无梁楼盖在实际的工程中应用越来越广泛,无梁楼盖结构如何进行合理的设计也受到越来越多人的关注。根据历来发生的工程破坏情况来看,大板结构的破坏多是因为柱帽处的冲切导致,所以在本文中特对程序中对冲切计算的过程进行详细阐述,供大家参考,以便于大家在设计时对程序结果进行合理取用。
概述
在软件中可通过设计结果模块下的柱冲切验算简图(如下图所示)来查看无梁楼盖结构柱冲切验算结果,如果模型中布置了柱帽,或者建模时按虚梁建模或梁高与板厚相同,则软件自动验算柱冲切。
冲切验算内容有三项:(1)柱根对柱帽的冲切;(2)柱帽对托板的冲切;(3)托板对楼板的冲切,如果没有柱帽或托板,则相应的验算项结果按0输出。软件的计算原则为:先按不配置抗冲切钢筋公式验算;不满足,则按配置抗冲切钢筋公式验算,同时简图中输出抗冲切箍筋面积。其中输出的抗冲切箍筋面积为单边一个艰巨的箍筋总面积,间距同梁。
详细计算过程
2.1 中柱(bc=hc)
该例中布置有人防荷载,并且在计算冲切时根据构件信息输出可以看出是由人防组合控制。柱截面尺寸是bc=hc=600,楼板厚度h1=200,托板尺寸为3000*3000*300。
冲切锥自重计算时使用的锥体体积计算方法:锥体体积=底面积*高/3。
(1)柱根的冲切验算
1)冲切力计算
截面有效高度:h0=300+200-15(保护层厚度)-10(楼板中钢筋直径假定是20)=475 mm
(注:保护层厚度读取建模时本层信息中定义的楼板保护层厚度值)
冲切锥底面边长:L1=L2=600+475*2=1550 mm
冲切锥底面面积:A=1.55*1.55=2.4025 m2
(注:计算冲切锥底面积时,程序会判断是否有上柱,如果有上柱,则在计算板面荷载作用在冲切锥内的力时应扣掉上柱的面积)
冲切控制组合为35号人防组合对应的工况进行设计
板面恒+人防:1.3*5+1.0*60=66.5 kN/m2
冲切锥自重:1.3*25*(1.55^2*0.775-0.6^2*0.3)/3=19.001 kN
(注:计算至锥尖部分的总体积-柱高范围内的锥体体积)
冲切锥范围内的荷载设计值:66.5*2.4025(面荷载)+19.001(自重)=178.77 kN
柱所承受的轴向压力设计值:1.3*508.4+1.0*2481.9=3142.82 kN
冲切力计算:N=3142.82-178.77=2964.05 kN,与程序中计算输出的2964.1kN结果基本一致。
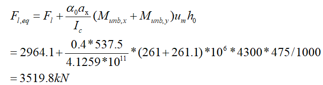
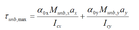
2)当有不平衡弯矩时等效冲切力的计算
不平衡弯矩:Mx=261.0 kN.m,My=261.1 kN.m
(注:当结构为多层时,不平衡弯矩是取柱根处上下层柱的弯矩差值。当冲切计算由地震作用组合起控制作用时,对于不平衡弯矩尚应按照《建筑抗震设计规范 GB50011-2010》中的6.6.3-3条的要求进行调整。)
需要按照混凝土规范附录F考虑双向不平衡弯矩计算等效集中反力设计值,计算公式如下所示:

(F.0.1-5)

(F.0.1-6)
冲切临界截面边长:at=hc+h0=600+475=1075 mm;am=bc+h0=600+475=1075 mm
最大剪应力作用点至x\y轴的距离:ax=ay=1075/2=537.5 mm
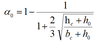
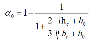
计算系数α0的计算参照混凝土规范附录F中的公式F.0.2-4来计算,如下所示:

(F.0.2-4)
计算系数:α0=1-1/(1+2/3)=0.4
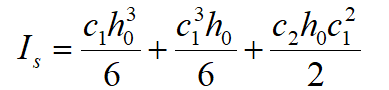
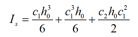
冲切临界截面对其重心的极惯性矩Is的计算参考《建筑地基基础设计规范》附录P中的公式P.0.1-2。

(P.0.1-2)
对应该范例中类似极惯性矩的计算结果为:

冲切临界截面的周长:um=(1075+1075)*2=4300 mm
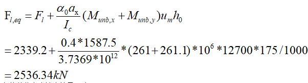
所以等效冲切反力设计值Fl,eq的计算结果为:

