多数情况下建筑物承受偏心荷载,显然偏心荷载模式下地基土更易失稳,因此有必要研究偏心荷载作用下地基土的临塑荷载。偏心荷载作用时地基的整体剪切破坏沿水平荷载作用方向一侧发生滑动,弹性区的边界面也不对称(如图)。

图偏心荷载下土体极限状态模型试验
滑动方向一侧为平面,另一侧为圆弧,其圆心即为基础转动中心图。随着荷载偏心距的增大,滑动面明显缩小,如图。

图 偏心荷载下土中应力
汉森(B.Hanson,1961,1972)和魏锡克(Vesic)分别提出的在偏心荷载作用下,地面、基底倾斜,不同基础形状及不同埋置深度时的极限承载力计算公式,我国《港口工程技术规范》亦推荐使用。这里简单介绍地面、基底平整且基底完全光滑的汉森极限承载力。
汉森极限承载力:

地基土承载力特征值:


式中,



也可查下表。



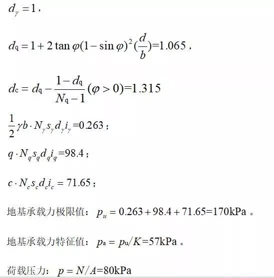
如:某矩形独立基础l=b=5,埋深d=1m;置于黏性土上,基底以下土 g=18kN/m3,基底下一倍短边宽深度内土的内摩擦角标准值jk =2°,基底下一倍短边宽深度内土的粘聚力标准值ck =12kPa。基底面积A=25m2。竖向荷载N=2000kN,水平荷载H=200kN。
系数:



荷载倾斜系数:



基础形状系数:



深度系数:

安全性评估:地基土安全储备不足。
本例中的黏性土在地勘报告中提供的承载力特征值fak=110kPa,最终观测到的沉降远远大于20cm。
推荐资料(点击文字跳转):
知识点:偏心荷载作用下地基土极限承载力
0人已收藏
0人已打赏
免费0人已点赞
分享
地质勘察
返回版块5.06 万条内容 · 131 人订阅
阅读下一篇
岩土施工之隧道不良地质一、不良特殊地址地段概述 一、不良和特殊地质地段的概念 : (一)不良地质地段 不良地质地段是指滑坡、崩塌、岩堆、偏压地层、岩溶、高应力、高强度地层、松散地层、软土地段等不利于隧道工程的不良地质环境。 (二)特殊地质地段: 特殊地质地段是指膨胀岩地层、断层破碎带、软弱黄土地层、含水未固结围岩、溶洞、岩爆、流沙等地段以及瓦斯溢出地层等
回帖成功
经验值 +10
全部回复(0 )
只看楼主 我来说两句抢沙发