mm时取平均值作为本站高差,否则要重测;
或采用“双面尺法”进行高差观测。双面尺法要求①红黑面读数差3mm ② h黑-h红5mm。

3.水准测量记录表

注意:(1)起始点只有后视读数,结束点只有前视读数,中间点既有后视读数又有前视读数。
(2),只表明计算无误,不表明观测和记录无误。
⑷ 水准测量的成果处理(内业)
(一)计算闭合差:

(二)分配高差闭合差
1.高差闭合差限差(容许误差)
对于普通水准测量,有:fh容=±30√L 适用于平原地区;
fh容=±12√n 适用于山区。
式中,——高差闭合差限差,单位:mm。
L——水准路线长度,单位:km ; n——测站数。
2.分配原则:
按与距离L或测站数n成正比,将高差闭合差反号分配到各段高差上。
(三)计算各待定点高程
用改正后的高差和已知点的高程,来计算各待定点的高程。
【例】如图为按图根水准测量要求施测某附合水准路线观测成果略图。BM-A和BM-B为已知高程的水准点,图中箭头表示水准测量前进方向,路线上方的数字为测得的两点间的高差(以m为单位),路线下方数字为该段路线的长度(以km为单位),试计算待定点1、2、3点的高程。

解算如下:

改正计算如下表:

⑴.水准仪轴线的几何关系
水准仪轴线应满足的几何条件是:
1.水准管轴LL//视准轴CC
2.圆水准轴L’L’//竖轴VV
3.横丝要水平(即:⊥竖轴VV)
如下图所示:

(2).水准仪的检验与校正
(一)圆水准器的检验与校正
1.检验:气泡居中后,再将仪器绕竖轴旋转180°,看气泡是否居中。
2.校正:用脚螺旋使气泡向中央移动一半, 再用拨针拨动三个“校正螺旋”,使气泡居中。
(二)十字丝横丝的检验与校正(示意图略)
1.检验:
整平后,用横丝的一端对准一固定点P,转动微动螺旋,看P点是否沿着横丝移动。如P点偏离横丝,则需要校正。
2.校正 :
旋下目镜处的十字丝环外罩,转动左右2个“校正螺丝”。使横丝对准P点,反复检查,直到始终符合为准。
(三)水准管轴平行于视准轴(i角)的检验与校正
1.检验:
(1)平坦地上选A、B两点,约80m。
(2)在中点C架仪,读取a1、b1,得h1=a1-b1
(3)在距B点约2~3m处安置仪器,读取a2、b2,得h2=a2-b2
(4)若h2≠h1 ,则水准管轴不平行于视准轴,有i角。
因为①h1为正确高差②b2的误差可忽略不计,故有:

