土木在线论坛 \ 建筑结构 \ 结构资料库 \ 单桩水平静载试验(JGJ106-2014)

单桩水平静载试验(JGJ106-2014)

发布于:2022-09-28 14:08:28 来自:建筑结构/结构资料库 [复制转发]

6.1 一 般 规 定


6.1.1 本方法适用于在桩顶自由的试验条件下,检测单桩的水平承载力,推定地基土水平抗力系数的比例系数。当桩身埋设有应变测量传感器时,可按本规范附录A测定桩身横截面的弯曲应变,计算桩身弯矩以及确定钢筋混凝土桩受拉区混凝土开裂时对应的水平荷载。

6.1.2 为设计提供依据的试验桩,宜加载至桩顶出现较大水平位移或桩身结构破坏;对工程桩抽样检测,可按设计要求的水平位移允许值控制加载。

6.2 设备仪器及其安装

6.2.1 水平推力加载设备宜采用卧式千斤顶,其加载能力不得小于最大试验加载量的1.2倍。

6.2.2 水平推力的反力可由相邻桩提供;当专门设置反力结构时,其承载能力和刚度应大于试验桩的1.2倍。

6.2.3 荷载测量及其仪器的技术要求应符合本规范第4.2.3条的规定;水平力作用点宜与实际工程的桩基承台底面标高一致;千斤顶和试验桩接触处应安置球形铰支座,千斤顶作用力应水平通过桩身轴线;当千斤顶与试桩的接触面混凝土不密实或不平整时,应对其进行补强或补平处理。

6.2.4 桩的水平位移测量及其仪器的技术要求应符合本规范第4.2.4条的有关规定。在水平力作用平面的受检桩两侧应对称安装两个位移计;当测量桩顶转角时,尚应在水平力作用平面以上50cm的受检桩两侧对称安装两个位移计。

6.2.5 位移测量的基准点设置不应受试验和其他因素的影响,基准点应设置在与作用力方向垂直且与位移方向相反的试桩侧面,基准点与试桩净距不应小于1倍桩径。

6.2.6 测量桩身应变时,各测试断面的测量传感器应沿受力方向对称布置在远离中性轴的受拉和受压主筋上;埋设传感器的纵剖面与受力方向之间的夹角不得大于10°。地面下10倍桩径或桩宽的深度范围内,桩身的主要受力部分应加密测试断面,断面间距不宜超过1倍桩径;超过10倍桩径或桩宽的深度,测试断面间距可以加大。桩身内传感器的埋设应符合本规范附录A的规定。


6.3 现 场 检 测


6.3.1 加载方法宜根据工程桩实际受力特性,选用单向多循环加载法或按本规范第4章规定的慢速维持荷载法。当对试桩桩身横截面弯曲应变进行测量时,宜采用维持荷载法。

6.3.2 试验加、卸载方式和水平位移测量,应符合下列规定:

单向多循环加载法的分级荷载,不应大于预估水平极限承载力或最大试验荷载的1/10;每级荷载施加后,恒载4min后,可测读水平位移,然后卸载至零,停2min测读残余水平位移,至此完成一个加卸载循环;如此循环5次,完成一级荷载的位移观测;试验不得中间停顿;

慢速维持荷载法的加、卸载分级以及水平位移的测读方式,应分别符合本规范第4.3.3条和第4.3.5条的规定。

6.3.3 当出现下列情况之一时,可终止加载:

桩身折断;

水平位移超过30 mm40mm;软土中的桩或大直径桩时可取高值;

水平位移达到设计要求的水平位移允许值。

6.3.4 检测数据可按本规范附录CC.0.2的格式进行记录。

6.3.5 测试桩身横截面弯曲应变时,数据的测读宜与水平位移测量同步。

6.4 检测数据分析与判定


6.4.1 检测数据的处理应符合下列规定:

1 采用单向多循环加载法时,应分别绘制水平力-时间-作用点位移(H-t-Y0)关系曲线和水平力-位移梯度(HY0H)关系曲线;

2 采用慢速维持荷载法时,应分别绘制水平力-力作用点位移(H-Y0)关系曲线、水平力-位移梯度(HY0H)关系曲线、力作用点位移-时间对数(Y0-lgt)关系曲线和水平力-力作用点位移双对数(lgH-lgY0)关系曲线;

3 绘制水平力、水平力作用点水平位移-地基土水平抗力系数的比例系数的关系曲线(H-mY0-m)

