完整的建筑体系包括了上部结构、基础与地基三个组成部分,三者构成一个相互依存的整体,具有各自的功能。
基础
通常指建筑物最下端与地基直接接触并经过了特殊处理的结构部件。
地基
是指建筑物下方的承受建筑物的荷载并维持建筑物稳定的岩土体。
保证建筑物的安全和正常使用,充分发挥地基的承载能力。
安全保证是第一位的。此外尚应注意经济与安全的协调。
地基检测方法:静载试验,静力触探,动力触探,标准贯入。承载力与变形指标检测常用静载试验,均匀性与密实程度检测常用静力触探、动力触探和标准贯入。
桩基础检测方法:静载试验,低应变,高应变,超声波,钻芯。承载力检测常用静载试验(单桩,深井)和高应变,强度与完整性检测常用低应变、超声波和钻芯法。
目前国内采用的试验装置,大体可归纳为由承压板、加荷系统、反力系统、观测系统四部分组成。
承压板可用混凝土、钢筋混凝土、钢板、铸铁板等制成,多以钢板为主。要求压板具有足够的刚度,不破损、不挠曲,压板底部光滑平整,尺寸和传力重心准确,搬运和安置方便。
承压板形状可加工成正方形或圆形,其中圆形压板受力条件较好而且边界条件简单,使用最多。
岩土工程勘察规范规定一般宜采用0.25~0.50m2,对均质密实的土,可采用0.1m2,对软土和人工填土,不应小于0.5m2。
建筑地基基础设计规范GBJ5007-2002规定承压板面积不应小于0.25m2,对于软土不应小于0.5m2。
采用单桩复合地基试验方式时,压板面积为一根桩承担的处理面积。
采用多桩复合地基试验方式时,压板面积为相应多根桩承担的处理面积。
平板载荷试验适用于浅层地基、深层地基或大直径人工挖孔桩的桩端土层测试。
试验的加载方式一般采用分级维持荷载沉降相对稳定法(慢速法)和沉降非稳定法(快速法),以慢速法为主。

典型的慢速法加载过程(建筑地基基础设计规范GBJ5007-2002):
荷载分级
:不应少于8级,最大加载量不应小于设计要求的两倍;
数据测读
:每级加载后,按间隔10、10、10、15、15min,以后为每隔半小时测读一次沉降量。
稳定标准
:当在连续两小时内,每小时的沉降量小于0.1mm时,认为沉降已趋稳定,可加下一级荷载。

2. 沉降s急骤增大,荷载~沉降(p~s)曲线出现陡降段;
3. 在某一级荷载的作用下,24小时内沉降速率不能达到稳定;
4. 沉降量与承压板宽度或直径之比大于或等于0.06。
卸载
:该规范没有对卸载过程做出规定,但完整的试验应包含卸载过程。
复合地基测试的特殊性,主要在于复合地基中存在加固体。关键在于压板尺寸的选择和压板的安装。
选择压板尺寸时应根据地基处理时的施工图计算。采用单桩复合地基试验方式时,压板在安装时要特别注意压板下面应该只有一根桩,且应该使压板的中心与桩的中心对正。采用多桩复合地基试验方式时,应该使压板的中心与桩群的中心对正。
对于矩形布桩,一根桩承担的处理面积等于两个方向的桩距的乘积;
对于等边三角形布桩,一根桩承担的处理面积等于0.866乘以桩距的平方;
对于梅花形布桩,一根桩承担的处理面积等于桩的行距与排距的乘积。
单桩或多桩复合地基静载试验与常规静载试验的差异在于:
2.压板的定位要求不同。平面上与桩的中心或重心重合,标高与桩顶一致。
3.依据的规范不同,故试验过程与控制标准有一些差异。
一般试验过程与常规压板试验相同,只是在选择承压板时,进行桩体测试的压板应与桩的截面适应,进行土体测试的压板可按常规地基测试的压板选择,但应注意其覆盖面内不应有桩体存在,且其周边应留有适当余地。
测试完成后,分别对桩体和土体进行统计分析,得出桩的承载力特征值和土的承载力特征值,然后按下式计算复合地基承载力特征值:
大量实测结果表明,当地基土的均匀性尚可且测试过程正常时,测试得出的主要曲线(p-s曲线)是比较光滑的。所谓异常数据是指背离这一规律性的数据。
一般地,地基静载试验主要应绘制p-s曲线,但根据需要,还可绘制各级荷载作用下的沉降和时间之间的关系曲线以及地面变形曲线。
若绘出的p~s曲线的直线段不通过坐标原点,可按直线段的趋势确定曲线的起始点,以便对p~s曲线进行修正。
必要时可绘制其他辅助判断曲线,比如s~lgt曲线、s~lgp曲线等。
确定地基的承载力时既要控制强度,又要能确保建筑物不致产生过大沉降。
《建筑地基基础设计规范》(GBJ50007-2002)对于确定承载力特征值的规定如下:
1. 当p~s曲线上有比例界限时,取该比例界限所对应的荷载值;
2. 当极限荷载小于对应比例界限的荷载值的2倍时,取极限荷载的一半;
3. 当不能按上述两款要求确定时,当压板面积为0.25~0.5m2,可取s/b=0.01~0.015所对应的荷载,但其值不应大于最大加载量的一半。
同一土层参加统计的试验点不应少于3点,当试验实测值的极差不超过其平均值的30%时,取此平均值作为该土层的地基承载力特征值fak。
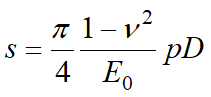
在p-s曲线的直线段OA上可以任选一点p和对应的s,代入下列公式即可算出压板下压缩土层(大致3B或3D厚)内的平均E0值,并可用于计算地基沉降。
要注意的是,如果压板下方不远处还含有软弱下卧层,把表层荷载试验所得的E0用于全压缩层的总沉降计算,其结果必然较地基的实际沉降为低,这是偏危险的。
载荷试验中采用直径1.128m的圆形压板,得出的p-s曲线如图2-4,已知压板下的地基土较为均匀,其横向变形系数n可取为0.25。试根据该图确定该地基土的极限荷载pl、承载力特征值fak、和变形模量E0。
解:
按该图得到A点对应的荷载为350kPa,相应的压板沉降量为12.4mm,C点对应的荷载为500kPa。故得到地基土的比例界限为350kPa,极限荷载pl为500kPa。按规范的规定,因为比例界限不是很清晰,而极限荷载容易确定且极限荷载小于对应比例界限值的2倍,故取极限荷载的一半作为该试验点的承载力特征值,即为250kPa。
从上述计算过程可以看出,在数据处理和分析过程中不是太精确,规范的规定对很多情况也不是太明确,一般应借助于经验和理论知识,且应偏于安全。
内容源于网络,如有侵权,请联系删除
相关资料推荐:
知识点:地基静载荷试验
全部回复(2 )
只看楼主 我来说两句抢地板非常好的帖子,给设计者以直观的很深刻的认知,对了解地基(桩)的承载力有很深刻的理解.
回复 举报
看一下。。了解下这方面的内容
回复 举报