(一)作用于挡土墙的土压力类型
土压力是挡土墙承受的主要荷载。挡土墙的位移情况不同,可以形成不同性质的土压力。如图所示,当挡土墙向外移动(位移或倾覆)时,土压力随之减小,直到墙后土体沿破裂面下滑而处于极限平衡状态,此时作用于墙背的土压力称为主动土压力;当挡土墙向墙后土体方向挤压移动,士压力随之增大,土体被推移向上滑动处于极限平衡状态,此时土体对挡土墙的抗力称为被动土压力;挡土墙处于原来位置不动时,土压力介于两者之间,称为静止土压力。采用哪种性质的土压力作为设计荷载,要根据挡土墙的具体条件而定。
主动土压力按库仑理论计算,是挡土墙承受的主要荷载,设计时应取一定的安全系数。对于墙趾前的被动土压力,在一般情况下不予考虑,以保安全;有时可部分考虑墙趾前的被动土压力。



(二)计算库仑主动土压力的一般公式
库仑理论的基本假定为:
(1)挡土墙向前滑移时(如图),墙后土体将形成一个沿墙背和破裂平面向下滑动的棱体(或称土楔),此时土楔处于主动应力状态。
(2)墙后土体为均质松散颗粒,粒间仅有摩阻力而无黏结力存在。挡土墙和土楔都是无压缩或拉伸变形的刚体。
(3)土楔刚形成时,土楔在自重与墙背反力,及破裂面反力的作用下保持静力平衡,故土体处于极限平衡状态。

库仑主动土压力计算
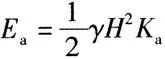
根据静力平衡原理,作用于挡土墙墙背的最大主动土压力:

式中:Ea—每米墙长的主动土压力(kN);
γ—墙后填土的重度(kN/m3);
H—挡土墙的高度(m);
Ka—主动土压力系数,其大小取决于边界条件。
土压力的水平分力和垂直分力按下式计算:

式中:Ex、Ey—分别为土压力的水平分力和垂直分力(kN);
a—墙背倾斜角,俯斜墙背为正,仰斜墙背为负;
δ—墙背与填土间的摩擦角,即外摩擦角。
内容源于网络,如有侵权,请联系删除
相关资料推荐:
知识点:重力式挡土墙土压力计算
0人已收藏
0人已打赏
免费2人已点赞
分享
混凝土结构
返回版块140.17 万条内容 · 2216 人订阅
阅读下一篇
深入学习挡土墙的土压力,搞清概念是第一步!1、什么是挡土墙? 挡土墙是用来支撑天然或人工斜坡不致坍塌以保持土体稳定性,或使部分侧向荷载传递分散到填土上的一种结构物。 2、什么是挡土墙上的土压力?它是由于土体自重、土上荷载或结构物的侧向挤压作用,挡土结构物所承受的来自墙后填土的侧向压力。 最常见的就是土的自重产生的侧向压力,大家都知道土体自重是竖向荷载,而侧向压力一般是水平的,由土的自重应力计算土的侧向压力,需要有一个转化的过程。
回帖成功
经验值 +10
全部回复(1 )
只看楼主 我来说两句 抢板凳看一下。。了解下这方面的内容
回复 举报