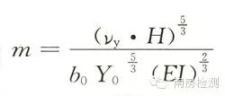
6.4.2 当桩顶自由且水平力作用位置位于地面处时,m值应按下列公式确定:

图片 6.4.2-1图片 6.4.2-2

式中:m——地基土水平抗力系数的比例系数(kN/m4);

α——桩的水平变形系数(m–1);

νy——桩顶水平位移系数,由式(6.4.2-2)试算α,当αh4.0时(h为桩的入土深度),v=2.441

H——作用于地面的水平力(kN);

Y0——水平力作用点的水平位移(m);

EI——桩身抗弯刚度(kN·m2);其中E为桩身材料弹性模量,I为桩身换算截面惯性矩;

b0——桩身计算宽度(m);对于圆形桩:当桩径D1m时,b0=0.91.5D+0.5);

当桩径D1m时,b=0.9D+1);对于矩形桩,当边宽B1m时,b=1.5B+0.5,当边宽B1m时,b=B+1

6.4.3 对进行桩身横截面弯曲应变测定的试验,应绘制下列曲线,且应列表给出相应的数据:

1 各级水平力作用下的桩身弯矩分布图;

2 水平力-最大弯矩截面钢筋拉应力(H-σs)曲线。

6.4.4 单桩的水平临界荷载可按下列方法综合确定:

1 取单向多循环加载法时的H-t-Y0曲线或慢速维持荷载法时的H-Y0曲线出现拐点的前一级水平荷载值;

2 HY0H曲线或lgH-lgY0曲线上第一拐点对应的水平荷载值;

3 H-σs曲线第一拐点对应的水平荷载值。

6.4.5 单桩水平极限承载力可按下列方法确定:

取单向多循环加载法时的H-t-Y0曲线产生明显陡降的前一级、或慢速维持荷载法时的H-Y0曲线发生明显陡降的起始点对应的水平荷载值;

取慢速维持荷载法时的Y0-lgt曲线尾部出现明显弯曲的前一级水平荷载值;

HY0H曲线或lgH-lgY0曲线上第二拐点对应的水平荷载值;

取桩身折断或受拉钢筋屈服时的前一级水平荷载值。

6.4.6 为设计提供依据的水平极限承载力和水平临界荷载,可按本规范第4.4.3条的统计方法确定。

6.4.7 单桩水平承载力特征值的确定应符合下列规定:

当桩身不允许开裂或灌注桩的桩身配筋率小于0.65%时,可取水平临界荷载的0.75倍作为单桩水平承载力特征值。

对钢筋混凝土预制桩、钢桩和桩身配筋率不小于0.65%的灌注桩,可取设计桩顶标高处水平位移所对应荷载的0.75倍作为单桩水平承载力特征值;水平位移可按下列规定取值:

1)对水平位移敏感的建筑物取6mm

2)对水平位移不敏感的建筑物取10mm

设计要求的水平允许位移对应的荷载作为单桩水平承载力特征值,且应满足桩身抗裂要求。

6.4.8 检测报告除应包括本规范第3.5.3条规定的内容外,尚应包括下列内容:

1 受检桩桩位对应的地质柱状图;

2 受检桩的截面尺寸及配筋情况;

3 加、卸载方法;

4 本规范第6.4.1条要求绘制的曲线;

5 承载力判定依据;

6 当进行钢筋应力测试并由此计算桩身弯矩时,应包括传感器类型、安装位置、内力计算方法以及本规范第6.4.2条要求的计算结果。

内容源于网络,如有侵权,请联系删除


相关资料推荐:

单桩竖向抗压静载试验1

单桩水平静载检测原始记录


知识点:单桩水平静载试验

全部回复(0 )

只看楼主 我来说两句抢沙发
这个家伙什么也没有留下。。。

结构资料库

返回版块

41.29 万条内容 · 424 人订阅

猜你喜欢

阅读下一篇

单桩竖向抗拔静载试验

一、适用范围 1、本方法适用于检测单桩的竖向抗拔承载力。 2、当埋设有桩身应力、应变测量传感器时,或桩端埋设有位移测量杆时,可直接测量桩侧抗拔摩阻力,或桩端上拔量。 3、为设计提供依据的试验桩应加载至桩侧土破坏或桩身材料达到设计强度;对工程桩抽样检测时,可按设计要求确定最大加载量。 二、设备仪器及其安装 1、抗拔桩试验加载装置宜采用油压千斤顶,加载方式宜采用油压千斤顶。当采用两台及两台以上千斤顶加载时应并联同步工作,且应符合下列规定:

回帖成功

经验值 +10