与构件信息中输出结果一致。
3)冲切箍筋的计算
楼板的混凝土强度等级为C30,ft=1.43 N/mm2,梁箍筋级别HRB400,fyv=360 N/mm2。当人防组合起控制作用时,使用抗冲切箍筋抗拉强度设计值fyd=1.2*360=432 N/mm2(备注:由于目前使用的人防规范是2005版,与2002版混规相应的条文对应,所以在fyd取值上未按照人防规范中的要求取值)。
混凝土轴心抗拉动力强度设计值:ftd=1.5*ft=1.5*1.43=2.145 N/mm2
由于该范例中是由人防组合起控制作用,所以计算抗冲切箍筋时应按照人防规范附录D中公式D.2.2-2来确定,公式如下所示:

(D.2.2-2)
与冲切破坏锥体斜截面相交的全部箍筋截面面积:

4侧一共3076.895,那么一侧就是3076.895/4=769.22
h0=475,那么一共有475/100=4.75排,一排箍筋面积=769.22/4.75=161.94(备注:此时只考虑冲切锥范围内的箍筋,而不是按照1.5h0范围计算)
与构件信息中输出结果基本一致。
4)冲切截面验算
由于目前执行的人防规范版本是对应的混凝土规范2002版,版本较旧,所以在验算冲切截面时按照《混凝土结构设计规范 GB 50010-2010》中的公式6.5.3-1进行验算。
其中:βs=2,αs=40,所以计算得出η=1.0。

与构件信息中输出结果一致。
(2)托板的冲切验算
1)冲切力计算
截面有效高度:h0=200-15(保护层厚度)-10(楼板中钢筋直径假定是20)=175 mm
冲切锥底面边长:L1=L2=3000+175*2=3350 mm
冲切锥底面面积:A=3.35*3.35=11.2225 m2
冲切控制组合为35号人防组合对应的工况进行设计
板面恒+人防:1.3*5+1.0*60=66.5 kN/m2
冲切锥自重:1.3*25*(3.35^2*1.675-3^2*1.5)/3=57.392kN
冲切锥范围内的荷载设计值:66.5*11.2225(面荷载)+57.392(自重)=803.688kN
柱所承受的轴向压力设计值:1.3*508.4+1.0*2481.9=3142.82 kN
冲切力计算:N=3142.82-803.688=2339.13kN,与程序中计算输出的2339.2结果基本一致。
2)当有不平衡弯矩时等效冲切力的计算
不平衡弯矩:Mx=261.0 kN.m,My=261.1 kN.m
需要按照混凝土规范附录F考虑双向不平衡弯矩计算等效集中反力设计值,计算公式如下所示:

(F.0.1-5)

(F.0.1-6)
冲切临界截面边长:at=Lc+h0=3000+175=3175 mm;am=Lc+h0=3000+175=3175 mm
最大剪应力作用点至x\y轴的距离:ax=ay=3175/2=1587.5 mm
计算系数α0的计算参照混凝土规范附录F中的公式F.0.2-4来计算,如下所示:

(F.0.2-4)
计算系数:α0=1-1/(1+2/3)=0.4
冲切临界截面对其重心的极惯性矩Is的计算参考《建筑地基基础设计规范》附录P中的公式P.0.1-2。

(P.0.1-2)
对应该范例中类似极惯性矩的计算结果为:

冲切临界截面的周长:um=(3175+3175)*2=12700 mm
所以等效冲切反力设计值Fl,eq的计算结果为:

与构件信息中输出结果一致。
3)冲切验算
由于目前执行的人防规范版本是对应的混凝土规范2002版,版本较旧,所以在验算冲切截面时按照《混凝土结构设计规范 GB 50010-2010》中的公式6.5.1-1进行验算。
其中:βs=2,αs=40,所以计算得出η=1.0。
βh=1.0,ftd=1.5*1.43=2.145 N/mm2

与构件信息中输出结果一致。
内容源于网络,如有侵权,请联系删除
相关资料推荐:
知识点:无梁楼盖的冲切计算
0人已收藏
1人已打赏
免费5人已点赞
分享
结构资料库
返回版块41.29 万条内容 · 424 人订阅
回帖成功
经验值 +10
全部回复(2 )
只看楼主 我来说两句抢地板求教大神,为何用砼规的等效冲切力的计算公式,却用地规中的Is,两者到底为何不同?
回复 举报
很好的资料,需要多研究,多学习
回复 举报