2.校正方法有二种:
a.校正水准管(主要用于微倾式水准仪)
旋转微倾螺旋,使十字丝横丝对准(a2′=h1+b2),拨动水准管“校正螺丝”,使水准管气泡居中。
b.校正十字丝(主要用于自动安平水准仪)
保持水准管气泡居中,拨动十字丝上下两个“校正螺丝”,使横丝对准a2′读数即可。
⑴自动安平水准仪
1.原理:与普通水准仪相比,在望远镜的光路上加了一个补偿器。
2.使用:粗平后,望远镜内观察警告指示窗若全部呈绿色,方可读数;最好状态是指示窗的三角形尖顶与横指标线平齐。
3.检校:与普通水准仪相比,要增加一项补偿器的检验,即:转动脚螺旋,看警告指示窗是否出现红色;以此来检查补偿器是否失灵。
⑵ 精密水准仪(每公里往返平均高差中误差1mm)
1、精密水准仪——提供精确的水平视线和精确读数;
2、精密水准尺——刻度精确(铟钢带水准尺)。
3、读数方法
(1)精平后,转动测微螺旋,使十字丝的楔形丝精确夹准某一整分划线。
(2)读数时,将整分划值和测微器中的读数合起来。
⑶ 数字水准仪及条纹码水准尺
1、具有自动安平、显示读数和视距功能。
2、能与计算机数据通讯,避免了人为观测误差。
⑴误差来源有:仪器误差、操作误差、外界条件影响。
1.仪器误差
主要有:视准轴不平行于水准管轴(i角)的误差、水准尺误差。
2.操作误差
主要有:水准气泡未严格居中、视差、估读误差、水准尺未竖直。
3.外界条件影响的误差
主要有:仪器下沉、尺垫下沉、地球曲率、大气折光、气温和风力。
⑵注意事项
水准测量的误差对高程的影响很大,了解误差的性质及其对成果的影响是很有必要的;特别是系统性误差,虽然对单个测站来说微不足道,但累计的结果却是不可忽视的。掌握这些规律,就可很好的指导我们的操作,获得优质的成果。在整个测量过程中,只要有一个测站出错,就会导致整个测段内的成果不合格。要做到每个测站都正确无误,测量人员必须紧密配合,认真细致的做好扶尺、观测、记录、计算等每一项工作。现将水准测量注意事项列下:
㈠扶尺“四要”
1.尺子要检查:测量前要检查标尺刻划是否准确,塔尺衔接是否严密,测量过程中要随时检查尺底或尺垫是否粘有泥土。
2.转点要牢靠:转点最好用尺垫,或者选择坚硬稳固而又有凸棱的石头上,保证转点在两个测站的前后视中不改变位置。
3.扶尺要检查:塔尺如有横向倾斜,观测者易于发现可指挥立直;如前后倾斜则不易发现,会造成读数偏大。故扶尺者身体要站直,如尺上有水准器时要检查使气泡居中。
4.要用同一的尺:由于塔尺底部的磨损或包铁松动,将会使尺底部零点位置不准,为消除其影响,在同一测段要用同一个尺。且测站数为偶数。
㈡观测“六要”
1.仪器要检校:测量前要把仪器校正好,使各轴线间满足应有的几何条件。
2.仪器要安稳:中心螺旋连接要稳固可靠,松紧适当,架腿要踩实,观测者不得扶压或骑跨架腿,观测过程中不得碰动仪器。
3.前、后视要等长:前、后视等长的水准测量,可以消除i角误差以及地球曲率的影响,如果地面坡度不大还可消除大气折光的影响。普通水准测量最大视线长度不得大于150m,视线不要靠近地面,最小读数要大于0.3m。
4.视线要水平:使用微倾式水准仪度数前气泡要符合,为避免匆忙读数之差错,读数前后均应检查气泡是否符合。烈日下要打伞。
5.读数要准确:读数前要消除视差,要认准横丝,要认请标尺刻划特点,每次读数最好读两次。
6.迁站要慎重:未读前视读数时不得匆忙搬动仪器,以免使水准路线中间“脱节”,造成返工;中途休息时,应将前视点选择在容易寻找的地方,并作好标志,列如记录,以便下次续测。
㈢记录四要
1.要复诵:读数列入记录时要边记边复诵;避免听错记错。如观测者兼作记录时,记完后可再看一下读数,以资复核。
2.记录要清楚:按规定格式填写,字迹要端正,点号要记请,前后视读数不得遗漏,不得颠倒。
3.要原始记录:要在现场用硬铅笔(HB)填写在记录簿中,不得眷抄,以免转抄错误。记录错误时,不得用橡皮擦改,要在错误数字处画一横线,并将正确数字写在上方。
4.计算要复核:记录者要及时根据读数计算出高差,记入记录簿并作计算的检验,再由另一人复核。记录簿要将司仪、记录、计算者签名齐全,以明确责任。
相关推荐链接:
1、水准测量记录表
0人已收藏
0人已打赏
免费0人已点赞
分享
电气资料库
返回版块70.18 万条内容 · 794 人订阅
阅读下一篇
你们要的全站仪导线测量详细操作方法来啦!知识点:导线测量法 一,实地选定控制点 实地选点之前先要有一个计算程序,且已经编辑好线路设计参数,知道路线的大致走向。选点的几个要求:地基稳固,方便架设仪器和后期放样,超出施工挖填范围一定距离,相邻两点之间通视良好,各点与前、后相邻点之间的距离尽量等长。确定导线的等级,请参照下图的《导线测量的主要技术参数》。 二,埋石 在选定的点位挖坑,依土质情况而定,建议埋置深度不小于0.6米。将钢筋切割成长约50公分的小段,选择截面较平整光滑的一端用钢锯锯一个深约2mm的十字丝待用。搅拌砼倒入坑中,人工捣实,表面抹平,在中心位置插入钢筋,钢筋顶端高出砼面约1公分。在砼表面刻下点的编号。这样一个控制点就埋设完成了。
回帖成功
经验值 +10
全部回复(0 )
只看楼主 我来说两句抢沙发